Home
JournalsCollections
For Authors For Reviewers For Editorial Board Members
Article Processing Charges Open Access
Ethics Advertising Policy
Editorial Policy Resource Center
Company Information Contact Us Membership Collaborators Partners
OPEN ACCESS

Folate-biopterin Crosstalk in Human Disease

  • Mark D. Lucock1,*  and
  • Robert J. Leeming2
Exploratory Research and Hypothesis in Medicine   2025;10(3):176-184

doi: 10.14218/ERHM.2025.00020

Received:

Revised:

Accepted:

Published online:

 Author information

Citation: Lucock MD, Leeming RJ. Folate-biopterin Crosstalk in Human Disease. Explor Res Hypothesis Med. 2025;10(3):176-184. doi: 10.14218/ERHM.2025.00020.

Abstract

The importance of putative folate-biopterin metabolic interactions lies in the role they may play in the expression of several clinically relevant phenotypes. However, to date, clinical studies on folate-biopterin interactions have been limited. The purpose of this article was to highlight the close relationship between these two cofactors, which share structural similarities and exhibit overlapping metabolic pathways. This folate-biopterin crosstalk has generated several ideas and hypotheses that are critical to advancing the biochemical understanding of several important and seemingly disparate clinical and/or biologically important phenotypes. These phenotypes include melanization/pigmentation, phenylketonuria, autism, neural tube defects, affective disorders, and vascular disease. This review provides a timely, integrated overview of this important area of biochemistry, which is under-represented in the literature and would benefit from further scientific and clinical investigation using improved metabolite-specific analytical methodologies applied to clinically relevant questions.

Keywords

Biopterin, Folate, Affective disorders, Autism spectrum disorder, Neural tube defect, Skin pigmentation, Vascular disease, Metabolism

Introduction

The closely related enzymes dihydrofolate reductase (DHFR; EC 1.5.1.3) and dihydropteridine reductase (DHPR; EC 1.6.99.10) both utilize a reduced dinucleotide cofactor to convert a “dihydro” pteridine residue into a “tetrahydropteridine” product. In the case of DHFR, the substrate is the 7,8-dihydro form of folic acid (H2PteGlu), while in the case of DHPR, the substrate is a quinonoid dihydrobiopterin (BH2). The products of these reactions are tetrahydrofolate (H4PteGlu) and tetrahydrobiopterin (BH4 [6R-L-erythro-5,6,7,8-tetrahydrobiopterin]), respectively.

Historically, it has been suggested that biopterin and folate coenzymes can interact in a reciprocal manner, providing utility for biochemical pathways supported by both coenzyme families. For example, BH2 may be salvaged to BH4 via DHFR,1 or via methylenetetrahydrofolate reductase (MTHFR; EC 1.5.1.20),2–4 as well as via the classic DHPR pathway.

The objective of this review was to explore the metabolic interaction between these two cofactor families and to examine how folate-biopterin crosstalk impacts important clinical phenotypes, such as phenylketonuria (PKU), autism, neural tube defect (NTD), vascular disease, and affective disorders, as well as the biologically significant phenotype, skin pigmentation. To achieve this, we discuss relevant metabolic biomarkers, genetics, therapeutic interventions (including iatrogenesis), and intriguing questions that have emerged from the relatively small body of research published on the folate-biopterin nexus since the 1980s.

This review will provide a brief overview of this key area, which is under-represented in the literature and, in the authors’ view, would benefit from further exploration.

General background on cofactor biology

Biopterins

According to Himmelreich and colleagues,1 BH4 deficiencies encompass a group of rare inherited neurological disorders characterized by neurotransmitter dysfunction and may or may not include hyperphenylalaninemia.5

The reduced pterin, BH4, is likely to be present in most human tissues, where it acts as an essential cofactor for several enzymes necessary for a diverse range of metabolic processes. It would not be too much of a leap to describe biopterin biochemistry as pleiotropic in nature, given how dependent enzymes such as tyrosine hydroxylase, tryptophan hydroxylases type 1 and 2, phenylalanine hydroxylase, isoforms of nitric oxide synthase 1–3, and alkylglycerol monooxygenase are in maintaining health as well as determining a diverse range of clinical phenotypes.6 Furthermore, there is an obligatory need for BH4 in L-phenylalanine degradation and the biosynthesis of the critical monoamine neurotransmitters dopamine, serotonin, norepinephrine, and epinephrine. It has been established that there is an altered BH4:neopterin ratio in depression, which might reflect a decreased ability to convert neopterin to BH4.4,7–9 There is also a loose connection between BH4 and chronic pain sensitivity,10 as well as modulating T cell proliferation in autoimmunity and cancer.11 BH4 also enhances nitric oxide-dependent vasodilation in human skin through endothelial nitric oxide synthase (eNOS)-coupling mechanisms.12

BH4 deficiencies may be linked to a variety of gene polymorphisms. Himmelreich and colleagues report on 800 variants and summarize the genetic basis, phenotypic presentation, and functional consequences linked to BH4 deficiencies.1

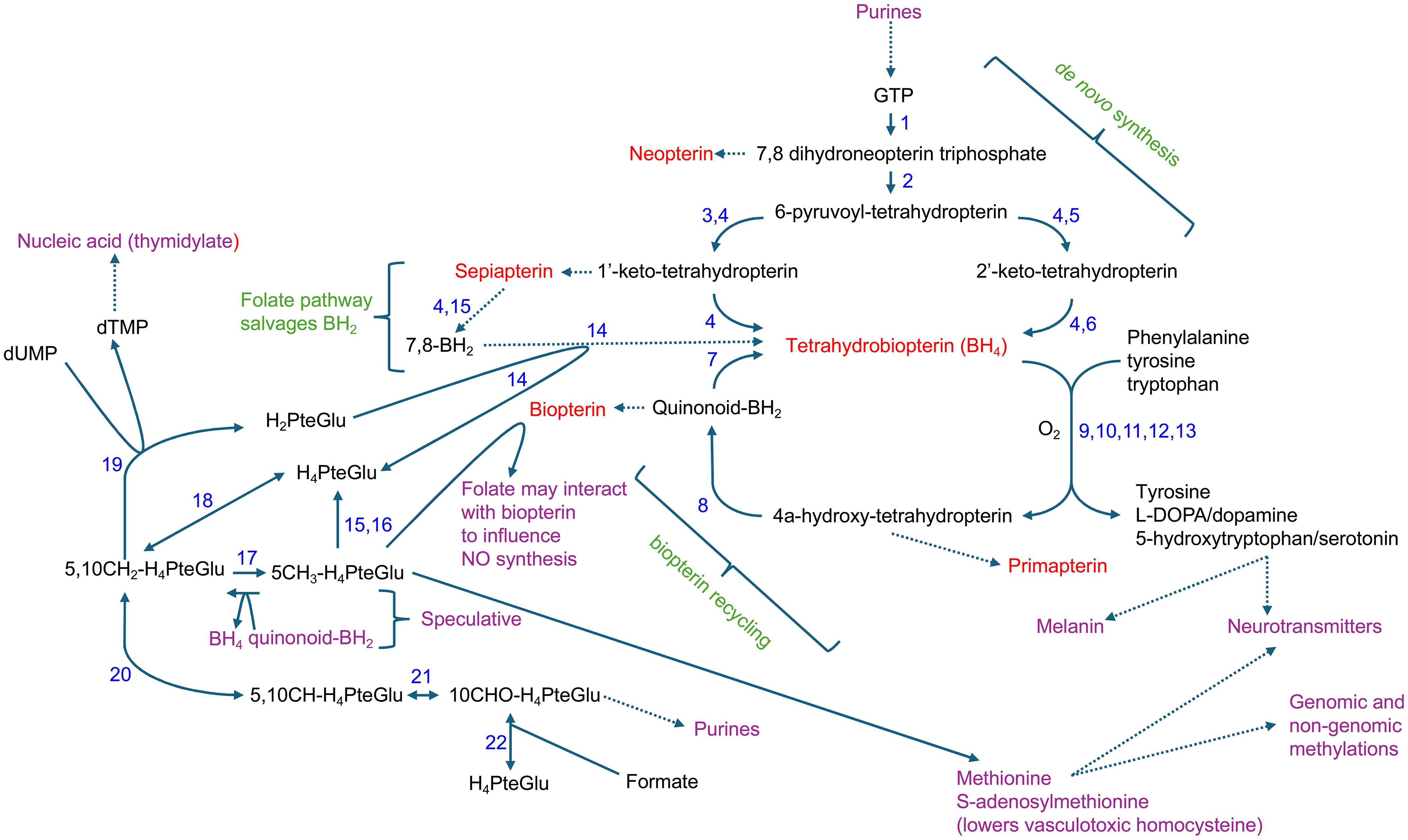
Figure 1 provides a generalized metabolic pathway for the biopterin-folate nexus.

Metabolic pathways of folate and biopterin: key enzymes and interactions.
Fig. 1  Metabolic pathways of folate and biopterin: key enzymes and interactions.

Numerical key to enzymes shown in a generalized metabolic pathway for the biopterin–folate nexus. 1: GTP cyclohydrolase; 2: 6-pyruvoyl-tetrahydropterin synthase; 3: carbonyl reductase; 4: sepiapterin reductase; 5: 3β-hydroxysteroid dehydrogenase 2; 6: aldose reductase; 7: dihydropteridine reductase; 8: pterin-4α-carbinolamine dehydratase; 9: phenylalanine hydroxylase; 10: tyrosine hydroxylase; 11: tryptophan hydroxylase type 1; 12: tryptophan hydroxylase type 2; 13: DNAJ heat shock protein family member C12; 14: dihydrofolate reductase; 15: methionine synthase; 16: methionine synthase reductase; 17: methylenetetrahydrofolate reductase; 18: serine hydroxymethyltransferase; 19: thymidylate synthase; 20: methylenetetrahydrofolate dehydrogenase1; 21: methylenetetrahydrofolate cyclohydrolase; 22: formyltetrahydrofolate synthetase. DNAJ, member of the heat shock protein molecular chaperones, also called J-protein family; dTMP, thymidine monophosphate; dUMP, deoxyuridine monophosphate; GTP, guanosine triphosphate; NO, nitric oxide.

Folates

Folate in the diet is either native 5-methyltetrahydrofolate (5CH3-H4PteGlu) or synthetic provitamin pteroylmonoglutamic acid (PteGlu). Up to an oral dose of around 266–400 µg of PteGlu, bioconversion to 5CH3-H4PteGlu is highly efficient. However, above this level of intake, unmetabolized PteGlu appears in the blood plasma.13,14 Despite the wide adoption of mandatory folate fortification to prevent NTD, concerns exist over the possible consequences of excessive exposure to provitamin PteGlu.15 The natural plasma (and cerebrospinal fluid (CSF)) form of the vitamin is 5CH3-H4PteGlu. This is the “transport” form and is a monoglutamyl vitamer. Once it is translocated into the cell, it must be demethylated and converted into a polyglutamyl coenzyme before it can be used as a cofactor in one-carbon transfer metabolism (folylpolyglutamates exhibit lower Km values and hence greater affinity for their dependent enzymes).

The critically important metabolic roles of folate are manifold, and like biopterin, it plays an important role in maintaining health and determining a diverse range of clinical phenotypes, indeed, probably more so than biopterin. It is responsible for the biosynthesis of purine, pyrimidine, and methionine, as well as the interconversion of glycine and serine. Additionally, it is needed for histidine catabolism.16 It’s fair to say that the biochemical pathways most likely to link folate to phenotype are DNA-thymidylate (dTMP) biosynthesis and de novo methionine production, which is used for both genomic (CpG [cytosine nucleotide followed by guanine nucleotide]) and non-genomic methylations.17

In folate depletion, uracil is misincorporated into the primary DNA base sequence in place of thymine, leading to DNA fragility.18 The critical nature of folates in determining phenotype is further exemplified by the propagation of de novo methionine biosynthesis by 5CH3-H4PteGlu, which supplies methyl groups to the methylome and thus governs gene expression—half our methionine requirement is met via this route.19,20 Furthermore, folate vitamers act as coenzymes fueling de novo synthesis of purine nucleotides. As part of the purine cycle, the C-8 and C-2 positions within the purine ring stem from 10-formyltetrahydrofolate via reactions catalyzed by glycinamide ribonucleotide transformylase and 5-amino-4-imidazolecarboxamide ribonucleotide transformylase. These enzymes convert glycinamide ribonucleotide into formyl-glycinamide ribonucleotide and aminomidazole carboxamide ribonucleotide into formyl-aminoimidazole carboxyamide ribonucleotide, respectively.16

Figure 1 provides a generalized metabolic pathway for folic acid-related one-carbon transfers.

Bringing the pathways together

This article aimed to inform and raise important questions regarding the overlap between folate and biopterin metabolism and phenotypic expression. Both reduced folates and biopterin are extremely sensitive to oxidation, and it has been suggested that folate is critical in the regeneration of labile BH4. While the antioxidant properties of reduced folates may be relevant, the primary mechanism for BH4 regeneration appears to involve a salvage pathway mediated by DHFR.21 A further biochemical overlap occurs in the form of eNOS, the enzyme responsible for generating nitric oxide in vascular endothelial cells, with BH4 as its obligate cofactor. Notably, 5CH3-H4PteGlu has been shown to regenerate oxidized BH2 to reduced BH4.22 This reduced folate coenzyme can also substitute for BH4 at the enzyme cofactor level.23 If this finding is correct, it suggests that the molecular structures of BH4 and 5CH3-H4PteGlu are sufficiently similar that eNOS can accept 5CH3-H4PteGlu as a substitute cofactor.4,24 However, it remains unclear whether reduced folates can also substitute for BH4 in the hydroxylase enzymes involved in monoamine neurotransmitter synthesis, as they do with eNOS.4 Indeed, it is the author’s view that CSF 5CH3-H4PteGlu provides a valuable source of methyl groups to support biogenic amine biosynthesis, likely representing the primary mechanism by which folate modulates monoamine neurotransmitter levels and mood disorders.25

Table 1 summarizes key clinical and experimental (animal and cell culture) evidence supporting the folate/biopterin cofactor nexus.2,3,21–24,26–42

Table 1

Selected key evidence supporting the folate–biopterin metabolic nexus

AuthorsResearch relevanceResearch model
Shi et al., 200424Epiphenomenal folate and vitamin C enhances BH4 bioavailability contributing to endothelial homeostasisKey review
Hasegawa et al., 200521Elevation in BH4 by supplementation is via a “salvage pathway” that included BH2 as the key intermediate in production of BH4 through the action of DHFRCell culture and mouse model
Antoniades et al., 2006225CH3-H4PteGlu has a beneficial impact on endothelial function and vascular superoxide synthesis in human atherosclerosis. This is achieved via inhibition of peroxynitrite-mediated BH4 oxidation and enhanced eNOS couplingHuman study
Hyndman et al., 2002235CH3-H4PteGlu attenuates superoxide production (induced by inhibition of BH4 synthesis) and improves endothelial function in rat aortae isolated from BH4-deficient rats. Therefore, 5CH3-H4PteGlu interacts with nitric oxide synthase to promote production of nitric oxide and improve endothelial functionIsolated rat aortae
Matthews et al., 19803Pig liver MTHFR catalyzes reduction of quinonoid BH2in vitroPig liver model
Kaufman, 19912MTHFR can use 5CH3-H4PteGlu to regenerate BH4 from quinonoid BH2 which may thus provide an escape from the putative”methyl trap”Review
Leeming et al., 200626 and Smith et al., 198527Low concentrations of folate vitamers occur in the CSF and blood of patients with DHPR deficiency. Symptoms deteriorate with synthetic folic acid but improve with leucovorin (5CHO-H4PteGlu)Research letter based on clinical evidence and human study
Lucock et al., 200228PKU patients have an altered distribution of blood folate vitamers supporting that biopterin and folate pathways may interactHuman study
Pollack et al., 197830DHPR helps preserve tetrahydrofolate from oxidation in brain tissue. Substantially lower folate levels are found in brain biopsies from humans lacking DHPR supporting a role for this biopterin enzyme in folate metabolismHuman study
Leeming et al., 201029 and Smith et al., 198527Following administration of synthetic PteGlu, already low levels of CSF 5CH3-H4PteGlu in DHPR deficient patients falls to extremely low levels and is linked to physical changes in the brainResearch letter based on clinical evidence and human study
Leeming et al., 197631The antifolate, methotrexate, increases serum biopterin levels, which increase even further following administration of both synthetic folic acid and 5-CHO-H4PteGlu. This contrasted with a total absence of response to oral folates without prior methotrexateHuman study
Wolf et al., 201832Acute UV-B radiation exposure attenuates biopterin dependent NO-mediated vasodilation of the cutaneous microvasculature via degradation of 5CH3-H4PteGluHuman study
Blau et al., 200133Despite humans being unable to synthesise folate de novo, bacteria can. GTP cyclohydrolase 1 is used by bacteria for folate production, but is also used by humans for BH4 biosynthesisHuman context
Bottiglieri et al.,199234CSF levels of BH4 are significantly correlated to monoamines and red cell folateHuman study
Smith et al., 198635Patients with DHPR insufficiency accumulate BH2 and develop secondary folate deficiency resembling that occurring in subjects with a defective MTHFR activity. In DHPR deficiency cerebral calcification may develop as seen in congenital folate malabsorption and methotrexate toxicity. Symptoms are ameliorated by therapy with 5-formyltetrahydrofolate but exacerbated by folic acidHuman study
Crabtree et al., 201136Supplementary to key roles in folate metabolism, DHFR can regenerate BH4 from BH2. Thus, it is likely that net BH4 cell bioavailability reflects the equilibrium between de novo BH4 synthesis, oxidative loss to BH2, and the regeneration of BH4 by the reductive folate enzyme, DHFRReview using multiple model systems
Dickinson et al., 2024375CH3-H4PteGlu has a critical role in endothelial cell function in pregnancy. This is related to endothelial cell BH4 availability and NO synthase activity. 5CH3-H4PteGlu may be a novel therapeutic agent with potential to improve endothelial function in pregnancy hypertension by targeting endothelial cell BH4Human and mouse study
Chuaiphichai et al., 202338Targeting vascular GCH1 and BH4 biosynthesis with reduced folates identifies a novel therapeutic target for the prevention and treatment of pregnancy induced hypertensionMouse model
Liu et al., 202239Reduced BH4 levels promote peroxynitrite formation and aortic valve calcification. Dietary folate attenuates aortic valve calcification by salvaging BH4 bioavailabilityMouse model
Maletic et al., 2023405CH3-H4PteGlu may mitigate depression by driving synthesis of BH4, a critical coenzyme in neurotransmitter productionHuman study
Zhilyaeva et al., 202241In a schizophrenia group, BH4 and folate levels were lower (p = 0.001 and p = 0.054, respectively), and the levels of homocysteine were higher (p = 0.012) compared to a control group. BH4 levels positively correlated with folate (p = 0.0029)Human study
Chalupsky et al., 201542Folate upregulation of DHFR recouples eNOS in hypoxia. This is achieved by improved BH4 recycling and may have a role in preventing pulmonary hypertensionHuman cell model

Genes of putative relevance in the folate-biopterin nexus

Five major genes involved in biopterin metabolism exist in variant form and elicit coding and phenotypic effects. These include GCH1 (324 variants), PTS (199 variants), SPR (104 variants), PCBD (32 variants), and QDPR (141 variants). These genes encode the following proteins: GTP cyclohydrolase I feedback regulatory protein, 6-pyruvoyl-tetrahydropterin synthase, sepiapterin reductase, pterin-4α-carbinolamine dehydratase, and quinoid DHPR, respectively. The biochemical orchestration of this area of metabolism is shown in Figure 1.

Folate metabolism is somewhat more complex, with a broader and deeper metabolic influence. Folyl vitamers serve as coenzymes for life-critical biosynthetic pathways, including those feeding the epigenome (methylome), generalized methylations (e.g., neurotransmitters), and nucleotide biosynthesis required for DNA elaboration. These folate-dependent pathways are critical for both short- and long-term phenotypic adaptation or maladaptation and, as such, contribute to the development of several early-life developmental and later-life degenerative disorders.43 Important coenzymes include H2PteGlu, H4PteGlu, 5CH3-H4PteGlu, 5,10CH2-H4PteGlu, 10CHO-H4PteGlu, and 5,10CH-H4PteGlu, which exist in both mono- and polyglutamate forms. Some of the most critical enzymes for these cofactors include: methionine synthase (rs1805087), methionine synthase reductase (rs1801394), MTHFR (rs1801133, rs1801131), serine hydroxymethyltransferase (rs1979277), thymidylate synthase (rs34489327, rs45445694), DHFR (rs70991108), reduced folate carrier (rs1051266), and methylenetetrahydrofolate dehydrogenase (rs2236225, rs1950902). Although MTHFR and DHFR are the most obvious candidates for interaction/overlap with biopterin metabolism, it is important to note that, due to the tight integration of one-carbon transfers, some of the most phenotypically significant folate-related gene polymorphisms are listed in square brackets for each of the listed folate enzymes. The biochemical orchestration of this area of metabolism is shown in Figure 1.

Insights and questions on the folate-biopterin metabolic nexus

In 2006, Leeming and Hall suggested that DHPR plays a key role in folate metabolism in the central nervous system (CNS),26 as evidenced by low concentrations of folate species in the CSF and blood of patients with DHPR deficiency. Furthermore, for reasons that remain unclear, CSF folate concentrations are further reduced by the administration of the provitamin, PteGlu, although peripheral total folate concentrations normalize. A key observation here is that the clinical condition deteriorates significantly with synthetic PteGlu, whereas it improves following administration of natural 5-formyltetrahydrofolic acid (hereinafter referred to as 5CHO-H4PteGlu).27 In DHPR deficiency, it is well recognized that there is an increase in 7,8-dihydrobiopterin/BH2 in the peripheral circulation, similar to what occurs in classic PKU (phenylalanine hydroxylase deficiency), where significant perturbation of folate metabolism is also observed.28

The exact role of DHPR in folate metabolism remains unclear, although normal salvage of quinonoid BH2 (and possibly partially oxidized folates) appears to require both pterin-4α-carbinolamine dehydratase (PCD) and DHPR. When PCD is inactive, a transient hyperphenylalaninemia occurs, which does not require treatment, but 7-substituted forms of biopterin and neopterin are produced.44 Based on these observations, Leeming and Hall suggest it would be valuable to investigate these rare cases further to see whether 7-folates are also generated, as this would point to a direct role for this salvage pathway in folate metabolism.

In 2010, the same authors reiterated that the role of DHPR in folate metabolism has never been experimentally proven.29 However, they emphasized that there is little evidence in the literature to suggest that DHFR is present in the human brain to any significant extent.30 If DHFR is relatively scarce in the brain, DHPR almost certainly plays a major role in maintaining the various reduced folate coenzyme pools.30 It is recognized that CSF 5CH3-H4PteGlu is present at levels two to three times higher than in blood plasma,45 suggesting active transport at the choroid plexus.

Following the administration of provitamin PteGlu, the low concentrations of CSF 5CH3-H4PteGlu in DHPR-deficient individuals drop to catastrophically low levels, leading to substantial physical changes in the brain.27 It has been suggested that in DHPR deficiency, following PteGlu administration, the CSF 5CH3-H4PteGlu deficit arises due to a build-up of BH2, which is also a substrate for the DHFR salvage pathway, whose normal substrate is H2PteGlu. The hypothesis is that BH2 accumulation could compete/interfere with normal folate-dependent one-carbon metabolic flux, specifically the catalytic conversion of PteGlu to H2PteGlu (high Km), and subsequently to H4PteGlu (low Km). Despite this hypothesis, other situations exist where BH2 is markedly elevated without any obvious implications for CSF/folate levels. One example is PKU,46 which, although having broader effects on peripheral folate status, does not show similar issues in the CSF.28 There are also several iatrogenic causes, and as mentioned earlier, quinonoid BH2 may interact with the important allosteric MTHFR enzyme. However, how any impact on CNS MTHFR would translate into low CSF 5CH3-H4PteGlu remains unclear. If, as previously suggested, DHPR plays a more dominant role in the brain than DHFR, while outside of the CNS, DHFR plays the dominant role, then in DHFR deficiency, is it possible that a) unmetabolized PteGlu competes with reduced folate at DHFR in the liver and residual DHPR activity in a variety of tissues,47 and b) impacts active uptake of 5CH3-H4PteGlu in the choroid plexus.29 Therefore, in DHPR deficiency, CSF 5CH3-H4PteGlu that passes through the blood-brain barrier, once metabolized, cannot be recycled to a reduced state in the absence of both DHFR and DHPR activity, leading to a decline in CSF folate. Vitamin B12 and gene polymorphisms may also contribute to this scenario. Overall, when provitamin PteGlu is administered, replenishment of the critical reduced 5CH3-H4PteGlu supply to the brain may be restricted, and the consequences could be catastrophic.

Emphasizing the interconnected role of these two enzymes, early work by Leeming and colleagues demonstrated that the administration of the antifolate drug methotrexate raised serum biopterin levels.31 These biopterin levels increased further following the administration of folate (PteGlu and 5-CHO-H4PteGlu). This contrasted with the total absence of response to oral folates without prior methotrexate treatment and to 5CH3-H4PteGlu, whether or not methotrexate was administered. The rationale for this was unclear, and the authors reasonably claimed that little is known about the metabolism of biopterin derivatives in humans, lending further justification to the present article. Despite this, considerable work has been done since these early studies, and the next section explores the impact of these folate/biopterin loci on important phenotypic outcomes.

Focus on important phenotypic outcomes linked to folate and biopterin loci

The following examples are not intended to be comprehensive but instead focus attention on a selection of specific, important phenotypic outcomes.

Mood disorders

Twenty-five percent of US citizens will suffer from depression at some point in their lives. One-third of people with depression have an overt folate deficiency,4 while CSF levels of BH4 are significantly correlated with monoamine neurotransmitters and red blood cell folate in depression.28 An interesting point is that both folate and biopterin help direct the biosynthesis of the monoamine neurotransmitters serotonin, epinephrine, and dopamine. The critical form of folate is 5CH3-H4PteGlu, which is required for the remethylation of the amino acid metabolite homocysteine, generating methionine, and subsequently S-adenosylmethionine (SAM). SAM mediates numerous biochemical methyl donor reactions, including those leading to the synthesis of the monoamine neurotransmitters. Both SAM and 5CH3-H4PteGlu supplementation/therapy can improve mood disorders.4,25 Despite this, it remains unclear whether 5CH3-H4PteGlu has a direct effect on SAM and, hence, monoamine neurotransmitters, or whether it oxidatively stabilizes, enhances synthesis of, or substitutes for BH4, which is itself critical in monoamine neurotransmitter biosynthesis.4

Autism spectrum disorder (ASD)

The authors have previously raised the question of whether BH4 could be implicated in autism, and whether this might be relevant to any putative relationship between folate and the patho-aetiology of autism.48

As mentioned above, BH4 and 5CH3-H4PteGlu are both critical components in the synthesis of the neurotransmitters dopamine and serotonin, which are relevant to many pathways reported as abnormal in ASD.48

Clearly, the relationship between folate and BH4 in neurological function is interesting, and any perturbation could have significant consequences during development.29,31,48 Consider that both urinary and CSF biopterin levels are known to be altered in autistic children, and treatment with BH4 appears to be beneficial.49 Given these observations, the current authors wonder if there could be any adverse interactions between synthetic provitamin PteGlu and biopterin at the level of either DHPR and/or DHFR during embryonic/fetal development. Indeed, it has been shown that several folate gene variants act as risk factors for ASD, including genes encoding both DHFR and MTHFR.50–52

The authors have previously put forward an argument for environmental modulation of photolabile or photosynthetic vitamins mediating autism risk via a complex downstream interaction of genetic/epigenetic phenomena. This provides an explanation for seasonality in this and other developmentally originated disorders.48 We believe this is one of the few unifying hypotheses that fully explains ASD and related developmental conditions. It fits with a putative central role for both folate and biopterin metabolism in the patho-aetiology of the condition.

In 2022, the Australian Bureau of Statistics estimated that 1.1% of Australians had autism (1.6% of males and 0.7% of females). Geographically, figures vary, although globally, the World Health Organization suggests that about 1% of children have autism. However, chronologically statistics are also changing, with 2001 figures showing that 0.6% of children had the condition at that time.50

Biopterin excess in PKU, and insufficiency in biopterin deficiency disorders

Several individual phenotypes are associated with variants in specific genes within the BH4 biosynthetic or recycling metabolic pathways. This is clearly mapped out in an article by Himmelreich et al.,1 which identifies various genotype-phenotype relationships. While hyperphenylalaninemia likely leads to an excess of BH4 in PKU patients, BH4 deficiency phenotypes require a different approach depending on the severity of the condition. Treatment typically involves a phenylalanine-restricted diet for PKU, and in BH4 insufficiency, clinical management may include the supplementation of L-dopa and 5-hydroxytryptophan (in addition to the decarboxylase inhibitor carbidopa). These are dopamine and serotonin precursors, combined with sapropterin dihydrochloride, a synthetic analogue of BH4.1,53 Furthermore, 5CHO-H4PteGlu (folinic acid/leucovorin) is also administered in case of a potential DHPR deficiency, a condition that would lead to low CSF 5CH3-H4PteGlu (see earlier).

PKU has a global prevalence of approximately one in 23,930 live births, with around 0.45 million individuals affected globally, and many other gene-related biopterin disorders have similar prevalence rates.1

NTD

The clinical role of folic acid in the prevention of NTDs is well established, although the precise vitamin-related molecular mechanism remains unclear. The pioneering studies of Dick Smithells in Leeds were the first to demonstrate prevention. His team showed a reduction in the recurrence rate of NTD following periconceptional folic acid-containing multivitamin supplementation.54 In 2023, 69 countries had mandatory folic acid fortification in place, 47 had voluntary fortification, and 77 countries had no fortification.55 It was found that among 75 countries, the average NTD prevalence (mean [95% confidence interval]) per 10,000 population was 4.19 (4.11–4.28) in countries with mandatory fortification, 7.61 (7.47–7.75) in countries with voluntary fortification, and 9.66 (9.52–9.81) in countries with no fortification.55 Several folate genes are also thought to be relevant. As mentioned above, the variant form of MTHFR (C677T-MTHFR) is aetiologically significant in autism52; however, it is also a known risk factor for NTDs and is thus considered critical during the earliest phases of the human lifecycle.56

Since plasma BH4 bioavailability has been suggested as a teratogenic factor in the occurrence of NTDs,57 Lupo and colleagues identified a specific biopterin gene relevant to NTDs. GCH1 catalyzes the first and rate-limiting step of de novo BH4 synthesis. A three-polymorphism haplotype in GCH1 (rs8007267, rs3783641, and rs10483639) modulates GCH1 gene expression levels, influencing plasma BH4 bioavailability. The study found that offspring carrying two copies of haplotype C-T-C had a significantly increased NTD risk, while mothers carrying two copies of haplotype C-T-C had a significantly increased risk of having an NTD-affected offspring. This suggests that offspring and maternal variation in the GCH1 gene may contribute to NTD risk, possibly via altered BH4 biosynthesis. Like autism, NTDs demonstrate a clear photoperiodicity. Environmental and genetic factors, along with overlapping biochemistry, must all contribute to these developmental disorders. Despite a huge effort, precise mechanisms remain elusive.

Skin pigmentation phenotype

Skin pigments based on melanin are derived from tyrosine and are synthesized in epidermal melanosomes. These structures are translocated to nearby keratinocytes via transport along dendritic projections. This group of darkly pigmented macromolecular pigments (5,6-dihydroxyindole eumelanin, 5,6-dihydroxyindole-2-carboxylic acid eumelanin, and pheomelanin, in order of decreasing darkness) are a variety of biopolymers that are very effective at masking us from harmful ultraviolet radiation (UVR). The process of melanogenesis is regulated by both ion transport and the availability of key precursor substrates. BH4-dependent phenylalanine hydroxylase transforms phenylalanine into tyrosine in the cytoplasm of the melanocyte. Rate-limiting tyrosine is subsequently transported into the melanosome, where it is transformed into L-DOPA by tyrosine hydroxylase (isoform 1). L-DOPA then activates tyrosinase (TYR), initiating melanogenesis. The activity of TYR is regulated by BH4 through the formation of a 1:1 inhibitory complex (BH4:TYR). This complex can be reversed by α- and β-melanocyte-stimulating hormone (MSH), rendering the TYR enzyme active once again. Interestingly, interferon regulatory factor 4 (IRF4) cooperates with the melanocyte master regulator to activate TYR, and it has recently been demonstrated that the IRF4 pigmentation gene interacts with UV radiation to influence red cell folate levels.58,59 Thus, folate and biopterin come together once again in expressing an important phenotype.

There is a more direct link between folate and BH4 in general, and in the context of the pigmentation phenotype. Along with folate-dependent one-carbon transfers allowing biosynthesis of dTMP (DNA) and methionine (methyl groups, including genomic CpG groups), folate is also needed for purine biosynthesis, including GTP and, hence, the GTP biochemical product, BH4. Clearly, the relationship between biopterin and folate is deeply entrenched, particularly in the synergistic contribution they make to melanogenesis. Indeed, in a 2022 article,59 the present author postulated that since folate is required for BH4 and thus melanin production, a low folate (a UV-labile vitamin) may equate to a lowered BH4 status and hence reduced melanin biosynthesis. It was suggested that such a reduction in melanin would lead to even more UVR-related folate loss and hence ever greater DNA damage. This propagates an ongoing negative spiral in folate status, as the low folate levels that do exist will be redirected to DNA repair, and demonstrates how dietary antioxidant status (vitamin C/E/beta-carotene, etc.) is likely relevant in this scenario for protecting reduced and highly labile folates from UV radiation-related oxidation. Folate gene and pigmentation gene interactions are also likely important in modulating this progressive negative spiral in folate status.58,59 Even prior to this hypothesis, it had been established and accepted that the degree of melanization is associated with protection against systemic oxidative stress.60

Vascular disease

A specific cluster of folate-related genes operates in tight synergy and is critical for dTMP and, hence, DNA biosynthesis. This cluster of genes is potentially polymorphic, making them of interest from a disease risk perspective. However, in the present context, since they aid balanced partitioning of one-carbon units between dTMP and de novo methionine synthesis, they can modulate the level of potentially vasculotoxic homocysteine.61 This important gene cluster encodes serine hydroxymethyltransferase 1, thymidylate synthase, and DHFR, and is responsible for the utilization of 5,10CH2-H4PteGlu for the synthesis of dTMP and, hence, DNA. Linked to this, MTHFR provides an alternative fate for 5,10CH2-H4PteGlu, namely reduction to 5CH3-H4PteGlu and utilization for the conversion of homocysteine into methionine, a process that also requires vitamin B12. This critical metabolic locus provides a fork in the road for one-carbon units, with gene variation altering the probability of which metabolic route one-carbon units will take. It seems reasonable to assume that the nature of the “metabolic/genetic wiring” at this location will interact with dietary folate/folate status, UV exposure, and other exposomal factors to influence levels of vasculotoxic homocysteine, DNA synthesis, biopterin, and other cognate metabolites. In doing so, it will modify the risk for vascular disease, as well as other conditions, including cancer and birth defects.

There is also a more direct link between folate and biopterin in the context of vascular disease, as touched upon earlier. It is believed that reduced folate (5CH3-H4PteGlu) interacts with biopterin metabolism directly and/or via an antioxidative effect and thereby influences nitric oxide synthesis, affecting vascular health.32,62 Nitric oxide, or endothelium-derived relaxing factor, is a vasodilator released by endothelial cells that line blood vessel walls; it relaxes vascular smooth muscle and inhibits platelet aggregation. For cardiovascular diseases as a whole, the World Health Organization estimates that 17.9 million lives are lost each year, making this cofactor nexus a potentially important area for therapeutic intervention.

In considering the complexity and importance of folate and biopterin cofactors in the above contexts, it is also important to recognize that folate and biopterin may also interact via structural similarity, although this remains to be proven.28

Study limitations

The main issue is that few human studies on this area of metabolism have been carried out over the last 20 years. However, in the previous 20 years, up to and around the turn of the century, considerable work was carried out. Unfortunately, the available techniques at the time have limited the potential for the interpretation of outcomes. Additionally, the silo effect, resulting from breaking down the area into investigations of multiple phenotypes and two distinct cofactor families that are seldom considered together, does not foster the level of communication and collaboration necessary to promote efficiency and success.

Future directions

The metabolic overlap between biopterin and folate pathways is now generally accepted. However, given the critical nature of both cofactor families in obligate biosynthetic pathways and the fact that very few recent research papers have focused on this area, we believe further exploration of this nexus is required.16,63 In particular, developing and applying new high-performance liquid chromatography-tandem mass spectrometry techniques to quantify individual coenzymes at the one-carbon and individual polyglutamate levels would provide a more complete understanding of what is currently a complex area, which has only been examined using non-specific techniques to date. Genetic variants encoding the various enzymes shown in Figure 1 are also important factors to evaluate. This will help fill in the gaps in what is currently an extremely under-represented field in the literature.

Conclusions

Folate and biopterin are closely related cofactors that may interact in a manner that enhances biochemical pathways supported by both coenzyme families.

The metabolic interaction between these two cofactor families (Fig. 1) has generated a number of ideas and postulates critical to advancing the biochemical basis of several important and seemingly disparate clinically relevant and/or biologically important phenotypes (melanization, PKU, autism, NTD, affective disorders, vascular disease, etc.). This review provides a brief, integrated overview of this key area, which is under-represented in the literature and would benefit from further exploration. While some of the phenotypes examined may involve folate and biopterin, full explanatory mechanisms remain elusive (e.g., autism and NTD). The degree of in vivo reciprocity/overlap between folate and biopterin pathways requires a deeper dive into the basic science and more detailed clinical studies within specific phenotypes. Our understanding is, to some degree, limited by the availability of analytical strategies, with contemporary non-specific methods unlikely to yield particularly useful information. To give context to this statement, over a hundred different folyl coenzymes exist in nature. By developing improved analytical strategies, it should be possible to shed more light on this interesting but enigmatic metabolic nexus than can be achieved with a single non-specific evaluation, such as routine pathology assays for red cell folate.

Declarations

Acknowledgement

None.

Funding

None.

Conflict of interest

Dr. Mark D. Lucock has been an associate editor of Exploratory Research and Hypothesis since June 2016. The author has no other conflicts of interest to note.

Authors’ contributions

Study concept and design (RJL, MDL), analysis and interpretation of data (RJL, MDL), drafting of the manuscript (MDL, RJL), critical revision of the manuscript for important intellectual content (MDL, RJL). Both authors have made significant contributions to this study and have approved the final manuscript.

References

  1. Himmelreich N, Blau N, Thöny B. Molecular and metabolic bases of tetrahydrobiopterin (BH(4)) deficiencies. Mol Genet Metab 2021;133(2):123-136 View Article PubMed/NCBI
  2. Kaufman S. Some metabolic relationships between biopterin and folate: implications for the “methyl trap hypothesis”. Neurochem Res 1991;16(9):1031-1036 View Article PubMed/NCBI
  3. Matthews RG, Kaufman S. Characterization of the dihydropterin reductase activity of pig liver methylenetetrahydrofolate reductase. J Biol Chem 1980;255(13):6014-6017 View Article PubMed/NCBI
  4. Miller AL. The methylation, neurotransmitter, and antioxidant connections between folate and depression. Altern Med Rev 2008;13(3):216-226 View Article PubMed/NCBI
  5. Blau N, Thöny B, Cotton RH, Hyland K. Disorders of Tetrahydrobiopterin and Related Biogenic Amines. In: Valle DL, Antonarakis S, Ballabio A, Beaudet AL, Mitchell GA (eds). The Online Metabolic and Molecular Bases of Inherited Disease. New York: McGraw-Hill Education; 2019 View Article PubMed/NCBI
  6. Werner ER, Blau N, Thöny B. Tetrahydrobiopterin: biochemistry and pathophysiology. Biochem J 2011;438(3):397-414 View Article PubMed/NCBI
  7. Abou-Saleh MT, Anderson DN, Collins J, Hughes K, Cattell RJ, Hamon CG, et al. The role of pterins in depression and the effects of antidepressive therapy. Biol Psychiatry 1995;38(7):458-463 View Article PubMed/NCBI
  8. Anderson DN, Abou-Saleh MT, Collins J, Hughes K, Cattell RJ, Hamon CG, et al. Pterin metabolism in depression: an extension of the amine hypothesis and possible marker of response to ECT. Psychol Med 1992;22(4):863-869 View Article PubMed/NCBI
  9. Coppen A, Swade C, Jones SA, Armstrong RA, Blair JA, Leeming RJ. Depression and tetrahydrobiopterin: the folate connection. J Affect Disord 1989;16(2-3):103-107 View Article PubMed/NCBI
  10. Latremoliere A, Costigan M. Combining Human and Rodent Genetics to Identify New Analgesics. Neurosci Bull 2018;34(1):143-155 View Article PubMed/NCBI
  11. Cronin SJF, Seehus C, Weidinger A, Talbot S, Reissig S, Seifert M, et al. The metabolite BH4 controls T cell proliferation in autoimmunity and cancer. Nature 2018;563(7732):564-568 View Article PubMed/NCBI
  12. Alexander LM, Kutz JL, Kenney WL. Tetrahydrobiopterin increases NO-dependent vasodilation in hypercholesterolemic human skin through eNOS-coupling mechanisms. Am J Physiol Regul Integr Comp Physiol 2013;304(2):R164-R169 View Article PubMed/NCBI
  13. Lucock MD, Wild J, Smithells RW, Hartley R. In vivo characterization of the absorption and biotransformation of pteroylmonoglutamic acid in man: a model for future studies. Biochem Med Metab Biol 1989;42(1):30-42 View Article PubMed/NCBI
  14. Kelly P, McPartlin J, Goggins M, Weir DG, Scott JM. Unmetabolized folic acid in serum: acute studies in subjects consuming fortified food and supplements. Am J Clin Nutr 1997;65(6):1790-1795 View Article PubMed/NCBI
  15. Choi JH, Yates Z, Veysey M, Heo YR, Lucock M. Contemporary issues surrounding folic Acid fortification initiatives. Prev Nutr Food Sci 2014;19(4):247-260 View Article PubMed/NCBI
  16. Shane B. Folate and vitamin B12 metabolism: overview and interaction with riboflavin, vitamin B6, and polymorphisms. Food Nutr Bull 2008;29(2 Suppl):S5-S16 View Article PubMed/NCBI
  17. Sohn KJ, Jang H, Campan M, Weisenberger DJ, Dickhout J, Wang YC, et al. The methylenetetrahydrofolate reductase C677T mutation induces cell-specific changes in genomic DNA methylation and uracil misincorporation: a possible molecular basis for the site-specific cancer risk modification. Int J Cancer 2009;124(9):1999-2005 View Article PubMed/NCBI
  18. Blount BC, Mack MM, Wehr CM, MacGregor JT, Hiatt RA, Wang G, et al. Folate deficiency causes uracil misincorporation into human DNA and chromosome breakage: implications for cancer and neuronal damage. Proc Natl Acad Sci U S A 1997;94(7):3290-3295 View Article PubMed/NCBI
  19. Mosharov E, Cranford MR, Banerjee R. The quantitatively important relationship between homocysteine metabolism and glutathione synthesis by the transsulfuration pathway and its regulation by redox changes. Biochemistry 2000;39(42):13005-13011 View Article PubMed/NCBI
  20. Lucock MD. Synergy of genes and nutrients: the case of homocysteine. Curr Opin Clin Nutr Metab Care 2006;9(6):748-756 View Article PubMed/NCBI
  21. Hasegawa H, Sawabe K, Nakanishi N, Wakasugi OK. Delivery of exogenous tetrahydrobiopterin (BH4) to cells of target organs: role of salvage pathway and uptake of its precursor in effective elevation of tissue BH4. Mol Genet Metab 2005;86(Suppl 1):S2-10 View Article PubMed/NCBI
  22. Antoniades C, Shirodaria C, Warrick N, Cai S, de Bono J, Lee J, et al. 5-methyltetrahydrofolate rapidly improves endothelial function and decreases superoxide production in human vessels: effects on vascular tetrahydrobiopterin availability and endothelial nitric oxide synthase coupling. Circulation 2006;114(11):1193-1201 View Article PubMed/NCBI
  23. Hyndman ME, Verma S, Rosenfeld RJ, Anderson TJ, Parsons HG. Interaction of 5-methyltetrahydrofolate and tetrahydrobiopterin on endothelial function. Am J Physiol Heart Circ Physiol 2002;282(6):H2167-H2172 View Article PubMed/NCBI
  24. Shi W, Meininger CJ, Haynes TE, Hatakeyama K, Wu G. Regulation of tetrahydrobiopterin synthesis and bioavailability in endothelial cells. Cell Biochem Biophys 2004;41(3):415-434 View Article PubMed/NCBI
  25. Bottiglieri T, Hyland K, Laundy M, Godfrey P, Carney MW, Toone BK, et al. Enhancement of recovery from psychiatric illness by methylfolate. Lancet 1990;336(8730):1579-1580 View Article PubMed/NCBI
  26. Leeming RJ, Hall KS. Folate Metabolism and the Role of Dihydropteridine Reductase (DHPR) deficiency. Pteridines 2006;17(4):101-102 View Article PubMed/NCBI
  27. Smith I, Hyland K, Kendall B. Clinical role of pteridine therapy in tetrahydrobiopterin deficiency. J Inherit Metab Dis 1985;8(Suppl 1):39-45 View Article PubMed/NCBI
  28. Lucock M, Yates Z, Hall K, Leeming R, Rylance G, MacDonald A, et al. The impact of phenylketonuria on folate metabolism. Mol Genet Metab 2002;76(4):305-312 View Article PubMed/NCBI
  29. Leeming RJ, Hall KS. Dihydropteridine Reductase and Folate Metabolism Revisited. Pteridines 2010;21(1):84-85 View Article PubMed/NCBI
  30. Pollock RJ, Kaufman S. Dihydrofolate reductase is present in brain. J Neurochem 1978;30(1):253-256 View Article PubMed/NCBI
  31. Leeming RJ, Blair JA, Melikian V, O’Gorman DJ. Biopterin derivatives in human body fluids and tissues. J Clin Pathol 1976;29(5):444-451 View Article PubMed/NCBI
  32. Wolf ST, Stanhewicz AE, Jablonski NG, Kenney WL. Acute ultraviolet radiation exposure attenuates nitric oxide-mediated vasodilation in the cutaneous microvasculature of healthy humans. J Appl Physiol (1985) 2018;125(4):1232-1237 View Article PubMed/NCBI
  33. Blau N, Bonafé L, Thöny B. Tetrahydrobiopterin deficiencies without hyperphenylalaninemia: diagnosis and genetics of dopa-responsive dystonia and sepiapterin reductase deficiency. Mol Genet Metab 2001;74(1-2):172-185 View Article PubMed/NCBI
  34. Bottiglieri T, Hyland K, Laundy M, Godfrey P, Carney MW, Toone BK, et al. Folate deficiency, biopterin and monoamine metabolism in depression. Psychol Med 1992;22(4):871-876 View Article PubMed/NCBI
  35. Smith I, Howells DW, Hyland K. Pteridines and mono-amines: relevance to neurological damage. Postgrad Med J 1986;62(724):113-123 View Article PubMed/NCBI
  36. Crabtree MJ, Channon KM. Synthesis and recycling of tetrahydrobiopterin in endothelial function and vascular disease. Nitric Oxide 2011;25(2):81-88 View Article PubMed/NCBI
  37. Dickinson Y, Boehni R, Obeid R, Knapp JP, Moser R, Lewandowski AJ, et al. Novel Role of 5-Methyl-(6S)-Tetrahydrofolate in Mediating Endothelial Cell Tetrahydrobiopterin in Pregnancy and Implications for Gestational Hypertension. Hypertension 2024;81(9):1910-1923 View Article PubMed/NCBI
  38. Chuaiphichai S, Dickinson Y, Whiteman CAR, Au-Yeung D, McNeill E, Channon KM, et al. Endothelial cell vasodilator dysfunction mediates progressive pregnancy-induced hypertension in endothelial cell tetrahydrobiopterin deficient mice. Vascul Pharmacol 2023;150:107168 View Article PubMed/NCBI
  39. Liu Z, Dong N, Hui H, Wang Y, Liu F, Xu L, et al. Endothelial cell-derived tetrahydrobiopterin prevents aortic valve calcification. Eur Heart J 2022;43(17):1652-1664 View Article PubMed/NCBI
  40. Maletic V, Shelton R, Holmes V. A Review of l-Methylfolate as Adjunctive Therapy in the Treatment of Major Depressive Disorder. Prim Care Companion CNS Disord 2023;25(3):22nr03361 View Article PubMed/NCBI
  41. Zhilyaeva TV, Kasyanov ED, Semennov IV, Rukavishnikov GV, Piatoikina AS, Kostina OV, et al. Tetrahydrobiopterin deficiency in schizophrenia: Biochemical and clinical aspects. J Psychiatr Res 2022;153:141-148 View Article PubMed/NCBI
  42. Chalupsky K, Kračun D, Kanchev I, Bertram K, Görlach A. Folic Acid Promotes Recycling of Tetrahydrobiopterin and Protects Against Hypoxia-Induced Pulmonary Hypertension by Recoupling Endothelial Nitric Oxide Synthase. Antioxid Redox Signal 2015;23(14):1076-1091 View Article PubMed/NCBI
  43. Lucock M. Vitamin-related phenotypic adaptation to exposomal factors: The folate-vitamin D-exposome triad. Mol Aspects Med 2022;87:100944 View Article PubMed/NCBI
  44. Curtius HC, Kuster T, Matasovic A, Blau N, Dhondt JL. Primapterin, anapterin, and 6-oxo-primapterin, three new 7-substituted pterins identified in a patient with hyperphenylalaninemia. Biochem Biophys Res Commun 1988;153(2):715-721 View Article PubMed/NCBI
  45. Lucock MD, Levene MI, Hartley R. Modulation of potassium evoked secretory function in rat cerebellar slices measured by real time monitoring: evidence of a possible role for methylfolate in cerebral tissue. Neurochem Res 1993;18(5):617-623 View Article PubMed/NCBI
  46. Leeming RJ, Blair JA, Green A, Raine DN. Biopterin derivatives in normal and phenylketonuric patients after oral loads of L-phenylalanine, L-tyrosine, and L-tryptophan. Arch Dis Child 1976;51(10):771-777 View Article PubMed/NCBI
  47. Bailey SW, Ayling JE. The extremely slow and variable activity of dihydrofolate reductase in human liver and its implications for high folic acid intake. Proc Natl Acad Sci U S A 2009;106(36):15424-15429 View Article PubMed/NCBI
  48. Lucock M, Leeming R. Autism, seasonality and the environmental perturbation of epigenome related vitamin levels. Med Hypotheses 2013;80(6):750-755 View Article PubMed/NCBI
  49. Frye RE, Huffman LC, Elliott GR. Tetrahydrobiopterin as a novel therapeutic intervention for autism. Neurotherapeutics 2010;7(3):241-249 View Article PubMed/NCBI
  50. Adams M, Lucock M, Stuart J, Fardell S, Baker K, Ng X. Preliminary evidence for involvement of the folate gene polymorphism 19bp deletion-DHFR in occurrence of autism. Neurosci Lett 2007;422(1):24-29 View Article PubMed/NCBI
  51. James SJ, Melnyk S, Jernigan S, Cleves MA, Halsted CH, Wong DH, et al. Metabolic endophenotype and related genotypes are associated with oxidative stress in children with autism. Am J Med Genet B Neuropsychiatr Genet 2006;141B(8):947-956 View Article PubMed/NCBI
  52. Boris M, Goldblatt PA, Galanko J, James SJ. Association of MTHFR gene variants with autism. J Am Physicians Surg 2004;9(4):106-108 View Article PubMed/NCBI
  53. Wijemanne S, Jankovic J. Dopa-responsive dystonia—clinical and genetic heterogeneity. Nat Rev Neurol 2015;11(7):414-424 View Article PubMed/NCBI
  54. Czeizel AE. Periconceptional folic acid and multivitamin supplementation for the prevention of neural tube defects and other congenital abnormalities. Birth Defects Res A Clin Mol Teratol 2009;85(4):260-268 View Article PubMed/NCBI
  55. Quinn M, Halsey J, Sherliker P, Pan H, Chen Z, Bennett DA, et al. Global heterogeneity in folic acid fortification policies and implications for prevention of neural tube defects and stroke: a systematic review. EClinicalMedicine 2024;67:102366 View Article PubMed/NCBI
  56. van der Put NM, Steegers-Theunissen RP, Frosst P, Trijbels FJ, Eskes TK, van den Heuvel LP, et al. Mutated methylenetetrahydrofolate reductase as a risk factor for spina bifida. Lancet 1995;346(8982):1070-1071 View Article PubMed/NCBI
  57. Lupo PJ, Chapa C, Nousome D, Duhon C, Canfield MA, Shaw GM, et al. A GCH1 haplotype and risk of neural tube defects in the National Birth Defects Prevention Study. Mol Genet Metab 2012;107(3):592-595 View Article PubMed/NCBI
  58. Lucock MD, Jones PR, Veysey M, Thota R, Garg M, Furst J, et al. Biophysical evidence to support and extend the vitamin D-folate hypothesis as a paradigm for the evolution of human skin pigmentation. Am J Hum Biol 2022;34(4):e23667 View Article PubMed/NCBI
  59. Lucock MD. The evolution of human skin pigmentation: A changing medley of vitamins, genetic variability, and UV radiation during human expansion. Am J Biol Anthropol 2023;180(2):252-271 View Article PubMed/NCBI
  60. Shih BB, Farrar MD, Vail A, Allan D, Chao MR, Hu CW, et al. Influence of skin melanisation and ultraviolet radiation on biomarkers of systemic oxidative stress. Free Radic Biol Med 2020;160:40-46 View Article PubMed/NCBI
  61. Selhub J, Miller JW. The pathogenesis of homocysteinemia: interruption of the coordinate regulation by S-adenosylmethionine of the remethylation and transsulfuration of homocysteine. Am J Clin Nutr 1992;55(1):131-138 View Article PubMed/NCBI
  62. Wolf ST, Kenney WL. The vitamin D-folate hypothesis in human vascular health. Am J Physiol Regul Integr Comp Physiol 2019;317(3):R491-R501 View Article PubMed/NCBI
  63. Longo N. Disorders of biopterin metabolism. J Inherit Metab Dis 2009;32(3):333-342 View Article PubMed/NCBI

About this Article

Cite this article
Lucock MD, Leeming RJ. Folate-biopterin Crosstalk in Human Disease. Explor Res Hypothesis Med. 2025;10(3):176-184. doi: 10.14218/ERHM.2025.00020.
Copy Export to RIS Export to EndNote
Article History
Received Revised Accepted Published
April 18, 2025 May 27, 2025 June 4, 2025 July 4, 2025
DOI http://dx.doi.org/10.14218/ERHM.2025.00020