Home
JournalsCollections
For Authors For Reviewers For Editorial Board Members
Article Processing Charges Open Access
Ethics Advertising Policy
Editorial Policy Resource Center
Company Information Contact Us Membership Collaborators Partners
OPEN ACCESS

Herbal-based Nutraceuticals in Management of Lifestyle Diseases: Experience from Indian Population

  • Anuradha Singh* 
Future Integrative Medicine   2024;3(2):106-115

doi: 10.14218/FIM.2023.00055

Received:

Revised:

Accepted:

Published online:

 Author information

Citation: Singh A. Herbal-based Nutraceuticals in Management of Lifestyle Diseases: Experience from Indian Population. Future Integr Med. 2024;3(2):106-115. doi: 10.14218/FIM.2023.00055.

Abstract

This review aims to highlight the growing burden of lifestyle diseases in India and explore the potential of herbal-based nutraceuticals as complementary or alternative management approaches. It emphasizes the need for a holistic approach to managing these diseases, acknowledging the potential of traditional remedies alongside modern medicine. Specifically, the article addresses several key points. It describes the rising prevalence of lifestyle diseases in India, providing a clear understanding of the current health landscape. Additionally, it introduces the concept of herbal-based nutraceuticals and their potential benefits in managing these diseases, offering alternative solutions. The article provides evidence-based information on popular herbal remedies such as turmeric, Ashwagandha, Indian gooseberry, Aloe vera, Neem, flaxseed, cinnamon, and green tea, offering specific examples and potential benefits. It highlights the growing awareness and increasing consumption of herbal-based nutraceuticals in India, reflecting a shift in public perception towards natural remedies. Finally, the article calls for further research to validate the efficacy and safety of these products in managing lifestyle diseases, ensuring responsible use, and promoting scientific validation.

Keywords

Lifestyle diseases, Nutraceuticals, Complementary and alternative medicine, Herbal medicine, India, Public health

Introduction

Lifestyle diseases, also known as non-communicable diseases (NCDs), have emerged as a significant health burden globally, including in the Indian population. They are primarily caused by unhealthy lifestyle choices, including sedentary behavior, poor dietary habits, and stress. These diseases, such as obesity, diabetes, hypertension, cardiovascular diseases, and metabolic disorders, pose a major threat.1 According to the World Health Statistics 2022 by World Health Organization, NCDs kill 41 million people annually, equivalent to 74% of all deaths globally, with 17 million people dying from an NCD before the age of 70 each year. Moreover, 86% of these premature deaths occur in low- and middle-income countries.2 World Health Organization has estimated that 60% of factors related to individual health and quality of life are correlated with lifestyle.3

The rising prevalence of lifestyle diseases poses a significant challenge to public health systems. While modern medicine offers effective treatments, research gaps remain in areas such as long-term management, addressing the root causes of unhealthy lifestyles, and minimizing side effects. This underscores the necessity for complementary and integrative approaches that combine conventional medicine with evidence-based natural therapies. One promising avenue is herbal-based nutraceuticals, which offer potential benefits for managing lifestyle diseases. However, further research is crucial to establish their efficacy, safety, and optimal dosages for specific conditions. This article delves into the world of herbal-based nutraceuticals, examining existing research, identifying key research gaps, and exploring the potential role of these natural therapies in tackling India’s growing burden of lifestyle diseases.

Herbal-based nutraceuticals: a potential solution?

Herbal-based nutraceuticals are natural products derived from plants, offering various health benefits beyond basic nutrition. In recent years, interest in using them as potential management options for lifestyle diseases has grown significantly. These products often contain bioactive compounds derived from plants, such as herbs, which have been traditionally used in Ayurveda, Siddha, and other traditional systems of medicine in India.4 Traditional medical systems, particularly in developing countries, offer a valuable resource for rural populations due to their accessibility and perceived lower side effects compared to modern pharmaceuticals. This has contributed to a global resurgence of interest in traditional medicine, including Ayurveda, Homeopathy, Siddha, and Unani, all of which have roots in India.5 Due to the growing demand for natural solutions to combat lifestyle diseases and improve mental well-being, Ayurveda has a promising future in India.

The Ayurvedic medicine market in India is estimated to be worth INR 50 billion (USD 6.25 billion) in 2023 and is expected to grow at a compound annual growth rate of 15–20% over the next five years.6 This growth is being driven by several factors, including increasing awareness of the benefits of Ayurvedic medicine, rising disposable incomes, and the growing prevalence of lifestyle diseases. The most important fact is that the Indian government is supportive of the Ayurvedic medicine industry and has taken a few steps to promote its growth, such as launching the National Mission on Ayurveda, Yoga and Naturopathy. The Ayurvedic medicine market in India is growing rapidly, and the marketing prospects for Ayurvedic medicines are very good. Ayurvedic medicine companies can capitalize on these opportunities by focusing on functional benefits, targeting younger consumers, promoting Ayurveda as a lifestyle, and expanding into international markets.7,8 However, despite the popularity and historical usage of herbal-based nutraceuticals, there is a critical need to evaluate their efficacy and safety in managing lifestyle diseases through empirical studies.9,10

Exploring popular remedies in lifestyle disease management

This section explores some of the most popular herbal-based nutraceuticals (Table 1) used in India for managing various lifestyle diseases. Each entry highlights the herb, its key bioactive compounds, potential benefits, and existing research findings, as well as associated improvements in health outcomes.

Table 1

Popular herbal-based nutraceuticals used in India for managing various lifestyle diseases

HerbMajor phytochemicalsPotential health benefits
Turmeric (Curcuma longa)Curcuminoids (curcumin, demethoxycurcumin, bisdemethoxycurcumin)Anti-inflammatory; Antioxidant; Anticancer
Ashwagandha (Withania somnifera)Withanolides (withanolide A, withanolide D)Adaptogenic; stress-reducing; improves sleep quality; reduces anxiety
Indian Gooseberry (Emblica officinalis)Vitamin C, antioxidants (gallic acid, emblicin)Immunity booster; Improves heart health; Protects against cancer; Improves digestion; Promotes healthy skin and hair
Aloe vera (Aloe barbadensis miller)Aloin, polysaccharides, vitamins, mineralsAnti-inflammatory; Antimicrobial; Wound-healing
Neem (Azadirachta indica)Azadirachtin, nimbin, salanninAnti-inflammatory; Antidiabetic; Anticancer
Flaxseed (Linum usitatissimum)Omega-3 fatty acids, (alpha-linolenic acid), fiber, proteinAntioxidant; Anti-inflammatory; Antibacterial
Cinnamon (Cinnamomum zeylanicum Blume)Cinnamaldehyde (phenolic compounds)Antioxidant; Insulin-sensitizer
Green Tea (Camellia sinensis)Polyphenols (catechins, epicatechin, epigallocatechin gallate)Antioxidant; Anti-inflammatory
Licorice (Glycyrrhiza glabra)Glycyrrhizin (glycyrrhetinic acid, flavonoids, hydroxyl coumarins)Antioxidant; Anti-inflammatory; Immune booster; Neuroprotective
Garlic (Allium sativum)Allicin, ajoene, vinyl-dithiin, and other volatile organosulfur compoundsImmunity booster; Cardioprotective; Insulin-sensitizer; Antioxidant; Anti-inflammatory

Turmeric (Curcuma longa L.)

Turmeric contains bioactive compounds such as curcuminoids, volatile oils, carbohydrates, proteins, and resins, which contribute to its anti-inflammatory, antioxidant, and anticancer properties (Fig. 1). Turmeric has been used for centuries in Indian medicine to treat and prevent a variety of diseases. It is considered safe for use as a spice and seasoning in curries, soups, stews, and smoothies. Turmeric supplements are available in various forms, including capsules, tablets, and extracts. Over 70% of Indians use herbal supplements regularly, and turmeric is among the most popular herbal supplements in India.11 A number of studies have been conducted on the efficacy of turmeric in managing lifestyle diseases. For example, curcumin is effective in reducing cholesterol levels and improving triglyceride levels in patients with heart disease. It is also effective in improving blood sugar control and reducing inflammation.12 A meta-analysis of 24 clinical trials evaluate the effect of curcumin on blood sugar levels in diabetes patients. The analysis found that, while curcumin showed potential in improving glycemic control, the quality of evidence was low, and more high-quality studies were needed.13 Studies suggest curcumin may improve cognitive function in older adults and potentially reduce age-related inflammation.14

Molecular targets and impact of turmeric on lifestyle diseases.
Fig. 1  Molecular targets and impact of turmeric on lifestyle diseases.

BDNF, brain-derived neurotrophic factor; COX-2, cyclooxygenase-2; IL-1β, interleukin-1 beta; IκB, nuclear factor kappa B inhibitor alpha; LDL, low-density lipoprotein; NF-κB, nuclear factor kappa B; ROS, reactive oxygen species; Th1, T helper cell type 1; TNF-α, tumor necrosis factor alpha.

However, the use of turmeric for diabetes management remains “limited and inconclusive”, highlighting the need for further research.15

Ashwagandha (Withania somnifera (L.) Dunal)

Ashwagandha has been used for centuries in traditional Indian medicine, Ayurveda. Its root powder extract contains numerous alkaloids. It is known as an adaptogenic herb, aiding the body in coping with stress. Ashwagandha has also shown other health benefits, including improving sleep quality, reducing anxiety, and boosting immunity (Fig. 2).16 A randomized controlled trial demonstrated that Ashwagandha root extract supplementation significantly reduced stress, anxiety, and depression symptoms in individuals with chronic stress, highlighting its potential as a natural stress-management remedy.17 A recent review explored the potential of Ashwagandha for managing stress and anxiety. While acknowledging its promising effects, the review highlighted the need for extensive, long-term clinical trials to conclusively validate its efficacy and safety.18 A recent systematic review published in a scientific journal specializing in herbal medicine found the evidence supporting Ashwagandha’s effectiveness in managing diabetes to be weak. The review highlights the need for further research to fully explore its potential benefits in this area.19

Ashwagandha: from molecule to lifestyle management.
Fig. 2  Ashwagandha: from molecule to lifestyle management.

GABA: gamma-aminobutyric acid is a neurotransmitter that helps to calm the nervous system.

Indian gooseberry (Emblica officinalis Gaertn)

Indian gooseberry is a rich source of vitamin C, antioxidants, and other nutrients. It has been used for centuries in traditional Indian medicine, Ayurveda, to treat and prevent a variety of diseases. It is available in various forms, including fresh fruit, powder, capsules, and extracts. It can be eaten fresh, added to food or drinks, or taken as a supplement. This versatile and nutritious fruit offers a wide range of health benefits (Fig. 3), including boosting immunity, improving heart health, protecting against cancer, enhancing digestion, promoting healthy skin and hair, reducing inflammation, and improving brain function.20 A study reported that Indian gooseberry oil reduced body fat mass and improved metabolic parameters in obese individuals, suggesting its potential as a natural weight loss agent.21 A review highlighted the potential of Indian gooseberry for managing diabetes due to its antioxidant and anti-inflammatory properties. However, the authors also cautioned that the evidence was primarily based on pre-clinical studies, and more clinical research was needed.22 A meta-analysis found that Indian gooseberry supplementation demonstrated some beneficial effects on blood sugar levels in diabetes patients, but the authors emphasized the need for larger and well-designed studies to confirm the findings.22

Indian gooseberry (Emblica officinalis).
Fig. 3  Indian gooseberry (Emblica officinalis).

Aloe vera (Aloe barbadensis miller)

Aloe vera is a succulent plant native to the Arabian Peninsula but now grown in many parts of the world. It is known for its medicinal properties and is often used to treat skin conditions, burns, and digestive problems. Aloe vera contains a variety of compounds with anti-inflammatory, antimicrobial, and wound-healing properties (Fig. 4). The gel from the aloe vera leaf is commonly used to treat skin conditions such as eczema, psoriasis, and sunburn. Aloe vera gel can also be used to treat digestive problems such as constipation and ulcers. Aloe vera is available in a variety of forms, including gel, juice, capsules, and powder, and can be applied topically to the skin or taken internally.23

Aloe vera: potential benefits for lifestyle diseases.
Fig. 4  Aloe vera: potential benefits for lifestyle diseases.

Neem (Azadirachta indica A. Juss)

Neem is a versatile herb with a wide range of health benefits (Fig. 5), including its potential to lower inflammation, control diabetes, and combat cancer. Singh et al. focuses on neem’s dermatological applications, highlighting the anti-inflammatory, antibacterial, and antioxidant activities that make it suitable for treating skin disorders.24

Neem (Azadirachta indica): potential benefits in managing lifestyle diseases.
Fig. 5  Neem (Azadirachta indica): potential benefits in managing lifestyle diseases.

Flaxseed (Linum usitatissimum L.)

Flaxseed is a popular nutraceutical in India, known for its richness in omega-3 fatty acids, alpha-linolenic acid, fiber, protein, vitamins, and minerals, including vitamin E, magnesium, and calcium (Fig. 6). Flaxseed is available in various forms, such as whole seeds, ground seeds, oil, and capsules, and can be consumed as part of the diet, as a supplement, or applied topically to the skin. Numerous studies have highlighted its antioxidant, anti-inflammatory, and antibacterial properties, along with its potential in preventing and controlling cardiovascular disease, obesity, diabetes, and cancer. Numerous clinical trials have confirmed that flaxseed consumption can have positive effects on cardiovascular health, diabetes, dyslipidemia, and metabolic syndrome.25,26 A meta-analysis found that omega-3 fatty acids from flaxseed supplementation significantly reduced low-density lipoprotein cholesterol levels and improved blood pressure in individuals with coronary artery disease, highlighting its potential for cardiovascular protection.27

Flaxseed: A seed of potential for managing lifestyle diseases.
Fig. 6  Flaxseed: A seed of potential for managing lifestyle diseases.

SDG, secoisolariciresinol diglucoside.

Cinnamon (Cinnamomum zeylanicum Blume)

The spice cinnamon (inner bark) from the genus Cinnamomum, has been identified as a potential antioxidant and insulin sensitizer. Cinnamon has been used in traditional Indian medicine for centuries for a variety of conditions, including diabetes, heart disease, and obesity (Fig. 7). Several randomized clinical studies and meta-analyses have validated the therapeutic role in decreasing blood glucose and improving lipid profiles.28 A study revealed that cinnamon supplementation for 12 weeks significantly reduced body weight and waist circumference among individuals with obesity.29

Cinnamon: sweet spice with potential health benefits.
Fig. 7  Cinnamon: sweet spice with potential health benefits.

Green tea (Camellia sinensis (L.) Kuntze)

Green tea has been consumed throughout the ages in India, China, Japan, and Thailand. It is extracted from the leaves of Camellia sinensis, which contains thousands of bioactive ingredients. Green tea is an excellent source of water-soluble polyphenol antioxidants. The main catechins in green tea are epicatechin, epicatechin-3-gallate, epigallocatechin, and epigallocatechin-3-gallate. India ranks among the largest consumers of green tea globally. Scientific evidence from India supports the use of green tea for preventing and treating lifestyle diseases. For example, a study found that green tea consumption was associated with a lower risk of heart disease in Indian adults. Green tea is also used in India to address various lifestyle diseases, including obesity, cancer, and Alzheimer’s disease (Fig. 8). However, more research is needed to confirm its effectiveness for these conditions.30,31

Green tea’s potential benefits in managing lifestyle diseases.
Fig. 8  Green tea’s potential benefits in managing lifestyle diseases.

LDL, low-density lipoprotein.

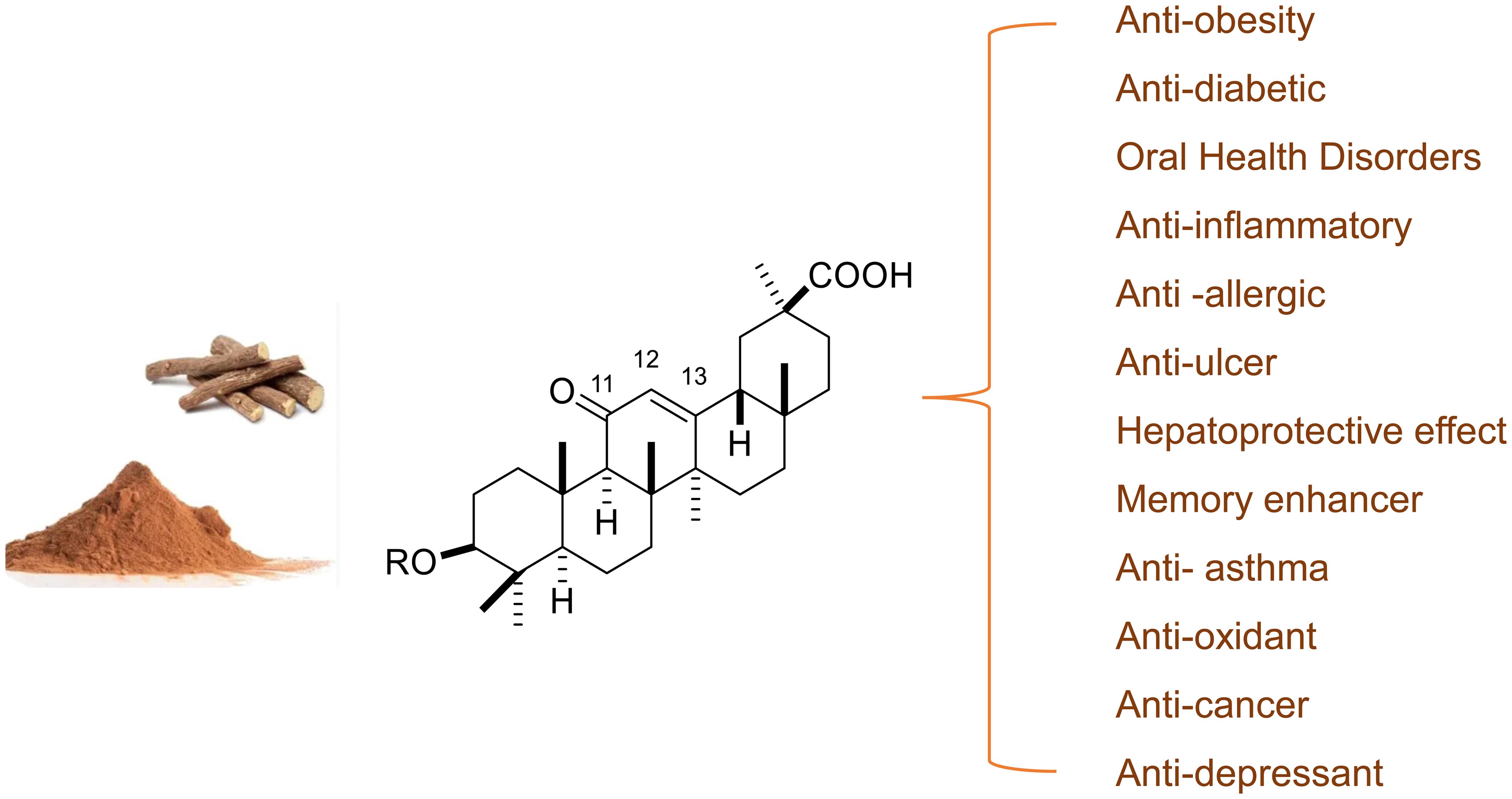
Licorice (Glycyrrhiza glabra L.)

Licorice, known as Mulethi in India, has a rich history in traditional medicine. This flowering plant, native to Eurasia, has been used for centuries in Ayurveda to address various ailments, particularly respiratory issues, digestive problems, and skin conditions. Its primary bioactive compound, glycyrrhizin, contributes to its sweetness and potential health benefits. Licorice is believed to possess anti-inflammatory, immune-boosting, and neuroprotective properties (Fig. 9). Traditionally consumed as tea, powder, or extract, licorice shows promise in managing various lifestyle diseases like obesity, heart disease, diabetes, and potentially even cancer, due to its anti-inflammatory, antioxidant, and antimicrobial properties. However, further research is necessary to solidify these potential benefits and ensure the safety of long-term licorice use.32

Licorice (Glycyrrhiza glabra) and its effects on lifestyle diseases.
Fig. 9  Licorice (Glycyrrhiza glabra) and its effects on lifestyle diseases.

Garlic (Allium sativum L.)

Garlic, a bulbous spice with a sharp and peppery flavor, has been regarded as an important Indian spice since the 6th century BC. The potential health benefits of garlic are attributed to various bioactive compounds, including allicin, a sulfur-containing compound responsible for its characteristic odor (Fig. 10). Garlic may help lower blood pressure and cholesterol levels, and reduce the risk of blood clots, potentially reducing the risk of heart disease and stroke. Some studies suggest garlic may improve blood sugar control and insulin sensitivity in individuals with type 2 diabetes. Garlic contains various bioactive compounds with antioxidant and anti-inflammatory properties, which may benefit overall health and potentially reduce the risk of chronic diseases. Garlic may contribute to a healthy immune system, potentially aiding in fighting infections.33

Chemistry of garlic (allium sativum).
Fig. 10  Chemistry of garlic (allium sativum).

Other herbal-based nutraceuticals

A study found that supplementation with berberine (natural alkaloid), a compound found in Indian barberry (Berberis aristata DC), significantly reduced fasting blood sugar and HbA1c levels in individuals with type 2 diabetes, suggesting its potential as a natural anti-diabetic agent. Studies show that berberine works similarly to certain oral diabetes medications by activating 5′ adenosine monophosphate-activated protein kinase, a key enzyme involved in glucose metabolism.34 Another study reported that Gymnema sylvestre, an Ayurvedic herb containing gymnemic acids, has shown potential in regulating blood sugar levels by inhibiting the absorption of glucose in the intestines. Studies have also shown that fenugreek supplementation can improve glycemic control and reduce HbA1c levels in individuals with type 2 diabetes.35 Fenugreek is an herb and a rich source of galactomannan, a soluble fiber that slows down the digestion of carbohydrates and helps regulate blood sugar levels.36

Potential impact of herbal-based nutraceuticals on gut microbiota

The gut microbiota, a complex ecosystem of trillions of microorganisms residing in the intestines, plays a crucial role in human health. Emerging research suggests a strong link between its composition and various health conditions. Lifestyle diseases such as diabetes, heart disease, and obesity are directly linked to imbalances in gut microbiota diversity and function.37 Further, conditions like inflammatory bowel disease and irritable bowel syndrome are associated with altered gut microbiota composition. A balanced gut microbiota strengthens the immune system, while dysbiosis can contribute to increased susceptibility to infections and autoimmune diseases. Herbal-based nutraceuticals, derived from plants and used for their health benefits, are gaining popularity as potential modulators of gut microbiota. Emerging research suggests that certain herbs may positively influence gut microbiota composition, potentially leading to improved health outcomes.38

Studies have shown that certain herbs, such as turmeric, flaxseed, and chicory root, exhibit prebiotic properties, which are non-digestible fibers that serve as food for beneficial gut bacteria. Prebiotics promote the growth and activity of bacteria, such as Bifidobacteria and Lactobacillus, known for their positive effects on gut health and immune function. Herbs with prebiotic properties or immunomodulatory effects may influence the overall gut microbial community, potentially shifting it towards a more health-promoting composition. This can have cascading effects on various physiological processes linked to lifestyle diseases.39,40

Some herbs, like neem, possess antibacterial properties that can help regulate the growth of potentially harmful gut bacteria associated with inflammation and metabolic dysfunction.41 It is crucial to note that indiscriminate use of these herbs can also harm beneficial bacteria, highlighting the importance of proper dosage and guidance from healthcare professionals. Herbs like ashwagandha possess immunomodulatory properties, potentially influencing the gut immune system and indirectly impacting gut microbiota composition to reduce inflammation associated with dysbiosis.42 Certain herbs, such as green tea, contain polyphenols that may exert anti-inflammatory and antioxidant effects in the gut, potentially creating a favorable environment for beneficial bacteria. Recent research also shows that both ginger and an herbal preparation called Triphala may help improve gut barrier function, which plays a critical role in regulating nutrient absorption and preventing the entry of harmful substances into the bloodstream. Triphala consists of three fruits: Emblica officinalis (Amalaki), Terminalia bellerica (Bibhitaki), and Terminalia chebula (Haritaki).43

The potential impact of herbal-based nutraceuticals on gut microbiota opens exciting avenues for managing lifestyle diseases. Further investigations are warranted to elucidate the precise mechanisms underlying these potential benefits and to establish optimal herbal interventions for promoting gut health and mitigating the risk of lifestyle disease. It is important to acknowledge that the gut microbiota is a complex ecosystem influenced by various factors beyond herbal interventions. Individual dietary habits, lifestyle choices, and existing health conditions can also play a significant role.

Growing awareness and consumption

A shift in perception

The Indian population has undergone a drastic shift in lifestyle, leading to a noticeable growth in health consciousness among people. These changes have created a favorable environment for exploring the acceptability and adoption of herbal-based nutraceuticals as practical and cost-effective solutions. Indian consumers are increasingly recognizing the potential benefits of herbal-based nutraceuticals, leading to a surge in their popularity and consumption. This shift reflects a growing awareness of the benefits of natural remedies and the desire for alternative approaches to health management.

There is a considerable prevalence of lifestyle diseases in the Indian population, including diabetes, hypertension, obesity, and cardiovascular diseases. Furthermore, systematic reviews have revealed that a significant proportion of individuals in India actively use herbal-based nutraceuticals as part of their lifestyle disease management. The majority of them considered their health outcomes to have improved as a result. Meta-analysis also revealed a particular use of herbal-based nutraceuticals as part of lifestyle disease management strategies. It has been demonstrated that factors such as gender, age, marital status, and place of residence

Finally, the widespread use of herbal-based nutraceuticals highlights India’s rising interest in and acceptance of alternative and complementary healthcare. Not all herbal-based nutraceuticals are created equal. It is important to choose high-quality supplements from reputable brands. Herbal-based nutraceuticals can interact with other medications, so it is important to talk to a doctor before taking them. Herbal-based nutraceuticals are not a substitute for a healthy diet and lifestyle. It is important to eat a healthy diet, exercise regularly, and manage stress to effectively manage lifestyle diseases.

Specific considerations for the Indian population

The Indian diet exhibits diversity and complexity, influenced by regional variations that impact nutrient intake. Acknowledging this diversity is crucial when assessing the effectiveness of herbal interventions. Additionally, the Indian population has a genetic predisposition to certain lifestyle diseases, necessitating tailored interventions that consider individual risk factors and potential interactions with herbal remedies. Integrating traditional knowledge and practices into the research and development process can contribute to the development of culturally appropriate and effective therapies.

Conclusion

India boasts a rich tradition of utilizing herbal remedies for various ailments, with knowledge and practices passed down through several generations. Compared to conventional medications, herbal remedies are often readily available and affordable, particularly in rural areas with limited healthcare access. Many herbal remedies are perceived to have fewer side effects compared to pharmaceutical drugs, making them attractive to individuals seeking natural solutions.

Despite numerous studies on herbal remedies, many lack robust methodologies and rigorous scientific standards, making it challenging to draw definitive conclusions about their efficacy. Standardization of herbal products remains a significant concern. Variations in potency, purity, and processing can lead to inconsistent results and raise safety concerns. Insufficient regulatory frameworks governing the production and quality control of herbal products can lead to adulteration and contamination, posing risks to consumers. Research on herbal remedies often overlooks traditional knowledge and practices, potentially neglecting valuable insights and hindering evidence-based approaches.

Rigorous clinical trials with standardized protocols are key to verifying the effectiveness and safety of herbal-based nutraceuticals. Additionally, ensuring consistency and quality through robust standardization practices is crucial to promote patient safety and trust. Collaborative research bridging traditional knowledge and modern science can pave the way for developing effective and sustainable therapies. Enhancing public awareness about the potential benefits and limitations of these remedies is essential for responsible use and informed decision-making. By exploring herbal-based nutraceuticals alongside established medical practices, we can move towards a more holistic and sustainable approach to managing lifestyle diseases in India, paving the way for a healthier and brighter future.

Declarations

Acknowledgement

The author thanks the respondents who participated in the study enthusiastically.

Funding

The author gratefully acknowledges DST-CURIE, Department of Science and Technology, New Delhi for financial support through sanction number DST/CURIE-PG/2022/10 (G).

Conflict of interest

The author has no conflict of interest to declare.

Authors’ contributions

AS is the sole author of the manuscript.

References

  1. Tariq MNM, Stojanovska L, Dhaheri ASA, Cheikh Ismail L, Apostolopoulos V, Ali HI. Lifestyle Interventions for Prevention and Management of Diet-Linked Non-Communicable Diseases among Adults in Arab Countries. Healthcare (Basel) 2022;11(1):45 View Article PubMed/NCBI
  2. World Health Organization. Fact sheet WHO 2022. Available from: https://www.who.int/teams/noncommunicable-diseases View Article PubMed/NCBI
  3. Ziglio E, Currie C, Rasmussen VB. The WHO cross-national study of health behavior in school aged children from 35 countries: findings from 2001–2002. J School Health 2004;74(6):204-206 View Article PubMed/NCBI
  4. Suryakumar M, Rajkamal SV, Jageerkhan MN. Perception and preference towards siddha medicines during COVID-19 in Tamil Nadu. J Parm Negat Results 2023;14(2):31-38 View Article PubMed/NCBI
  5. Palanivel N, Vishnu Priya V, Gayathri R. Awareness on ayurvedic medicine for healthy lifestyle among South Indian population A survey. J Res Med Dent Sci 2020;8(7):212-219 View Article PubMed/NCBI
  6. Vidyalaxmi P, Shrikanth P, Naik S. A Review on Trends of Herb Market in India. AYUSHDHARA 2022;8(6):3709-3711 View Article PubMed/NCBI
  7. Deshpande M. Study of current market scenario and marketing prospects against changing attitude of consumers towards buying of Ayurvedic medicines in India. Int J Bus Manag 2015;4(6):48-54 View Article PubMed/NCBI
  8. Sharma P. Customer preference and perception for Ptanjali products with special reference to the household in district Mathura (UP), India. Int J Sci Res Publ 2020;9(3):171-175 View Article PubMed/NCBI
  9. Jawla S, Gupta A, Singla R, Gupta V. General wareness and relative popularity of Allopathy, Ayurvedic and Homeopathic systems. J Chem Pharm Res 2008;1(1):105-112 View Article PubMed/NCBI
  10. Jain S, Sharma K, Khadke M. Consumer Behavior towards Functional Foods in India- A Study of Market Drivers & Challenges. IOSR J Bus Manag 2014:33-40 View Article PubMed/NCBI
  11. Kaur A. Historical background of usage of turmeric: A review. Journal of Pharmacognosy and Phytochemistry 2019;8(1):2769-2771 View Article PubMed/NCBI
  12. Singh A. Advanced Pharmacological Uses of Medicinal Plants and Natural Products. US: IGI Global Publication; 2020, 235-248 View Article PubMed/NCBI
  13. Vafaeipour Z, Razavi BM, Hosseinzadeh H. Effects of turmeric (Curcuma longa) and its constituent (curcumin) on the metabolic syndrome: An updated review. J Integr Med 2022;20(3):193-203 View Article PubMed/NCBI
  14. Raina K, Kumari R, Thakur P, Sharma R, Singh R, Thakur A, et al. Mechanistic role and potential of Ayurvedic herbs as anti-aging therapies. Drug Metab Pers Ther 2023;38(3):211-226 View Article PubMed/NCBI
  15. Hewlings SJ, Kalman DS. Curcumin: A Review of Its Effects on Human Health. Foods 2017;6(10):92 View Article PubMed/NCBI
  16. Smith SJ, Lopresti AL, Fairchild TJ. Exploring the efficacy and safety of a novel standardized ashwagandha (Withania somnifera) root extract (Witholytin®) in adults experiencing high stress and fatigue in a randomized, double-blind, placebo-controlled trial. J Psychopharmacol 2023;37(11):1091-1104 View Article PubMed/NCBI
  17. Wadhwa R, Kaul SC. Experimental evidence to the untapped potential of Ayurvedic herb, Ashwagandha: Bench-to-Bedside. Int J Ayurveda Res 2023;4(1):15-27 View Article PubMed/NCBI
  18. Nowak A, Bogusz K, Baran N, Maksymowicz M, Bielak A, Nowak A, et al. Benefits of Withania somnifera (Ashwagandha) supplementation in obesity. Journal of Education, Health and Sport 2023;35(1):11-22 View Article PubMed/NCBI
  19. Witte K, Wolk K, Witte-Händel E, Krause T, Kokolakis G, Sabat R. Targeting Metabolic Syndrome in Hidradenitis Suppurativa by Phytochemicals as a Potential Complementary Therapeutic Strategy. Nutrients 2023;15(17):3797 View Article PubMed/NCBI
  20. Gandhi Y, Grewal J, Jain V, Rawat H, Mishra SK, Kumar V, et al. Emblica officinalis: A promising herb confining versatile applications. S Afr J Bot 2023;159:519-531 View Article PubMed/NCBI
  21. Dahiya V, Vasudeva N, Sharma S, Kumar A, Rowley D. Lead Anti-Obesity Compounds from Nature. Endocr Metab Immune Disord Drug Targets 2020;20(10):1637-1653 View Article PubMed/NCBI
  22. Muzaffar K, Sofi SA, Makroo HA, Majid D, Dar BN. Insight about the biochemical composition, postharvest processing, therapeutic potential of Indian gooseberry (amla), and its utilization in development of functional foods-A comprehensive review. J Food Biochem 2022;46:e14132 View Article PubMed/NCBI
  23. Elaıbı H, Mutlag F, Al-Ebey ZK. A comprehensive review of Aloe vera: Multifaceted health benefits and anti-diabetic properties. J Res Chem 2023;4(2):14-21 View Article PubMed/NCBI
  24. Singh V, Roy M, Garg N, Kumar A, Arora S, Malik DS. An Insight into the Dermatological Applications of Neem: A Review on Traditional and Modern Aspect. Recent Adv Antiinfect Drug Discov 2021;16(2):94-121 View Article PubMed/NCBI
  25. Manimurugan C, Sujatha M, Rathnakumar AL, Sandhanalakshmi M, Zanwar AA. Role of flaxseed (Linum usitatissimum L.) in disease prevention and treatment. Asian Pac J Trop Biomed 2023;13(7):277-286 View Article PubMed/NCBI
  26. Shayan M, Kamalian S, Sahebkar A, Tayarani-Najaran Z. Flaxseed for Health and Disease: Review of Clinical Trials. Comb Chem High Throughput Screen 2020;23(8):699-722 View Article PubMed/NCBI
  27. Wang T, Zhang X, Zhou N, Shen Y, Li B, Chen BE, et al. Association Between Omega-3 Fatty Acid Intake and Dyslipidemia: A Continuous Dose-Response Meta-Analysis of Randomized Controlled Trials. J Am Heart Assoc 2023;12(11):e029512 View Article PubMed/NCBI
  28. Keramati M, Musazadeh V, Malekahmadi M, Jamilian P, Jamilian P, Ghoreishi Z, et al. Cinnamon, an effective anti-obesity agent: Evidence from an umbrella meta-analysis. J Food Biochem 2022;46(8):e14166 View Article PubMed/NCBI
  29. Mousavi SM, Rahmani J, Kord-Varkaneh H, Sheikhi A, Larijani B, Esmaillzadeh A. Cinnamon supplementation positively affects obesity: A systematic review and dose-response meta-analysis of randomized controlled trials. Clin Nutr 2020;39(1):123-133 View Article PubMed/NCBI
  30. Sarma A, Bania R, Das MK. Green tea: Current trends and prospects in nutraceutical and pharmaceutical aspects. J Herb Med 2023;41:100694 View Article PubMed/NCBI
  31. Asbaghi O, Rezaei Kelishadi M, Larky DA, Bagheri R, Amirani N, Goudarzi K, et al. The effects of green tea extract supplementation on body composition, obesity-related hormones and oxidative stress markers: a grade-assessed systematic review and dose-response meta-analysis of randomised controlled trials. Br J Nutr 2024;131(7):1125-1157 View Article PubMed/NCBI
  32. Sharma R, Singla RK, Banerjee S, Sharma R. Revisiting Licorice as a functional food in the management of neurological disorders: Bench to trend. Neurosci Biobehav Rev 2023;155:105452 View Article PubMed/NCBI
  33. Gadidala SK, Johny E, Thomas C, Nadella M, Undela K, Adela R. Effect of garlic extract on markers of lipid metabolism and inflammation in coronary artery disease (CAD) patients: A systematic review and meta-analysis. Phytother Res 2023;37(6):2242-2254 View Article PubMed/NCBI
  34. Xu X, Yi H, Wu J, Kuang T, Zhang J, Li Q, et al. Therapeutic effect of berberine on metabolic diseases: Both pharmacological data and clinical evidence. Biomed Pharmacother 2021;133:110984 View Article PubMed/NCBI
  35. Sandech N, Jangchart R, Komolkriengkrai M, Boonyoung P, Khimmaktong W. Efficiency of Gymnema sylvestre-derived gymnemic acid on the restoration and improvement of brain vascular characteristics in diabetic rats. Exp Ther Med 2021;22(6):1420 View Article PubMed/NCBI
  36. Hannan JM, Ali L, Rokeya B, Khaleque J, Akhter M, Flatt PR, Abdel-Wahab YH. Soluble dietary fibre fraction of Trigonella foenum-graecum (fenugreek) seed improves glucose homeostasis in animal models of type 1 and type 2 diabetes by delaying carbohydrate digestion and absorption, and enhancing insulin action. Br J Nutr 2007;97(3):514-21 View Article PubMed/NCBI
  37. Irshad A, Rasane P, Gurumayum S, Singh J, Kaur S, Patel AS, et al. Interaction of Human Gut Microflora with Commonly Consumed Herbs and Spices: A Review. Curr Nutr Food Sci 2024;20(3):317-330 View Article PubMed/NCBI
  38. Zoghi S, Sadeghpour Heravi F, Nikniaz Z, Shirmohamadi M, Moaddab SY, Ebrahimzadeh Leylabadlo H. Gut microbiota and childhood malnutrition: Understanding the link and exploring therapeutic interventions. Eng Life Sci 2024;24(5):2300070 View Article PubMed/NCBI
  39. Bertuccioli A, Cardinali M, Biagi M, Moricoli S, Morganti I, Zonzini GB, et al. Nutraceuticals and Herbal Food Supplements for Weight Loss: Is There a Prebiotic Role in the Mechanism of Action?. Microorganisms 2021;9(12):2427 View Article PubMed/NCBI
  40. Sudheer S, Gangwar P, Usmani Z, Sharma M, Sharma VK, Sana SS, et al. Shaping the gut microbiota by bioactive phytochemicals: An emerging approach for the prevention and treatment of human diseases. Biochimie 2022;193:38-63 View Article PubMed/NCBI
  41. Gupta A, Ansari S, Gupta S, Narwani M, Gupta M, Singh M. Therapeutics role of neem and its bioactive constituents in disease prevention and treatment. Journal of Pharmacognosy and Phytochemistry 2019;8(3):680-691 View Article PubMed/NCBI
  42. Gasmi A, Shanaida M, Oleshchuk O, Semenova Y, Mujawdiya PK, Ivankiv Y, et al. Natural Ingredients to Improve Immunity. Pharmaceuticals (Basel) 2023;16(4):528 View Article PubMed/NCBI
  43. Tiwana G, Cock IE, Cheesman MJ. A Review of Ayurvedic Principles and the use of Ayurvedic Plants to Control Diarrhoea and Gastrointestinal Infections. Pharmacognosy Communications 2023;13(4):152-162 View Article PubMed/NCBI

About this Article

Cite this article
Singh A. Herbal-based Nutraceuticals in Management of Lifestyle Diseases: Experience from Indian Population. Future Integr Med. 2024;3(2):106-115. doi: 10.14218/FIM.2023.00055.
Copy Export to RIS Export to EndNote
Article History
Received Revised Accepted Published
July 30, 2023 March 5, 2024 April 22, 2024 June 20, 2024
DOI http://dx.doi.org/10.14218/FIM.2023.00055