Home
JournalsCollections
For Authors For Reviewers For Editorial Board Members
Article Processing Charges Open Access
Ethics Advertising Policy
Editorial Policy Resource Center
Company Information Contact Us Membership Collaborators Partners
OPEN ACCESS

Bear Bile Powder Inhibits the Release of NLRP3 by Activating the cAMP/PKA/CREB Signaling Pathway to Treat Dextran Sulfate Sodium-induced Colitis in Mice

  • Huiling Tian1,2,#,
  • Long Cheng1,2,#,
  • Yunhui Liang1,2 and
  • Yongshen Ren1,* 
Future Integrative Medicine   2024;3(2):87-98

doi: 10.14218/FIM.2024.00009

Received:

Revised:

Accepted:

Published online:

 Author information

Citation: Tian H, Cheng L, Liang Y, Ren Y. Bear Bile Powder Inhibits the Release of NLRP3 by Activating the cAMP/PKA/CREB Signaling Pathway to Treat Dextran Sulfate Sodium-induced Colitis in Mice. Future Integr Med. 2024;3(2):87-98. doi: 10.14218/FIM.2024.00009.

Abstract

Background and objectives

Ulcerative colitis (UC) is a chronic autoimmune disease that mainly affects the rectum and colon. The symptoms primarily include abdominal pain, diarrhea, and bloody stools. The incidence of UC continues to increase each year. Bear bile powder (BBP) is a well-known traditional medicine that remains in use due to its outstanding efficacy. This study aimed to elucidate the therapeutic effects and molecular mechanisms of BBP on dextran sulfate sodium (DSS)-induced UC.

Methods

DSS-induced UC model mice were created and then randomly assigned to the following groups: control, DSS-treated, 5-amino salicylic acid-treated, BBP low dose, and BBP high dose. Treatment was administered by gavage. Disease activity index, body weight loss, colon histopathology, colon length, and the expression of inflammatory cytokines were measured. Samples of the intestinal content were collected, and differences in the gut microbiota were analyzed by 16S rDNA sequencing.

Results

The experimental results demonstrated that BBP significantly alleviated the symptoms and histopathological scores in UC mice, reduced the production of interleukin-6, interleukin-1β, tumor necrosis factor-α, malondialdehyde, nitric oxide, and myeloperoxidase, and upregulated the expression of cyclic adenosine monophosphate (cAMP), protein kinase A, and cAMP-response element binding protein. Moreover, 16S rRNA sequencing revealed that the gut microbiota of mice in the DSS-treated group was disordered compared to the control group. The abundance of gut microbiota in the treatment groups improved to varying degrees.

Conclusions

Together, these results indicate that BBP significantly improves the inflammatory symptoms of mice with acute colitis, which may be related to its upregulation of the cAMP/protein kinase A/cAMP-response element binding protein signaling pathway, inhibition of NOD-like receptor thermal protein domain associated protein 3 inflammasome secretion, and regulation of gut microbiota.

Keywords

Bear bile powder, Ulcerative colitis, Bile acids, Gut microbiota, Inflammasome, NLRP3

Introduction

Ulcerative colitis (UC) is a chronic disease characterized by pain, diarrhea, and blood stool. At present, the etiology of UC is unclear; however, genetic, immune, environmental, and psychological factors, as well as intestinal mucosal barrier function, inflammation, and gut microbiota, may contribute to its development.1 The incidence of UC has continued to increase, especially in developing countries.2,3 Currently, the clinical treatment of UC mostly involves the use of aminosalicylic acid, glucocorticoids, biological agents, etc.4 However, the long-term issue of these agents can result in systemic adverse reactions. Although biological agents are effective in the short term, their costs and the risk of immunosuppression are significant concerns.5

Scholars are increasingly interested in using traditional Chinese medicine for the treatment of inflammatory bowel disease (IBD). Bear bile powder (BBP) is a preparation obtained by freeze-drying the bile of black bears.6 Chemically, it is mainly composed of bile acids (BAs), with tauroursodeoxycholic acid, ursodeoxycholic acid (UDCA), and deoxycholic acid (DCA) being its main active ingredients. Studies have found that tauroursodeoxycholic acid and UDCA can reduce intestinal inflammatory response and oxidative stress, thereby alleviating intestinal symptoms.7 In traditional Chinese medicine, BBP is used to protect the liver and improve eyesight.8 Modern pharmacological studies have shown that BBP has heat-clearing, detoxifying, anti-acute pneumonia, and anti-inflammatory effects.9,10

Cyclic adenosine monophosphate (cAMP) is a classical second messenger that mediates many important signaling pathways.11 Research has indicated that increased levels of cAMP reduced inflammation in rats with colitis, while lower colonic cAMP levels in UC patients result in abnormal production of inflammatory intestinal cytokines.12 Many studies have highlighted the importance of cAMP-response element binding protein (CREB) in UC, showing that activation of protein kinase A (PKA) leads to phosphorylation and upregulation of CREB.13 This, in turn, decreases inflammatory factors and upregulates the expression of anti-inflammatory signals. PKA further activates the downstream CREB, which undergoes nuclear translocation into the nucleus, thus regulating the cellular response. It inhibits the release of the inflammasome NOD-like receptor thermal protein domain associated protein 3 (NLRP3). In one study, activating the vasoactive intestinal peptide/cAMP/PKA pathway improved the diversity of the gut microbiota and protected the intestinal barrier, effectively alleviating experimental colitis.14 A gut ecological imbalance, defined as a state of microbial imbalance, is considered an important pathogenic factor in many diseases.15 An intestinal ecological imbalance is closely related to IBD. It has been demonstrated that the gut microbial community is a crucial link in the host’s physiological and pathological processes. The gastrointestinal tract is home to the largest number of bacteria in the body. BAs are the end products of cholesterol catabolism. The gut microbiota undergoes multiple BA biotransformation reactions, and the composition and abundance of the gut microbiota are sequentially influenced by BAs.16

Currently, few studies have examined the treatment of UC with BBP, and the underlying mechanism of action remains elusive. Therefore, this study aimed to explore the protective effects of BBP on DSS-induced UC in mice and elucidate its molecular mechanisms.

Materials and methods

Materials

Bear bile powder (20210405, Zixi Kangrentang Biological Development Co., Ltd., Zixi, Jiangxi province, China); tumor necrosis factor-α (TNF-α), interleukin-1β (IL-1β), interleukin-6 (IL-6) assay kits (Nanjing Jiancheng Institute of Biological Engineering, batch numbers 23913119104, 42574412547, 32565248754); total superoxide dismutase (T-SOD), malondialdehyde (MDA), myeloperoxidase (MPO), nitric oxide (NO) assay kits (Nanjing Jiancheng Institute of Biological Engineering, batch numbers 20211019, 20211019, 20211019, 20210926); 5-Aminosalicylic acid (mass fraction ≥99%, Shanghai Aladdin Biotechnology Co., Ltd., batch number F2103090); Dextran sulfate sodium salt (mass fraction ≥99%, Shanghai Aladdin Biotechnology Co., Ltd., batch number: F2014198). Antibodies: cAMP (12009-1-AP); NLRP3 (DF7502); ACTIN (GB15001); HRP goat anti-rabbit (GB23303); HRP goat anti-mouse (GB25301). Instrumentation: PL-203 electronic balance (Mettler-Toledo Instruments (Shanghai) Co., Ltd.); frozen centrifuge (Hunan Kaida Scientific Instruments Co., Ltd.); full-wavelength enzyme standardizer (Thermo Fisher); IMS automatic snowflake ice machine (Changshu Xueke Electric Co., Ltd.), etc.

Animals

Eight-week-old SPF grade C57BL/6 mice, weighing 18–22 g, were purchased from Liaoning Changsheng Biotechnology Co., Ltd. (2107162111089). The mice were housed in the Experimental Animal Center of South-Central Minzu University under SPF-grade barrier facilities and standard environmental conditions (temperature 22 ± 2°C, humidity 40–60%, 12 h light/dark cycle). The mice were allowed free access to water and food throughout the experiment. The animals were acclimatized and fed for seven days before the experiment commenced. All experimental protocols in this study were approved by the Institutional Animal Care and Use Committee of South-Central Minzu University (2020-SCUEC-023). All animal experiments conformed to the Management Rules of the Chinese Ministry of Health and were performed in accordance with the guidelines from Directive 2010/63/EU of the European Parliament on the protection of animals used for scientific purposes.

Before the DSS intervention, the model mice were established and randomly divided into groups: control (NC), DSS-treated, 5-Amino salicylic acid (5-ASA)-treated (100 mg/kg), BBP low dose (BBP-L, 100 mg/kg), and BBP high dose (BBP-H, 150 mg/kg). Eight mice were assigned to each group.

Induction of colitis

As shown in Figure 1, all groups, except for the NC group, were provided with 3% DSS drinking for seven days.17 The treatment groups were intragastrically administered 5-ASA or BBP for 10 days. Mice were sacrificed by CO2 inhalation or cervical dislocation at desired time-points, and all efforts were made to minimize suffering.

Experimental design and general conditions of the animals.
Fig. 1  Experimental design and general conditions of the animals.

BBPH, bear bile powder high dose; BBPL, bear bile powder low dose; DSS, dextran sulfate sodium; NC, normal control; 5-ASA, 5-Amino salicylic acid.

Assessment of the disease activity index

During the experimental period, the Disease Activity Index (DAI) was employed as a quantitative indicator to assess the severity of colitis damage.18 Daily monitoring and recording of body weight loss, fecal characteristics, and hematochezia were performed. The DAI was calculated based on established parameters (Table 1).19

Table 1

Scoring standard of the disease activity index

ScoreWeight lossBlood in stoolConsistency of stool
0No weight lossNormalNo bleeding
11–5%Slight bleedingSemiloose stool
25–10%Slight bleedingMild diarrhea
310–15%Gross bleedingLiquid stool
4>15%Gross bleedingLiquid stool

Colonic length and splenic index measurements

After the mice were sacrificed, the colon and spleen tissues were collected, and the length of the colon was measured, photographed, and recorded. The spleen dry-to-wet ratio was recorded. The spleen index was calculated as follows20: spleen index (mg/g) = spleen mass/mouse body mass.

Histological analysis of the colon

Firstly, the mice were dissected, and the colonic tissues of each group were collected. Secondly, colonic tissues were soaked in 4% paraformaldehyde for 72 h, embedded in paraffin, and sectioned, stained with hematoxylin and eosin staining solution, dried, sealed, microscopically examined, and scored. The scoring included the degree of intestinal epithelial cell damage and inflammatory infiltration to evaluate the degree of colonic tissue damage (Table 2).21

Table 2

Histopathological scoring criteria

Demerit pointsHistopathology score
0Normal form/no inflammation
1Minor loss of cup cells/minimal inflammatory infiltration
2Large cupped cell deficiency and moderate inflammatory infiltration of the mucosal layer
3Partial absence of saphenous fossa and extensive inflammatory infiltration/mucosal edema thickening of the mucosal muscle layer
4Large saphenous defect/extensive inflammatory infiltration of the submucosa

Cytokines analysis by enzyme-linked immunosorbent assay (ELISA)

Colon tissue was obtained and homogenized thoroughly on ice using an electric homogenizer at a weight-to-volume ratio of 1 g (tissue): 9 ml (PBS, pH 7.4). ELISA kits were used to detect TNF-α, IL-1β, and IL-6 according to instructions.

Oxidative stress index assay

Using ELISA kits and following the provided instructions, T-SOD, MDA, and MPO levels in the colonic tissue, as well as NO levels in the serum, were measured.

16S rRNA sequencing

Following the extraction of total DNA from colon stool samples, primers were designed to target conserved regions. A sequencing junction was added to the end of the primers to facilitate PCR amplification. Subsequently, the amplified products were purified, quantified, and homogenized to construct a sequencing library. The constructed library was first subjected to quality control. The qualified library was sequenced by Illumina NovaSeq 6000. The raw image data files obtained from high-throughput sequencing were transformed into Sequenced Reads by Base Calling analysis, and the results were stored in FASTQ (fq for short) file format, which contains sequence information of sequenced sequences (Reads) and their corresponding sequencing quality information. Based on the Illumina NovaSeq sequencing platform, a Paired-End library was constructed and paired for sequencing. The species composition of the sample was revealed by filtering, clustering or de-noising, species annotation, and abundance analysis of Reads.

Western blot analysis

For the western blot assay, a whole-cell lysis kit (KeyGene BioTech, China) was used to extract proteins from the colonic tissue samples. The protein concentrations were determined using a BCA kit (KeyGene BioTech, China). Equal amounts of protein were separated on 10% SDS-PAGE gels and subsequently transferred to PVDF membranes (Merck Millipore, Germany). Following this, the membranes were blocked with 5% skim milk for 1 h, then incubated with primary antibodies at 4 °C overnight, followed by secondary antibodies for 1 h. Detection was performed with enhanced chemiluminescence (BioRad, USA). Blots were quantified using Image Lab software.

Statistical analysis

All data are expressed as the mean ± standard deviation. Statistical analysis was performed using SPSS 21.0 software. Group differences were assessed using one-way ANOVA. P-values less than 0.05 were considered statistically significant (*p < 0.05, **p < 0.01).

Results

BBP ameliorates DSS-induced colitis

Mice were orally administered 3% DSS water to induce UC, serving as an acute inflammatory model. The effect of BBP on DSS-induced colitis was evaluated by weight loss (Fig. 2a), the DAI score (Fig. 2b), colon length (Fig. 2c-d), and histopathological analysis of the colon tissue (Fig. 2e). The average weight of the NC group showed a stable increasing trend, while the DSS-treated group started to lose weight on day 3. The weight of the BBP-treated group increased compared to the DSS-treated group. Compared to the NC group, the DAI score of the model group was significantly increased from day 3, and the colon became extensively congested and edematous, exhibiting shortening. The DAI of the BBP-treated group was significantly lower than the model group starting from day 5, and the BBP treatment significantly inhibited the shortening of the colon compared to the DSS-treated group. Compared to the NC group, the DSS-treated group showed pathological changes in the colon, with damaged or even apoptotic intestinal epithelial cells, reduced cupped cells and intestinal glands, crypt abscesses, and massive infiltration of inflammatory cells in the lamina propria and submucosa. The BBP treatment alleviated these pathological changes in colon tissue. Significant differences were observed in all treated groups, and the histological scores were lower than those of the DSS-treated group. The BBP-L and BBP-H groups exhibited similar effects.

BBP effectively alleviates the symptoms of DSS-induced colitis.
Fig. 2  BBP effectively alleviates the symptoms of DSS-induced colitis.

(a) Body weight changes. (b) DAI score. (c) Representative photograph of the colon. (d) Length of colonic in experimental mice. (e) Representative images of colon pathologic damages with hematoxylin and eosin (H&E) staining, 200× magnification, and histological score (#p < 0.05, ##p < 0.01, ###p < 0.001 versus normal; *p < 0.05, **p < 0.01, ***p < 0.001 versus DSS model). BBPH, bear bile powder high dose; BBPL, bear bile powder low dose; DSS, dextran sulfate sodium; NC, normal control; 5-ASA, 5-Amino salicylic acid.

Splenic index

UC is considered an autoimmune disease. Research has demonstrated that the weight of the spleen increases with the aggravation of inflammation.22 In this study, there was a significant increase in the spleen index in the DSS-treated group compared to the NC group (p < 0.01), indicating that the spleen, the immune organ, of mice in the colitis DSS-treated group showed a decline. Compared to the DSS-treated group, there was a significant decrease in the spleen index in the 5-ASA-treated, BBP-L, and BBP-H groups (p <0.01), indicating significant protective effects of the treatments on the immune organs of mice with colitis (Fig. 3). Among them, the BBP-H group exhibited the best effect compared to the BBP-L and 5-ASA-treated groups.

Spleen coefficient of mice (#<italic>p</italic> < 0.05, ##<italic>p</italic> < 0.01, ###<italic>p</italic> < 0.001 versus normal; *<italic>p</italic> < 0.05, **<italic>p</italic> < 0.01, ***<italic>p</italic> < 0.001 versus DSS model).
Fig. 3  Spleen coefficient of mice (#p < 0.05, ##p < 0.01, ###p < 0.001 versus normal; *p < 0.05, **p < 0.01, ***p < 0.001 versus DSS model).

BBPH, bear bile powder high dose; BBPL, bear bile powder low dose; DSS, dextran sulfate sodium; NC, normal control; 5-ASA, 5-Amino salicylic acid.

BBP suppresses the release of inflammatory cytokines in UC mice

Inflammatory injury is the main pathological feature of UC. IL-1β, TNF-α, and IL-6 are pro-inflammatory factors that may be increased in UC.23 As shown in Figure 4, the main pro-inflammatory cytokines TNF-α, IL-1β, and IL-6 were detected by ELISA. Compared to the NC group, the levels of TNF-α, IL-1β, IL-6, and other pro-inflammatory cytokines were significantly higher in the DSS-treated group. The levels of these pro-inflammatory cytokines were significantly lower in the BBP administration groups compared to the DSS-treated group, indicating that BBP has an anti-inflammatory effect in the treatment of UC. The BBP-L and BBP-H groups exhibited similar effects.

Levels of inflammatory factors in experimental mice.
Fig. 4  Levels of inflammatory factors in experimental mice.

(a) IL-6; (b) TNF-α; (c) IL-1β (#p < 0.05, ##p < 0.01 versus normal; *p < 0.05, **p < 0.01 versus DSS model). BBPH, bear bile powder high dose; BBPL, bear bile powder low dose; DSS, dextran sulfate sodium; IL-1β, interleukin-1β; IL-6, interleukin-6; NC, normal control; TNF-α, tumor necrosis factor-α; 5-ASA, 5-Amino salicylic acid.

BBP decreased oxidative stress in DSS-induced colitis mice

Studies have shown that oxidative stress is closely related to the pathogenesis of colitis. As shown in Figure 5, the NO, MPO activity, and MDA content were significantly increased (p < 0.01), and the T-SOD activity was significantly decreased (p < 0.01) in the DSS-treated group compared to the NC group. Compared to the DSS-treated group, the BBP group showed a significant decrease in the MDA content and the NO and MPO activities, and a significant increase in T-SOD activity (p < 0.01). This indicates that BBP can effectively alleviate the oxidative stress level of DSS-induced colitis mice. The BBP-L and BBP-H groups exhibited similar effects.

The effect of BBP on oxidative stress in DSS-induced colitis mice.
Fig. 5  The effect of BBP on oxidative stress in DSS-induced colitis mice.

(a) T-SOD, (b) NO, (c)MPO, (d)MDA. (#p < 0.05, ##p < 0.01, ###p < 0.001 versus normal; *p < 0.05, **p < 0.01, ***p < 0.001 versus DSS model). BBPH, bear bile powder high dose; BBPL, bear bile powder low dose; DSS, dextran sulfate sodium; MDA, malondialdehyde; MPO, myeloperoxidase; NC, normal control; NO, nitric oxide; T-SOD, total superoxide dismutase; 5-ASA, 5-Amino salicylic acid.

BBP upregulation the cAMP/PKA/CREB signaling pathway to inhibit the expression of the NLRP3 inflammasome

As shown in Figure 6, the protein expression levels of cAMP, PKA, CREB, and p-CREB in the UC model mice induced by DSS were significantly reduced, and the NLRP3 inflammasome was activated. However, after the 5-ASA and BBP treatments, the protein expression levels were significantly increased. This indicated that BBP can inhibit the activation of the NLRP3 inflammasome by upregulating the cAMP/PKA/CREB protein pathway to exert its anti-colitis effect.

BBP regulates protein expression in colon tissue of UC mice.
Fig. 6  BBP regulates protein expression in colon tissue of UC mice.

(a) cAMP/PKA/CREB expression of protein, (b) NLRP3 protein expression. #p < 0.05, ##p < 0.01 versus normal; *p < 0.05, **p < 0.01, ***p < 0.001 versus DSS model versus DSS model. BBPH, bear bile powder high dose; BBPL, bear bile powder low dose; cAMP, cyclic adenosine monophosphate; CREB, cAMP-response element binding protein; DSS, dextran sulfate sodium; NC, normal control; PKA, protein kinase A; 5-ASA, 5-Amino salicylic acid.

The effect of BBP on the abundance and diversity of the intestinal microbiota

In recent years, it has become evident that the intestinal flora plays a role in intestinal immunity.16 Further, recent research has demonstrated that an imbalance in the gut microbiota is a crucial mechanism implicated in the pathogenesis of colitis.24 Therefore, we wondered whether BBP can regulate the gut microbiota to induce its anti-colitis effect. Accordingly, 16SrRNA analysis of the microbiota was performed on the intestinal contents of the experimental mice to investigate the possible mechanism underlying the effect of BBP in the treatment of UC.

As shown in Figure 7, compared to the NC group, the Shannon and Simpson indices of the UC group showed decreasing trends, but there were no statistically significant differences (p > 0.05). Compared to the DSS-treated group, the Shannon and Simpson indices of the BBP treatment group exhibited upward trends, but there were no significant differences (p > 0.05).

Alpha diversity boxplot (note: the horizontal axis represents the group name, and the vertical axis represents the corresponding Alpha diversity index).
Fig. 7  Alpha diversity boxplot (note: the horizontal axis represents the group name, and the vertical axis represents the corresponding Alpha diversity index).

(a) Simpson’s index (The P value between each group is p > 0.05), (b) Shannon’s index (The P value between each group is p > 0.05). BBP, bear bile powder; DSS, dextran sulfate sodium; NC, normal control.

Next, beta diversity analysis was performed to evaluate the similarity of the mouse gut microbiota community. Principal component analysis, principal coordinates analysis, and non-metric multi-dimensional scaling are important indicators of beta diversity. Here, the weighted UniFrac algorithm based on the out number was utilized to analyze the beta diversity of the samples. Principal component analysis and principal coordinates analysis showed that compared to mice in the DSS-treated group, the intestinal microflora composition of mice in the BBP treatment group showed significant changes (Fig. 8). The longer the distance between the different groups, the greater the difference in the intestinal microflora. In the non-metric multi-dimensional scaling analysis, stress < 0.05 indicates that the data are highly representative. Thus, it can be seen that the microbial communities of the NC and DSS-treated groups were significantly separated, while the microbial communities of the NC and BBP groups were closer.

β-diversity evaluated using the weighted UniFrac-based.
Fig. 8  β-diversity evaluated using the weighted UniFrac-based.

(a) PCA, (b) PCoA. (c) NMDS. BBP, bear bile powder; DSS, dextran sulfate sodium; NC, normal control; NMDS, non-metric multi-dimensional scaling; PCA, principal component analysis; PCoA, principal coordinates analysis.

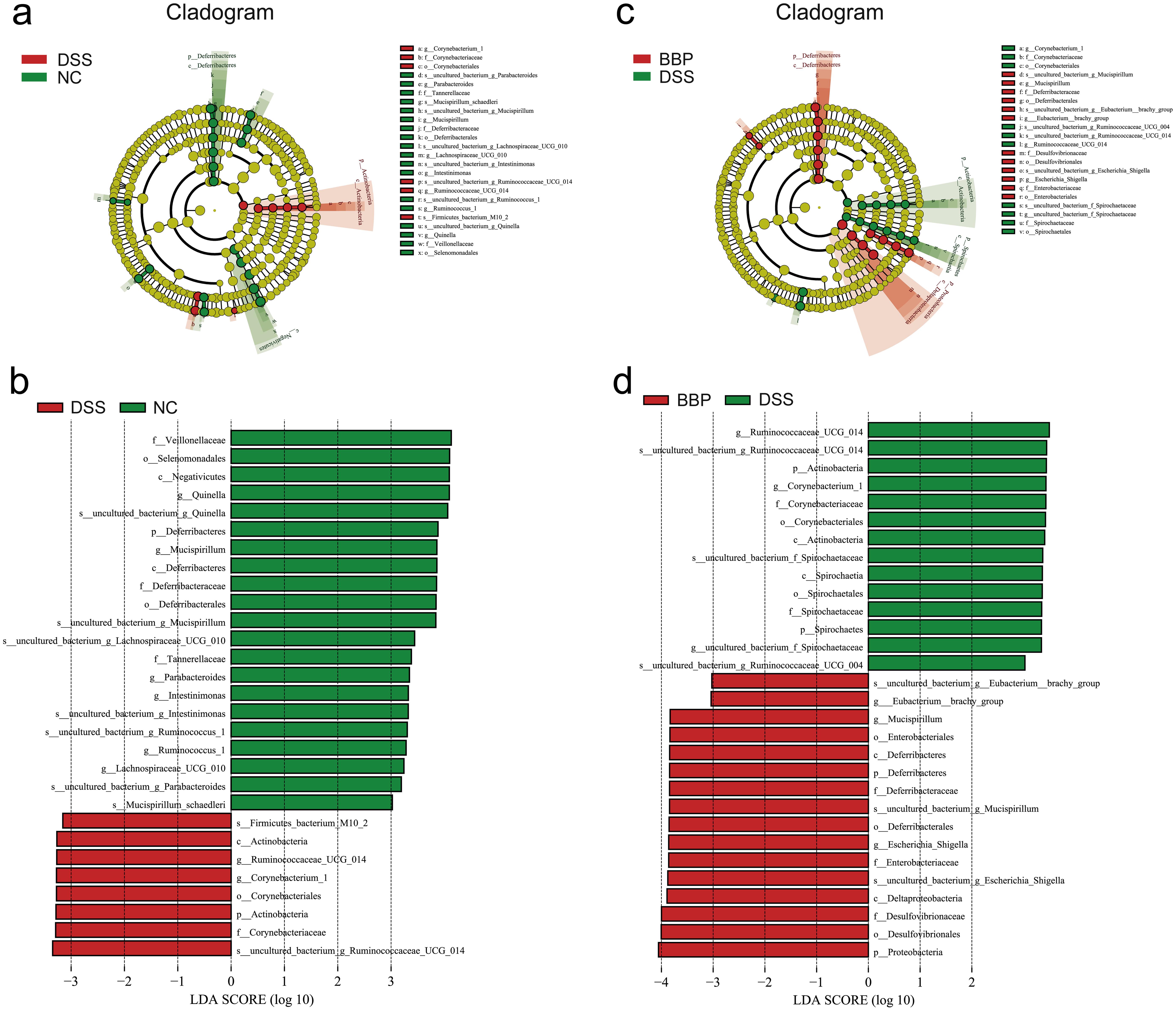
LEfSe analysis was performed to identify the bacterial communities.25 The differences in the abundance of microbial communities were analyzed from the phylum to species level. As shown in Figure 9, linear discriminant analysis combined with effect quantity measurement was performed to analyze the differential microbiota in colitis mice. The results showed that Parabacteroides and Mucispirllum were the main dominant bacterial groups in the NC group compared with the DSS-treated group. Mucispirillum antagonizes the virulence of Salmonella to protect mice against colitis,26 while parabacteroides exert a positive regulatory influence on glucose and lipid metabolism.27 Therefore, DSS changed the composition of intestinal flora in mice. The comparison between the BBP group and the DSS-treated group showed that the main differential dominant bacteria in the BBP group were Mucispirillum and Eubacterium. Corynebacterium and Ruminococcaeae were the main differential bacteria in the DSS-treated group. Eubacterium plays a pivotal role in the body’s nutritional metabolism, maintenance of intestinal homeostasis, and metabolism of BAs and cholesterol.28 Corynebacterium was found to be enriched in the duodenum of food-responsive diarrhea dogs pre-treatment.29 Active IBD is usually accompanied by an increase in Ruminococcus gnavus,30 inducing dendritic cells to secrete TNF-α. This result indicates an increase in harmful bacterial components in the DSS-treated group, while the main advantage of the BBP treatment group is the beneficial bacterial community, indicating that bear bile powder has the effect of regulating the composition of intestinal microbiota.

Cladogram based on LEfSe analysis showing community composition of the gut microbiota in mice.
Fig. 9  Cladogram based on LEfSe analysis showing community composition of the gut microbiota in mice.

(a–b) Comparison of Lefse Analysis between DSS and NC Groups. (c–d) Comparison of Lefse Analysis between BBP and DSS-treated groups). BBP, bear bile powder; DSS, dextran sulfate sodium; NC, normal control.

Discussion

UC is a chronic intestinal, mainly characterized by recurrent and persistent chronic non-specific inflammatory changes of the mucosa and submucosa. The main pathological processes include excessive apoptosis of the intestinal epithelium, infiltration of inflammatory cells, disruption of the intestinal microenvironment, bacterial infection, and eventually, recurrent ulceration. Effective treatment strategies for UC aim to inhibit the apoptosis of colonic epithelial cells, promote the repair of damaged mucosa, and reduce the infiltration of inflammatory cells. 5-ASA is a classical drug for the treatment of UC. It is taken orally and works by inhibiting lipid oxidase and cyclooxygenase, thereby interfering with arachidonic acid.

This inhibition reduces the synthesis of lipoxygenase and cyclooxygenase, exerting anti-inflammatory effects and alleviating intestinal pathology. DSS can destroy the integrity of intestinal epithelial cells and break the mechanical barrier of the intestine, which can induce acute UC. The DSS UC mouse model, characterized by certain immunological and histopathological akin to human UC, has been extensively employed in preclinical studies due to its reproducibility and controllability.31–33 In this experiment, an injury model of UC in mice was established through DSS administration.

BBP is a well-known traditional Chinese medicine with heat-clearing, detoxification, and anti-inflammatory effects.10,34 Its main active ingredient is lithocholic acid (LCA), which is often reduced in IBD patients.35 Research has shown that both LCA and UDCA can alleviate colitis.36 Currently, BBP is used in numerous Chinese patent medicines included in the Chinese Pharmacopoeia and serves as a major ingredient in clinical practice. In this study, we comprehensively investigated the therapeutic effects of BBP on UC and its potential underlying mechanisms.

In the present experiment, mice in the DSS-treated group exhibited symptoms similar to those of UC patients, including diarrhea, blood in the stools, inflammatory infiltration, weight loss, and colonic ulceration. In contrast, the mice in the BBP treatment group exhibited significant improvements in macroscopic damage, such as reduced blood in the stools, diarrhea, weight loss, and colon shortening, suggesting a potential anti-colitis effect of BBP. In addition, the mechanism underlying DSS-induced intestinal inflammation is closely associated with epithelial cell layer damage and abnormal alterations in colonic inflammatory mediators. In the present experiment, BBP effectively reduced the infiltration of inflammatory cells in colonic tissues and decreased the apoptosis of the colonic epithelium, thereby reducing the inflammatory response, preserving colon length, and alleviating colitis symptoms.

An increase in oxygen free radicals (OFR) is an important factor in the local inflammatory response and damage to the colonic mucosal tissue in UC. Low levels of SOD and high levels of NO in the body are key pathogenic factors in DSS-induced colitis. When the inflammatory response occurs in the intestine, increases in tissue OFR and lipid peroxides occur, indicating lipid peroxidation. The end product of lipid peroxidation is MDA, so increases in OFR and MDA indicate an increase in oxidative reactions in the body. SOD, an important antioxidant enzyme in the antioxidant system, can block the action of OFR and prevent lipid peroxidation, effectively protecting cell membranes. Thus, SOD activity can be used as an important indicator of the antioxidant capacity of the body. The MPO level in tissues provides a direct assessment of the content of neutrophils in that tissue, which is positively correlated with the severity of UC.37 The findings of the current study indicated that the T-SOD level was lower and NO, MDA, and MPO levels were higher in the DSS-treated group compared with the NC group, suggesting an increased oxidative response and inflammatory cell infiltration. BBP significantly increased antioxidation and reduced colitis cell infiltration. Thus, the results of the present study suggest that continuous treatment with BBP significantly reduces the severity of colonic injury and oxidative stress damage induced by DSS.

The abnormal immune response of UC is mainly manifested as an imbalance in cytokine release, including an increase in pro-inflammatory factors and a decrease in anti-inflammatory factors.38,39 IL-6 is a glycoprotein involved in inflammatory response and inflammatory cell chemotaxis. IL-1β, secreted by macrophages, lymphocytes, and monocytes, can induce the expression of TNF-α and other inflammatory factors, promoting an inflammatory response in the body. IL-1β is secreted by macrophages, lymphocytes, and monocytes, which can induce the expression of TNF-α and other inflammatory factors, promoting the inflammatory response.40 The results of this study demonstrated that the levels of pro-inflammatory factors IL-6, IL-1β, and TNF-α were significantly increased in mice in the DSS-treated group compared with the NC group. However, these levels were significantly decreased in the treatment group compared with the DSS-treated group, indicating that BBP has a strong anti-inflammatory effect in UC, comparable to the effect in the 5-ASA-treated group.

The gut microbiota is closely related to UC,41 and dysbiosis of the gut microbiota affects the intestinal mucosal environment.40 The results of this experiment showed that harmful bacterial components increased in the DSS-treated group, while the main dominant bacterial group in the BBP treatment group was beneficial bacteria, indicating that bear bile powder regulates the composition of intestinal microbiota. Research to date has shown a close relationship between BA metabolism and the gut microbiota, as well as the progression of IBD.16 BBP, as a BA drug, contains BAs as its main active ingredients. We speculate that BBP’s regulation of the gut microbiota may be related to the BA components of BBP; however, the specific connection and mechanism require further in-depth research. In summary, we believe that the efficacy of BBP in the treatment of colitis may be closely related to its promotion of the mutual conversion between BAs and intestinal flora and the regulation of the intestinal flora composition. However, further research is still needed.

Recent studies have shown that the cAMP/PKA/P-CREB signaling pathway has an inhibitory effect on the inflammasome NLRP3. Recent studies have shown that NLRP3 inflammasome, mucosal immune response, and intestinal homeostasis exhibit complex interactions.42 Further, studies have demonstrated that cAMP-specific PDE4 can significantly inhibit cytokines of various inflammatory cells, including macrophages, neutrophils, and intestinal epithelial cells.43,44 The results showed that compared with the NC group, the protein expression levels of cAMP, PKA, and P-CREB were significantly reduced in the DSS-treated group, while the expression of NLRP3 inflammasome protein was significantly increased. Compared with the DSS-treated group, the expression of cAMP, PKA, and P-CREB proteins was significantly increased in the BBP treatment group, while the expression of NLRP3 inflammasome protein was significantly reduced.

The experimental results in this study suggest that the potential mechanism by which BBP exerts its anti-colitis effects may be related to the upregulation of the cAMP/PKA/CREB signaling pathway, which then inhibits the expression of NLRP3 inflammasome-related proteins. In another study, LCA inhibited the activation of the NLRP3 inflammasome through the Takeda-G-protein-receptor-5 (TGR5)-cAMP-PKA axis, thereby improving the development of inflammation. TGR5 is a BA receptor located on the cell membrane that participates in regulating metabolism and inflammation. BAs can activate the TGR5 receptor to upregulate adenosine-activating enzyme activity,45 increase intracellular cAMP levels, and activate the cAMP/PKA/CREB signaling pathway. However, BBP contains a large amount of BA components such as UDCA. Therefore, we speculate that the effects of BBP may also be related to the activation of the cAMP/PKA/CREB signaling pathway by the BA components of BBP. Nonetheless, experimental validation of this hypothesis is needed. At present, research shows that the cAMP/PKA/CREB signaling pathway can be activated by BA receptors, and the gut microbiota is also regulated by BAs. There may be potential connections among them, requiring further in-depth research.

Conclusion

This study examined the anti-colitis effect of BBP. The findings showed that BBP effectively reduced inflammatory cell infiltration, decreased the inflammatory response, inhibited apoptosis of colonic epithelium, regulated the gut microbiota, increased the cAMP/PKA/CREB signaling pathway, and reduced the release of the NLRP3 inflammasome in a mouse model of UC. These findings suggest that BBP may serve as a new treatment approach for UC, warranting further research and promotion. While these findings offer an experimental basis for the development of new anti-UC drugs, more studies are needed to be elucidated.

Declarations

Acknowledgement

None.

Ethical statement

All animal experimental procedures were performed in accordance with the Ethical Experimentation Committee of South-Central Minzu University and the National Act on Use of Experimental Animals (Permission ID: 2020-SCUEC-023). The study was approved by the Institutional Animal Care and Use Committee of South-Central Minzu University, and all animals received human care in accordance with the guidelines from Directive 2010/63/EU of the European Parliament. Mice were sacrificed by CO2 inhalation or cervical dislocation at desired time-points, and all efforts were made to minimize suffering.

Data sharing statement

The datasets used and analyzed during the current study are available from the corresponding author upon reasonable request.

Funding

This work was supported by National Natural Science Foundation of China grants (No. 81773893); Hubei Province Key R&D Program (No. 2020BED017); Jiangxi Province “Thousand Talents Plan” of Scientific and Technological Innovation (No. JXSQ2019201105).

Conflict of interest

The authors declare no conflict of interest for this study.

Authors’ contributions

Study concept and design (YR, HT), acquisition of data (HT, LC), analysis and interpretation of data (HT, LC), drafting of the manuscript (HT), critical revision of the manuscript for important intellectual content (YR, HT, LC, YL), administrative, technical, or material support (YR, YL), and study supervision (YR). All authors have made significant contributions to this study and have approved the final manuscript.

References

  1. Ordás I, Eckmann L, Talamini M, Baumgart DC, Sandborn WJ. Ulcerative colitis. Lancet 2012;380(9853):1606-1619 View Article PubMed/NCBI
  2. Jie F, Xiao S, Qiao Y, You Y, Feng Y, Long Y, et al. Kuijieling decoction suppresses NLRP3-Mediated pyroptosis to alleviate inflammation and experimental colitis in vivo and in vitro. J Ethnopharmacol 2021;264:113243 View Article PubMed/NCBI
  3. Prideaux L, Kamm MA, De Cruz PP, Chan FK, Ng SC. Inflammatory bowel disease in Asia: a systematic review. J Gastroenterol Hepatol 2012;27(8):1266-1280 View Article PubMed/NCBI
  4. Yan PG, Li JN. [The standard diagnosis and treatment of ulcerative colitis]. Zhonghua Nei Ke Za Zhi 2021;60(6):567-570 View Article PubMed/NCBI
  5. Li M, Yeung K. Managing high-priced biologic agents: challenges and potential solutions. J Manag Care Spec Pharm 2021;27(3):411-414 View Article PubMed/NCBI
  6. Liu ZB, Ye X, Wu CJ, Wei DN. Bear Bile Powder Improves Ulcerative Colitis by Protecting the Intestinal Mechanical Barrier and Regulating Intestinal Flora. Curr Pharm Des 2024;30:1530-1540 View Article PubMed/NCBI
  7. Li S, Tan HY, Wang N, Hong M, Li L, Cheung F, et al. Substitutes for Bear Bile for the Treatment of Liver Diseases: Research Progress and Future Perspective. Evid Based Complement Alternat Med 2016;2016:4305074 View Article PubMed/NCBI
  8. Fernández-Sánchez L, Lax P, Noailles A, Angulo A, Maneu V, Cuenca N. Natural Compounds from Saffron and Bear Bile Prevent Vision Loss and Retinal Degeneration. Molecules 2015;20(8):13875-13893 View Article PubMed/NCBI
  9. Chen DX, Chu JF, Lin S, Zhang L, Chen HW, Sun ZW, et al. Therapeutic Effects of Different Animal Bile Powders on Lipid Metabolism Disorders and Their Composition Analysis. Chin J Integr Med 2022;28(10):918-923 View Article PubMed/NCBI
  10. Wang LY, Gao X, Tong ZL, Wang XG. Summary on pharmacological action and clinical study of the chemical composition of bear bile. Inform Tradit Chin Med 2005;22(4):30-33 View Article PubMed/NCBI
  11. Guo C, Xie S, Chi Z, Zhang J, Liu Y, Zhang L, et al. Bile Acids Control Inflammation and Metabolic Disorder through Inhibition of NLRP3 Inflammasome. Immunity 2016;45(4):802-816 View Article PubMed/NCBI
  12. Tan Q, Hu J, Zhou Y, Wan Y, Zhang C, Liu X, et al. Inhibitory Effect of Lactococcus lactis subsp. lactis HFY14 on Diphenoxylate-Induced Constipation in Mice by Regulating the VIP-cAMP-PKA-AQP3 Signaling Pathway. Drug Des Devel Ther 2021;15:1971-1980 View Article PubMed/NCBI
  13. Chao G, Zhang S. Aquaporins 1, 3 and 8 expression and cytokines in irritable bowel syndrome rats’ colon via cAMP-PKA pathway. Int J Clin Exp Pathol 2018;11(8):4117-4123 View Article PubMed/NCBI
  14. Yang GH, Li XX, Dong L, Xu CL, Ling L, Liu QH. Bifidobacterium Ameliorates Ulcerative Colitis in Mice by Modulating VIP/cAMP/PKA and mTOR Pathways (in Chinese). Progress in Modern Biomedicine 2022;22(20):3840-3847 View Article PubMed/NCBI
  15. Shreiner AB, Kao JY, Young VB. The gut microbiome in health and in disease. Curr Opin Gastroenterol 2015;31(1):69-75 View Article PubMed/NCBI
  16. Cai J, Sun L, Gonzalez FJ. Gut microbiota-derived bile acids in intestinal immunity, inflammation, and tumorigenesis. Cell Host Microbe 2022;30(3):289-300 View Article PubMed/NCBI
  17. Wirtz S, Popp V, Kindermann M, Gerlach K, Weigmann B, Fichtner-Feigl S, et al. Chemically induced mouse models of acute and chronic intestinal inflammation. Nat Protoc 2017;12(7):1295-1309 View Article PubMed/NCBI
  18. Xuan-Qing CHEN, Xiang-Yu LV, Shi-Jia LIU. Baitouweng decoction alleviates dextran sulfate sodium-induced ulcerative colitis by regulating intestinal microbiota and the IL-6/STAT3 signaling pathway. J Ethnopharmacol 2021;265:113357 View Article PubMed/NCBI
  19. Yang J, Liu XX, Fan H, Tang Q, Shou ZX, Zuo DM, et al. Extracellular Vesicles Derived from Bone Marrow Mesenchymal Stem Cells Protect against Experimental Colitis via Attenuating Colon Inflammation, Oxidative Stress and Apoptosis. PLoS One 2015;10(10):e0140551 View Article PubMed/NCBI
  20. Huang S, Wang X, Xie X, Su Y, Pan Z, Li Y, et al. Dahuang Mudan decoction repairs intestinal barrier in chronic colitic mice by regulating the function of ILC3. J Ethnopharmacol 2022;299:115652 View Article PubMed/NCBI
  21. Wang L, An J, Song S, Mei M, Li W, Ding F, et al. Electroacupuncture preserves intestinal barrier integrity through modulating the gut microbiota in DSS-induced chronic colitis. Life Sci 2020;261:118473 View Article PubMed/NCBI
  22. Fan L, Zuo S, Tan H, Hu J, Cheng J, Wu Q, et al. Preventive effects of pectin with various degrees of esterification on ulcerative colitis in mice. Food Funct 2020;11(4):2886-2897 View Article PubMed/NCBI
  23. Yuan SN, Wang MX, Han JL, Feng CY, Wang M, Wang M, et al. Improved colonic inflammation by nervonic acid via inhibition of NF-κB signaling pathway of DSS-induced colitis mice. Phytomedicine 2023;112:154702 View Article PubMed/NCBI
  24. Li F, Jiang C, Krausz KW, Li Y, Albert I, Hao H, et al. Microbiome remodelling leads to inhibition of intestinal farnesoid X receptor signalling and decreased obesity. Nat Commun 2013;4:2384 View Article PubMed/NCBI
  25. Wang T, Shi C, Wang S, Zhang Y, Wang S, Ismael M, et al. Protective Effects of Companilactobacillus crustorum MN047 against Dextran Sulfate Sodium-Induced Ulcerative Colitis: A Fecal Microbiota Transplantation Study. J Agric Food Chem 2022;70(5):1547-1561 View Article PubMed/NCBI
  26. Herp S, Brugiroux S, Garzetti D, Ring D, Jochum LM, Beutler M, et al. Mucispirillum schaedleri Antagonizes Salmonella Virulence to Protect Mice against Colitis. Cell Host Microbe 2019;25(5):681-694.e8 View Article PubMed/NCBI
  27. Wang K, Liao M, Zhou N, Bao L, Ma K, Zheng Z, et al. Parabacteroides distasonis Alleviates Obesity and Metabolic Dysfunctions via Production of Succinate and Secondary Bile Acids. Cell Rep 2019;26(1):222-235.e5 View Article PubMed/NCBI
  28. Mukherjee A, Lordan C, Ross RP, Cotter PD. Gut microbes from the phylogenetically diverse genus Eubacterium and their various contributions to gut health. Gut Microbes 2020;12(1):1802866 View Article PubMed/NCBI
  29. Kalenyak K, Isaiah A, Heilmann RM, Suchodolski JS, Burgener IA. Comparison of the intestinal mucosal microbiota in dogs diagnosed with idiopathic inflammatory bowel disease and dogs with food-responsive diarrhea before and after treatment. FEMS Microbiol Ecol 2018;94(2):fix173 View Article PubMed/NCBI
  30. Hall AB, Yassour M, Sauk J, Garner A, Jiang X, Arthur T, et al. A novel Ruminococcus gnavus clade enriched in inflammatory bowel disease patients. Genome Med 2017;9(1):103 View Article PubMed/NCBI
  31. Lin Y, Su J, Wang M, Li Y, Zhao Z, Sun Z. Hypericumsampsonii attenuates inflammation in mice with ulcerative colitis via regulation of PDE4/PKA/CREB signaling pathway. J Ethnopharmacol 2022;296:115447 View Article PubMed/NCBI
  32. Adams SM, Bornemann PH. Ulcerative colitis. Am Fam Physician 2013;87(10):699-705 View Article PubMed/NCBI
  33. Chassaing B, Aitken JD, Malleshappa M, Vijay-Kumar M. Dextran sulfate sodium (DSS)-induced colitis in mice. Curr Protoc Immunol 2014;104:15.25.1-15.25.14 View Article PubMed/NCBI
  34. Feng Y, Siu K, Wang N, Ng KM, Tsao SW, Nagamatsu T, et al. Bear bile: dilemma of traditional medicinal use and animal protection. J Ethnobiol Ethnomed 2009;5:2 View Article PubMed/NCBI
  35. Sinha SR, Haileselassie Y, Nguyen LP, Tropini C, Wang M, Becker LS, et al. Dysbiosis-Induced Secondary Bile Acid Deficiency Promotes Intestinal Inflammation. Cell Host Microbe 2020;27(4):659-670.e5 View Article PubMed/NCBI
  36. Ward JBJ, Lajczak NK, Kelly OB, O’Dwyer AM, Giddam AK, Ní Gabhann J, et al. Ursodeoxycholic acid and lithocholic acid exert anti-inflammatory actions in the colon. Am J Physiol Gastrointest Liver Physiol 2017;312(6):G550-G558 View Article PubMed/NCBI
  37. Martín AR, Villegas I, La Casa C, de la Lastra CA. Resveratrol, a polyphenol found in grapes, suppresses oxidative damage and stimulates apoptosis during early colonic inflammation in rats. Biochem Pharmacol 2004;67(7):1399-1410 View Article PubMed/NCBI
  38. Yadav V, Varum F, Bravo R, Furrer E, Bojic D, Basit AW. Inflammatory bowel disease: exploring gut pathophysiology for novel therapeutic targets. Transl Res 2016;176:38-68 View Article PubMed/NCBI
  39. Guan Q, Zhang J. Recent Advances: The Imbalance of Cytokines in the Pathogenesis of Inflammatory Bowel Disease. Mediators Inflamm 2017;2017:4810258 View Article PubMed/NCBI
  40. de Luca A, Smeekens SP, Casagrande A, Iannitti R, Conway KL, Gresnigt MS, et al. IL-1 receptor blockade restores autophagy and reduces inflammation in chronic granulomatous disease in mice and in humans. Proc Natl Acad Sci U S A 2014;111(9):3526-3531 View Article PubMed/NCBI
  41. Liu J, Fang H, Hong N, Lv C, Zhu Q, Feng Y, et al. Gut Microbiome and Metabonomic Profile Predict Early Remission to Anti-Integrin Therapy in Patients with Moderate to Severe Ulcerative Colitis. Microbiol Spectr 2023;11(3):e0145723 View Article PubMed/NCBI
  42. Zhen Y, Zhang H. NLRP3 Inflammasome and Inflammatory Bowel Disease. Front Immunol 2019;10:276 View Article PubMed/NCBI
  43. Raker VK, Becker C, Steinbrink K. The cAMP Pathway as Therapeutic Target in Autoimmune and Inflammatory Diseases. Front Immunol 2016;7:123 View Article PubMed/NCBI
  44. Li H, Li J, Zhang X, Feng C, Fan C, Yang X, et al. DC591017, a phosphodiesterase-4 (PDE4) inhibitor with robust anti-inflammation through regulating PKA-CREB signaling. Biochem Pharmacol 2020;177:113958 View Article PubMed/NCBI
  45. Baars A, Oosting A, Knol J, Garssen J, van Bergenhenegouwen J. The Gut Microbiota as a Therapeutic Target in IBD and Metabolic Disease: A Role for the Bile Acid Receptors FXR and TGR5. Microorganisms 2015;3(4):641-666 View Article PubMed/NCBI

About this Article

Cite this article
Tian H, Cheng L, Liang Y, Ren Y. Bear Bile Powder Inhibits the Release of NLRP3 by Activating the cAMP/PKA/CREB Signaling Pathway to Treat Dextran Sulfate Sodium-induced Colitis in Mice. Future Integr Med. 2024;3(2):87-98. doi: 10.14218/FIM.2024.00009.
Copy Export to RIS Export to EndNote
Article History
Received Revised Accepted Published
March 4, 2024 April 25, 2024 May 6, 2024 June 20, 2024
DOI http://dx.doi.org/10.14218/FIM.2024.00009