v
Search
Advanced

Publications > Journals > Journal of Clinical and Translational Hepatology> Article Full Text

  • OPEN ACCESS

Long-term Dynamic Virological Response Patterns and Clinical Outcomes in Hepatitis B Virus-related Cirrhosis: A Real-world 10-year Cohort Study

  • Yuwei Wang1,#,
  • Yaxin Li1,#,
  • Yueyang Yu1,
  • Lingna Lyu1,
  • Xueying Liang1,
  • Yangjie Li1,
  • Yanglan He1,
  • Yanna Liu1,
  • Keke Jin1,
  • Chunlei Fan1,
  • Yanjing Wu1,
  • Shanshan Wang2,
  • Steven Dooley3,
  • Ying Han1,* and
  • Huiguo Ding1,* 
 Author information 

Abstract

Background and Aims

The long-term clinical outcomes of patients with hepatitis B virus (HBV)-related cirrhosis receiving nucleos(t)ide analog (NA) therapy according to virological response patterns remain inadequately defined. This study aimed to investigate the association between virological response patterns and clinical outcomes in a large, long-term, real-world cohort.

Methods

This retrospective–prospective cohort study enrolled patients with HBV-related cirrhosis receiving NA therapy from 2009 to 2019. According to the serum HBV DNA levels during the initial two years of antiviral treatment, patients were categorized as having a complete (CVR) or partial virological response (PVR). Patients with CVR were further stratified according to their dynamic HBV DNA changes during follow-up into maintained virological response (MVR) or virological breakthrough (VBT) patterns. The primary clinical outcomes included hepatocellular carcinoma (HCC), acute-on-chronic liver failure, and liver-related death. Secondary endpoints included recompensation and progression to decompensation. Cox proportional hazards regression was used to assess the association between virological response patterns and clinical endpoints.

Results

In total, 1,869 patients were enrolled. During a median follow-up of seven years, the MVR, VBT, and PVR rates were 65.4%, 26.5%, and 8.1%, respectively. The cumulative serum hepatitis B surface antigen (HBsAg) clearance rate was 9.8%. Moreover, 34.9% of patients with HBsAg < 100 IU/mL at baseline experienced HBsAg clearance. Compared with patients with VBT and PVR, those with MVR had a lower five- and ten-year cumulative incidence of HCC in both the compensated (five-year: 10.1% vs. 17.0%; ten-year: 14.2% vs. 33.6%; P < 0.001) and decompensated cirrhosis subgroups (five-year: 19.5% vs. 36.7%; ten-year: 25.7% vs. 49.7%; P < 0.001). Similarly, patients with MVR also had a lower cumulative incidence of liver-related death. Additionally, a higher hepatic recompensation rate was observed in patients with MVR than in those with VBT (34.1% vs. 22.5%, P < 0.001). Importantly, patients achieving HBsAg clearance and undetectable serum HBV DNA levels (“functional cure” during ongoing NA therapy) had the lowest five- and ten-year cumulative incidence of HCC (3.9% and 8.7%, respectively).

Conclusions

Patients with long-term MVR exhibited a lower incidence of HCC and liver-related death in both compensated and decompensated HBV-related cirrhosis subgroups, especially those achieving “functional cure.” However, more than 30% of patients experienced PVR or VBT during long-term NA antiviral therapy. These findings highlight the importance of long-term, rigorous monitoring after initial CVR to optimize outcomes and support clinical decision-making.

Graphical Abstract

Keywords

Hepatitis B, Liver cirrhosis, Hepatocellular carcinoma, Acute-on-chronic liver failure, Mortality, Hepatic recompensation

Introduction

Hepatitis B virus (HBV) infection, a major global health burden, can lead to hepatic cirrhosis (annual incidence of 2.1%–6.0%),1 hepatocellular carcinoma (HCC; annual incidence of 3%–6% and a five-year cumulative incidence exceeding 20%),1,2 acute-on-chronic liver failure (ACLF), and portal hypertension complications. Although a favorable trend in hepatitis B mortality was observed between 1990 and 2019, a recent analysis indicated that this pace of decline remains insufficient, as persistent gaps in diagnosis and treatment continue to fuel the burden of advanced liver disease.3,4 Consequently, China faces formidable challenges in achieving the WHO’s goal of a 65% reduction in HBV-related mortality by 2030.3

Nucleos(t)ide analog (NA) therapy has become the cornerstone of chronic hepatitis B (CHB) treatment, achieving potent viral suppression, preventing hepatic histological progression, and reducing the incidence of adverse events.5–8 The effectiveness of NA treatment in achieving initial virological suppression and improving clinical outcomes is well established.9,10 However, the differences in long-term dynamic virological response patterns among patients receiving NA antiviral therapy in relation to clinical outcomes remain inadequately defined.

Therefore, this study aimed to investigate the associations between dynamic virological response patterns and clinical outcomes in a large, 10-year real-world cohort of patients with HBV-related cirrhosis.

Methods

Study population

This retrospective–prospective cohort included patients with HBV-related cirrhosis treated at Beijing You’an Hospital from January 2009 to December 2019. The inclusion criteria were as follows: age 18–75 years; confirmation of liver cirrhosis by histopathology or a composite of clinical criteria, including manifestations and signs of portal hypertension (such as esophagogastric varices, variceal bleeding, ascites, or hepatic encephalopathy), laboratory test abnormalities, abdominal imaging findings (ultrasonography or enhanced computed tomography/magnetic resonance imaging), or liver stiffness exceeding 20 kPa, in accordance with the Guidelines for the Prevention and Treatment of CHB (2022 Edition)11; chronic HBV infection, defined by current serum hepatitis B surface antigen (HBsAg) positivity; serum HBV DNA positivity at baseline and consecutive antiviral therapy with first-line NA (entecavir, tenofovir disoproxil fumarate (TDF), or tenofovir alafenamide); and at least two follow-up visits per year. The exclusion criteria were comorbid chronic liver diseases other than HBV and the development of HCC within six months of enrollment.

Clinical data

Patient data were collected from the electronic medical record system, including demographic characteristics, clinical and laboratory data, and imaging findings. Laboratory markers of liver function (alanine aminotransferase, aspartate aminotransferase, total bilirubin, and albumin) and renal function (blood urea nitrogen and creatinine) were measured using an automatic biochemical analyzer (AU5400, Olympus, Tokyo, Japan). Coagulation parameters (prothrombin time, thrombin time, and activated partial thromboplastin time) were measured using an automatic coagulation analyzer (ACLTOP 700, Beckman Coulter, USA) and presented as the international normalized ratio (INR). A full blood count was conducted using the XE-5000 instrument (Sysmex, Kobe, Japan). Serum HBV DNA levels were measured using either the Roche (Basel, Switzerland) Cobas/TaqMan qPCR assay (limit of detection [LOD] = 10 IU/mL) or the Roche magnetic bead–based HBV DNA viral load assay (LOD = 20 IU/mL). Serum HBsAg levels were quantified using a Roche E601 chemiluminescence analyzer (LOD: 0.05 IU/mL). The management of esophageal and gastric variceal bleeding, hepatic encephalopathy, ascites, hepatorenal syndrome, and spontaneous bacterial peritonitis in patients with cirrhosis and portal hypertension followed guideline recommendations.12–14

Definitions of virological response patterns

Complete virological response (CVR) was defined as undetectable serum HBV DNA levels or levels below the LOD, whereas partial virological response (PVR) was considered if HBV DNA remained detectable or above the LOD after the first two years of NA treatment.

Maintained virological response (MVR) was defined as serum HBV DNA levels remaining below the LOD or undetectable at any time during follow-up.

Virologic breakthrough (VBT) was defined as either serum HBV DNA becoming re-detectable or exceeding the LOD after CVR for at least three consecutive measurements during follow-up.15

“Functional cure” was defined as meeting the criteria for MVR and having serum HBsAg levels below the LOD (0.05 IU/mL, denoting HBsAg loss) for at least two consecutive measurements separated by a minimum interval of three months during ongoing NA therapy.

Follow-up and endpoints

Patients were followed at intervals of three to six months in the inpatient or outpatient department. The follow-up endpoints were the development of HCC or ACLF, liver-related in-hospital death, loss to follow-up, and the end of the study (December 31, 2024).

Diagnosis of clinical outcomes

The diagnosis of HCC was based on either liver histology or characteristic findings on dynamic contrast-enhanced computed tomography/magnetic resonance imaging in combination with serum levels of alpha-fetoprotein (AFP), AFP-L3, or protein induced by vitamin K absence or antagonist-II, in accordance with the China Liver Cancer Guidelines for the Diagnosis and Treatment of Hepatocellular Carcinoma (2024 Edition).16 If the clinical diagnosis of HCC was inconclusive, histological examination was imperative.

The diagnosis of ACLF was based on the Guideline for Diagnosis and Treatment of Liver Failure (2024 Edition)17 using the following criteria: INR ≥ 1.5 or prothrombin activity <40% and serum total bilirubin >12 mg/dL.

Hepatic recompensation was assessed according to the criteria of expanded Baveno VII,18 defined as having no complications of portal hypertension for ≥12 months (irrespective of the use of low-dose diuretics and/or lactulose/rifaximin), alongside stable liver function, defined as a Model for End-Stage Liver Disease score <10 and/or Child–Pugh class A (serum albumin >35 g/L, INR <1.50, and total bilirubin <34 µmol/L).19

Statistical analysis

Data were statistically analyzed using SPSS 26.0 (IBM, Armonk, NY, USA) and R 4.2.2 (The R Foundation for Statistical Computing, Vienna, Austria). Missing data were handled through multiple imputation via chained equations, with five imputations used to generate complete datasets. Normally distributed quantitative data were reported as the mean ± standard deviation. For two-group comparisons, the independent-sample Student’s t-test or Welch’s t-test was applied for data with homogeneous and heterogeneous variance, respectively. Similarly, for three-group comparisons, one-way ANOVA or Welch’s ANOVA was applied. Non-normally distributed data were expressed as the median (IQR) and analyzed using the Mann–Whitney U test for two-group comparisons and the Kruskal–Wallis test for comparisons across more than two groups. Categorical variables were presented as percentages (%) and assessed using the χ2 test or Fisher’s exact test.

The cumulative incidence of outcomes was plotted using Kaplan–Meier curves and compared by the log-rank test. The Benjamini–Hochberg method was used to adjust P-values for multiple pairwise comparisons. Associations between virological response patterns and outcomes were evaluated using Cox proportional hazards regression. A two-sided P < 0.05 was considered statistically significant.

Results

Baseline clinical characteristics

This study included 1,869 patients with HBV-related cirrhosis (Fig. 1). The mean patient age was 50.04 ± 10.87 years. The cohort included 1,302 men (69.7%), and 1,521 patients (81.4%) had decompensated cirrhosis. The baseline characteristics of the entire cohort are presented in Table 1 and Supplementary Tables 12.

Patient enrollment and flowchart.
Fig. 1  Patient enrollment and flowchart.

HBV, hepatitis B virus; NA, nucleoside analog; HCC, hepatocellular carcinoma.

Table 1

Baseline characteristics of all patients and patients stratified by dynamic virological response patterns

CharacteristicOverall (N = 1,869)MVR (n = 1,222)PVR (n = 151)VBT (n = 496)P
Demographics
  Age (years), mean ± SD50.04 ± 10.8749.73 ± 10.7851.53 ± 11.3050.09 ± 11.030.152
  Male, n (%)1,302 (69.7)828 (67.8)107 (70.9)367 (74.0)0.037
Cirrhosis status and complications
  Decompensated cirrhosis, n (%)1,521 (81.4)1,004 (82.2)125 (82.8)392 (79.0)0.272
  Ascites, n (%)1,047 (56.0)685 (56.1)92 (60.9)270 (54.4)0.372
  EGVB, n (%)392 (21.0)254 (20.8)23 (15.2)115 (23.2)0.103
  HE, n (%)748 (40.0)456 (37.3)64 (42.4)228 (46.0)0.004
Comorbidities
  T2DM, n (%)409 (21.9)266 (21.8)29 (19.2)114 (23.0)0.622
  Hypertension, n (%)374 (20.0)232 (19.0)31 (20.5)111 (22.4)0.272
Laboratory parameters, median (IQR)
  ALT (U/L)41.60 (25.80–68.20)40.45 (25.22–65.65)44.20 (25.30–68.50)45.50 (30.28–75.67)0.001
  AST (U/L)49.30 (34.50–74.50)48.20 (34.00–72.68)49.50 (33.75–71.45)52.80 (36.48–84.15)0.012
  ALB (g/L)37.70 (33.30–42.40)37.80 (33.40–42.50)36.30 (31.75–40.95)37.90 (33.20–42.25)0.008
  Tbil (µmol/L)23.90 (16.20–36.10)23.90 (16.12–36.80)26.00 (16.25–36.65)22.70 (16.35–34.55)0.545
  BUN (µmol/L)4.77 (3.89–5.89)4.73 (3.84–5.85)4.91 (3.95–6.28)4.87 (4.03–5.89)0.282
  Scr (µmol/L)63.80 (54.40–74.20)63.50 (53.80–74.20)62.60 (55.90–72.75)64.80 (55.68–74.65)0.112
  INR1.16 (1.04–1.30)1.15 (1.05–1.30)1.17 (1.03–1.35)1.15 (1.02–1.29)0.347
  PLT (×109/L)89.00 (62.00–132.00)87.50 (61.00–131.00)95.00 (63.50–132.50)93.00 (63.75–134.00)0.348
Virology and disease severity
  HBeAg positivity, n (%)980 (52.4)592 (48.4)96 (63.6)292 (58.9)<0.001
  HBV DNA (log IU/mL), median (IQR)4.82 (3.28–6.21)4.64 (3.19–6.02)5.56 (3.78–6.90)5.15 (3.50–6.51)<0.001
  MELD score, median (IQR)9.51 (7.67–12.21)9.47 (7.70–12.20)9.97 (7.81–12.37)9.46 (7.50–12.18)0.606

Five- and ten-year clinical outcomes in the overall cohort

The median duration of follow-up was seven years (IQR, 5–11), and the five- and ten-year cumulative incidence of HCC (23.0% and 31.2%, respectively), ACLF (5.1% and 6.9%, respectively), and liver-related death (4.3% and 5.9%, respectively) was recorded, as presented in Table 2.

Table 2

Cumulative incidence of clinical outcomes in all patients and patients stratified by baseline cirrhosis status

PopulationOutcomeCumulative incidence, % (95% confidence interval) [number of events]
1 Year3 Years5 Years10 Years
Overall (N = 1,869)HCC8.3 (7.1–9.6) [n = 155]17.8 (15.9–19.5) [n = 333]23.0 (21.0–24.9) [n = 430]31.2 (28.9–33.5) [n = 583]
Liver-related death1.7 (1.1–2.3) [n = 31]3.5 (2.6–4.4) [n = 65]4.3 (3.3–5.3) [n = 80]5.9 (4.6–7.1) [n = 110]
ACLF2.9 (2.1–3.7) [n = 54]4.4 (3.4–5.3) [n = 82]5.1 (4.1–6.1) [n = 95]6.9 (5.5–8.3) [n = 129]
Compensated cirrhosis (n = 348)HCC2.6 (0.9–4.2) [n = 9]8.6 (5.6–11.5) [n = 30]12.1 (8.6–15.4) [n = 42]20.0 (15.4–24.3) [n = 70]
Liver-related death0.3 (0.0–0.9) [n = 1]0.6 (0.0–1.4) [n = 2]0.6 (0.0–1.4) [n = 2]1.5 (0.0–3.0) [n = 5]
ACLF0.0 (0.0–0.0) [n = 0]0.3 (0.0–0.9) [n = 1]0.3 (0.0–0.9) [n = 1]1.0 (0.0–2.5) [n = 4]
Decompensated cirrhosis (n = 1,521)HCC9.7 (8.1–11.1) [n = 148]19.9 (17.9–21.9) [n = 303]25.5 (23.3–27.7) [n = 388]34.0 (31.3–36.6) [n = 517]
Liver-related death2.0 (1.3–2.7) [n = 30]4.2 (3.1–5.2) [n = 64]5.2 (4.0–6.4) [n = 79]7.0 (5.5–8.6) [n = 107]
ACLF3.6 (2.6–4.5) [n = 55]5.3 (4.2–6.5) [n = 81]6.3 (5.1–7.5) [n = 96]8.7 (7.0–10.4) [n = 132]

The annual incidence of HCC peaked (5.85 per 100 person-years) during the initial two years of NA therapy and declined to 3.08 per 100 person-years between years 3 and 6, remaining stable at 1.63–2.60 per 100 person-years thereafter (Fig. 2). The annual incidence of ACLF and liver-related death is presented in Supplementary Table 3.

Annual incidence rate of HCC in patients with hepatitis B virus–related cirrhosis.
Fig. 2  Annual incidence rate of HCC in patients with hepatitis B virus–related cirrhosis.

HCC, hepatocellular carcinoma.

Compared with patients with compensated cirrhosis, those with decompensated cirrhosis had a higher five-year (25.5% vs. 12.1%) and 10-year (34.0% vs. 20.0%) cumulative incidence of HCC (P < 0.001). Similarly, the incidence of ACLF and liver-related death significantly differed between these groups (Table 2).

Relationships of dynamic virological response patterns with five- and ten-year clinical outcomes

Overall, MVR, VBT, and PVR accounted for 65.4% (1,222/1,869), 26.5% (496/1,869), and 8.1% (151/1,869) of the cohort, respectively. When stratified by baseline compensation status, the MVR rate was lower in patients with decompensated cirrhosis than in those with compensated cirrhosis (64.0% [248/348] vs. 71.3% [974/1521], P = 0.029). Critically, during a median follow-up of 5.5 years after achieving initial CVR, 28.9% (496/1,718) of these patients subsequently developed VBT. The median time to VBT from initial CVR was 2.0 years (IQR, 1.0–4.0). The three- and five-year cumulative incidence of VBT after initial CVR reached 21.0% and 27.2%, respectively (Supplementary Table 4).

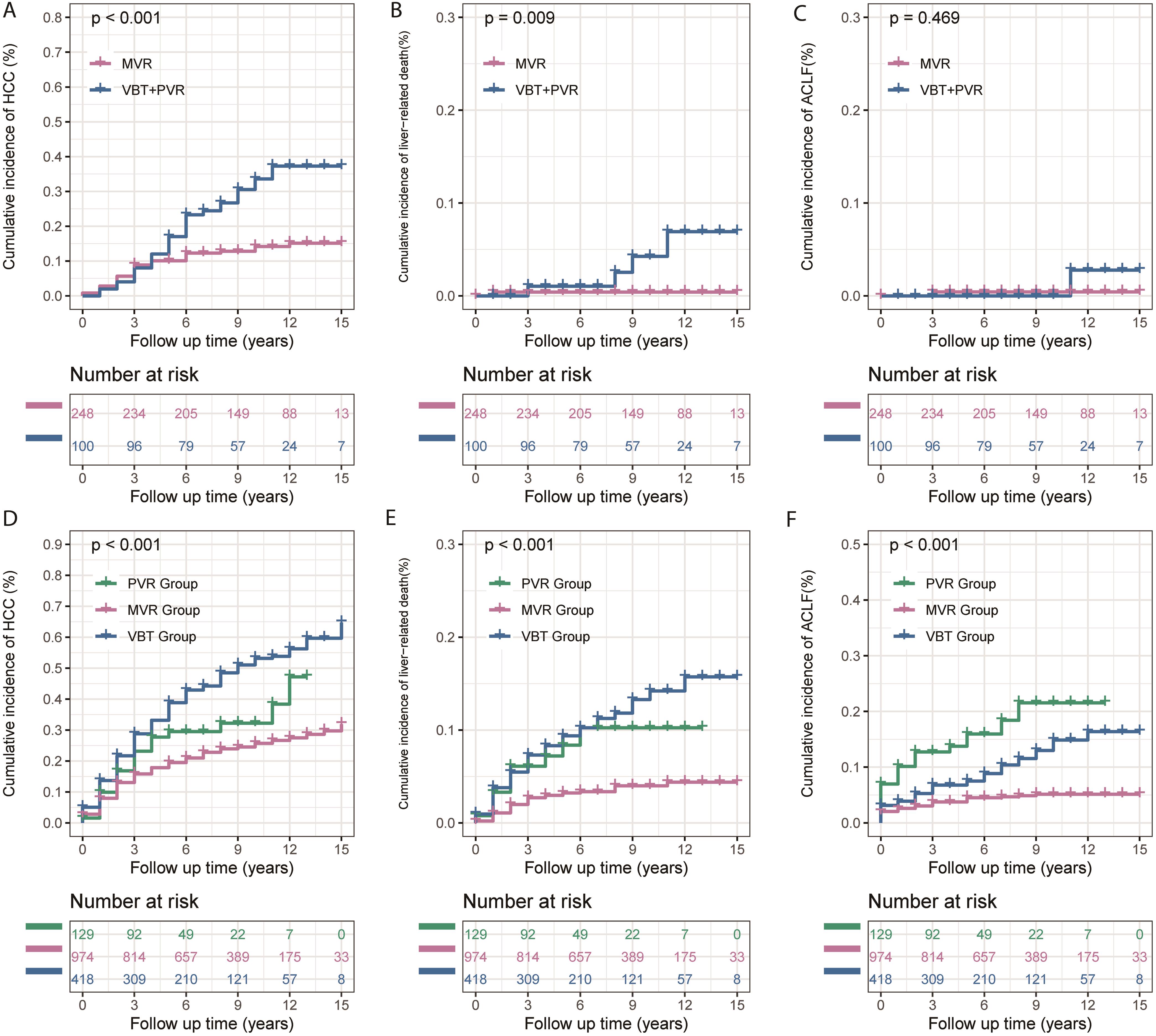
Compared with patients with VBT and PVR, those with MVR had a lower five- and ten-year cumulative incidence of HCC in both the compensated (five-year: 10.1% vs. 17.0%; ten-year: 14.2% vs. 33.6%) and decompensated cirrhosis subgroups (five-year: 19.5% vs. 36.7%; ten-year: 25.7% vs. 49.7%; all log-rank P < 0.001). Among patients with decompensated cirrhosis, those with VBT had a higher five- and ten-year incidence of HCC than those with PVR (five-year: 38.8% vs. 29.5%; ten-year: 53.2% vs. 32.2%; log-rank P = 0.022). Similarly, MVR was associated with a lower cumulative incidence of liver-related death in both the compensated and decompensated cirrhosis subgroups (Fig. 3, Table 3).

Cumulative incidence of liver-related outcomes by virological response pattern in patients with compensated (A–C) and decompensated (D–F) cirrhosis.
Fig. 3  Cumulative incidence of liver-related outcomes by virological response pattern in patients with compensated (A–C) and decompensated (D–F) cirrhosis.

Outcomes include hepatocellular carcinoma (HCC; A, D), liver-related mortality (B, E), and acute-on-chronic liver failure (ACLF; C, F). CI, confidence interval; MVR, maintained virological response; PVR, partial virological response; VBT, virological breakthrough; HCC, hepatocellular carcinoma; ACLF, acute-on-chronic liver failure.

Table 3

Cumulative incidence of clinical outcomes by baseline cirrhosis status with dynamic virological response patterns

PopulationVirological response patternsOutcomeCumulative incidence, % (95% confidence interval) [number of events]
1 Year3 Years5 Years10 Years
Compensated cirrhosis (n = 348)MVR (n = 248)HCC2.8 (0.7–4.8) [n = 7]8.9 (5.3–12.5) [n = 22]10.1 (6.2–14.0) [n = 25]14.2 (9.5–18.6) [n = 35]
Liver-related death0.4 (0.0–1.2) [n = 1]0.4 (0.0–1.2) [n = 1]0.4 (0.0–1.2) [n = 1]0.4 (0.0–1.2) [n = 1]
ACLF0.0 (0.0–0.0) [n = 0]0.4 (0.0–1.3) [n = 1]0.4 (0.0–1.3) [n = 1]0.4 (0.0–1.3) [n = 1]
PVR + VBT (n = 100)HCC2.0 (0.0–4.7) [n = 2]8.0 (2.5–13.2) [n = 8]17.0 (9.3–24.0) [n = 17]33.6 (23.0–42.7) [n = 34]
Liver-related death0.0 (0.0–0.0) [n = 0]1.0 (0.0–3.1) [n = 1]1.0 (0.0–3.1) [n = 1]4.3 (0.0–8.9) [n = 4]
ACLF0.0 (0.0–0.0) [n = 0]0.0 (0.0–0.0) [n = 0]0.0 (0.0–0.0) [n = 0]2.8 (0.0–8.0) [n = 3]
Decompensated cirrhosis (n = 1,521)MVR (n = 974)HCC7.9 (6.2–9.6) [n = 77]15.8 (13.4–18.1) [n = 154]19.5 (16.8–22.1) [n = 190]25.7 (22.6–28.5) [n = 250]
Liver-related death1.1 (0.4–1.7) [n = 11]2.7 (1.7–3.7) [n = 26]3.2 (2.0–4.3) [n = 31]3.9 (2.5–5.3) [n = 38]
ACLF2.6 (1.6–3.5) [n = 25]3.7 (2.5–4.9) [n = 36]4.5 (3.2–5.8) [n = 44]5.1 (3.5–6.6) [n = 50]
PVR + VBT (n = 547)HCC12.8 (10.0–15.6) [n = 70]27.5 (23.5–31.2) [n = 150]36.7 (32.4–40.8) [n = 201]49.7 (44.5–54.4) [n = 272]
Liver-related death3.7 (2.0–5.3) [n = 20]7.0 (4.7–9.3) [n = 38]9.1 (6.4–11.8) [n = 50]13.6 (9.6–17.4) [n = 74]
ACLF5.4 (3.4–7.2) [n = 30]8.2 (5.8–10.6) [n = 45]9.5 (6.7–12.3) [n = 52]16.5 (12.0–20.7) [n = 90]
PVR (n = 129)HCC9.9 (4.4–15.0) [n = 13]23.2 (15.1–30.4) [n = 30]29.5 (20.6–37.4) [n = 38]32.2 (21.9–41.2) [n = 42]
Liver-related death3.3 (0.1–6.4) [n = 4]6.1 (2.0–10.3) [n = 8]8.4 (3.0–13.5) [n = 11]10.2 (3.7–16.3) [n = 13]
ACLF10.1 (4.8–15.2) [n = 13]12.7 (6.7–18.3) [n = 16]15.9 (9.0–22.3) [n = 21]21.5 (11.1–30.8) [n = 28]
VBT (n = 418)HCC13.7 (10.3–16.9) [n = 57]28.8 (24.2–33.0) [n = 120]38.8 (33.8–43.4) [n = 162]53.2 (47.4–58.2) [n = 222]
Liver-related death3.8 (1.9–5.6) [n = 16]7.3 (4.6–9.2) [n = 31]9.4 (6.2–12.3) [n = 39]14.2 (9.6–18.6) [n = 59]
ACLF3.9 (1.9–5.7) [n = 16]6.8 (4.2–9.2) [n = 28]7.5 (4.8–10.1) [n = 31]16.4 (10.6–21.7) [n = 69]

Among patients with decompensated cirrhosis, those with MVR had a lower five- and ten-year cumulative incidence of ACLF than those with PVR and VBT (five-year: 4.5% vs. 9.5%; ten-year: 5.1% vs. 16.5%; log-rank P < 0.001), and those with PVR had a higher cumulative incidence of ACLF than those with VBT (five-year: 15.9% vs. 7.5%; ten-year: 21.5% vs. 16.4%; log-rank P = 0.017). However, no significant difference in the cumulative incidence of ACLF was observed among these dynamic virological response patterns in patients with compensated cirrhosis (Fig. 3, Table 3). Furthermore, multivariable Cox regression analyses demonstrated that dynamic virological response patterns were independently associated with clinical outcomes. Detailed results are provided in Supplementary Tables 56.

Hepatic decompensation and recompensation

Among the 1,521 patients with decompensated cirrhosis at baseline, those with MVR had a higher clinical recompensation rate than those with VBT (34.1% vs. 22.5%; P < 0.001). Conversely, among the 348 patients with compensated cirrhosis at baseline, those with MVR had a lower rate of progression to decompensation than those with VBT or PVR (16.1% vs. 37.2% vs. 36.4%; P < 0.001; Table 4).

Table 4

Association between dynamic virological response patterns and hepatic decompensation/recompensation

Transition of compensation statusn/N (%)P
Decompensated cirrhosis → recompensation
  MVR332/974 (34.1%)<0.001
  VBT94/418 (22.5%)
Compensated cirrhosis → decompensation
  MVR40/248 (16.1%)<0.001
  PVR+VBT37/100 (37.0%)
  PVR8/22 (36.4%)
  VBT29/78 (37.2%)

“Functional cure” and clinical outcomes

The cumulative serum HBsAg clearance rate was 9.8% (52/935) during a median follow-up of seven years, and no significant difference was observed between patients with compensated and decompensated cirrhosis (8.2% vs. 10.5%; P = 0.467). Furthermore, the HBsAg clearance rates were 34.9% (19/72), 11.7% (15/278), and 5.7% (18/585) among patients with baseline quantitative HBsAg levels of <100, 100–1,000, and >1,000 IU/mL, respectively (Fig. 4A, Supplementary Table 7).

Cumulative incidence of HBsAg clearance and HCC stratified by HBsAg level.
Fig. 4  Cumulative incidence of HBsAg clearance and HCC stratified by HBsAg level.

(A) Cumulative incidence of HBsAg clearance according to the baseline HBsAg level. (B) Cumulative incidence of HCC according to the end-of-treatment HBsAg level. HCC, hepatocellular carcinoma; HBsAg, hepatitis B surface antigen.

In the baseline HBsAg < 100 IU/mL subgroup, which exhibited the highest clearance rate, the median time to serum HBsAg clearance among the 19 responders was 4.0 years (IQR, 1.0–6.0). The clinical outcomes of this subgroup stratified by cirrhotic compensation status are presented in Supplementary Table 8.

Among patients with MVR, those achieving “functional cure” had the lowest five- and ten-year cumulative incidence of HCC (3.9% and 8.7%, respectively). Interestingly, a higher serum HBsAg level at the last measurement during follow-up was associated with an increased risk of HCC (Fig. 4B, Supplementary Table 9).

Discussion

This large, real-world, 10-year cohort study demonstrated that MVR to NA therapy is strongly associated with a lower incidence of HCC and liver-related death and higher recompensation rates in patients with HBV-related cirrhosis. These findings collectively emphasize the critical importance of sustained virological suppression and the pursuit of HBV functional cure.

Functional HBV cure is defined as undetectable HBsAg and unquantifiable serum HBV DNA levels for at least 24 weeks after a finite course of NA or pegylated interferon-α therapy.20 Functional cure is a critical goal in the management of chronic HBV infection,21 as it is significantly associated with a reduced risk of clinical outcomes.22–24 However, functional cure is rarely achieved with NA monotherapy.20 A meta-analysis by Jian et al. revealed that among patients with non-cirrhotic CHB, long-term TDF monotherapy for up to 240 weeks resulted in a serum HBsAg clearance rate near zero and a median HBsAg level reduction of only 21% by 168 weeks.25 Given this limitation, recent research has focused on achieving low HBsAg levels (<100 IU/mL) as an intermediate endpoint in non-cirrhotic cohorts.26 In our study, during a median follow-up of seven years, the cumulative HBsAg clearance rate was 9.8% for the entire cohort, and this rate was highest (34.9%) among patients with a baseline HBsAg level lower than 100 IU/mL. This observation is also consistent with the established association between low baseline HBsAg levels and a higher likelihood of HBsAg clearance in other CHB populations.27 Importantly, our finding converges with emerging evidence on finite NA therapy. Jeng et al. reported that patients with an end-of-treatment HBsAg level of <100 IU/mL achieved higher rates of HBsAg clearance.28 Another study also demonstrated that this threshold reliably identifies individuals most likely to maintain remission without relapse after stopping antiviral treatment.29 Therefore, a low HBsAg level robustly predicts a greater probability of achieving HBV functional cure.

In this study, we demonstrated that patients who achieved “functional cure” had the lowest cumulative incidence of HCC and highlighted the need for stratification of HCC risk by serum HBsAg level. As reviewed by Lok, a high circulating HBsAg load is a key driver of immune dysfunction in chronic HBV infection.20 This view is directly supported by the perspective that HBsAg clearance is fundamental to reversing HBV-induced immune dysfunction.30 Collectively, this supports the plausibility that reducing the antigenic burden facilitates immune restoration, thereby mitigating hepatocarcinogenesis.

It is well established that although NA therapy rapidly suppresses viral replication and leads to substantial histological improvement, reducing the risk of HCC is a more protracted process.6,8 Our findings delineate the dynamics of the annual HCC incidence in patients with HBV-related cirrhosis receiving long-term NA therapy. The results revealed that the highest incidence (5.85 per 100 person-years) was observed during the initial two years of antiviral treatment. This annual incidence exceeds the pooled annual incidence rate of 3.37 per 100 person-years reported for untreated patients with compensated cirrhosis in a large meta-analysis.31 This might be explainable by the high proportion (80%) of patients with decompensated cirrhosis in our cohort. Importantly, we observed that the annual incidence of HCC began to decline from the third year and decreased to lower than 2 per 100 person-years by the seventh year of NA treatment. Thus, the high risk of HCC remains pronounced during the initial two years of NA therapy, underscoring the critical importance of intensified surveillance in this early treatment window in patients with HBV-related cirrhosis.

In this real-world cohort study, MVR, VBT, and PVR accounted for 65.4%, 26.5%, and 8.1%, respectively, of the virological response patterns during a median follow-up of seven years. Indeed, the MVR rate observed in our cohort (65.4%) is higher than that (39.3%) reported in an entirely decompensated cohort treated with entecavir or lamivudine.10 This disparity may be partly explained by differences in disease severity between the two cohorts, as our cohort included both compensated and decompensated patients, and we confirmed a higher MVR rate in those with compensated cirrhosis (71.3% vs. 64.0%). Furthermore, this discrepancy may also be attributed to the inclusion of lamivudine in the earlier cohort, an agent associated with a high rate of drug resistance and weaker virological suppression compared with contemporary first-line NA regimens. In contrast, our MVR rate aligns closely with the 61.9% reported by Kim et al. in a cohort of CHB patients (50.6% with cirrhosis) who received entecavir monotherapy.32 Notably, their cohort had a high median baseline HBV DNA level (7.0 log10 IU/mL versus 4.82 log10 IU/mL in our cohort). Given that a high baseline HBV DNA load is a well-established predictor of suboptimal virological response to NA therapy,33,34 it is plausible that this elevated baseline HBV DNA load attenuated the potential MVR advantage in their cohort with less advanced liver disease. In summary, the MVR rates across studies underscore the multifactorial determinants of the response to long-term antiviral therapy, including the potency and historical context of the regimen, the duration of therapy, baseline HBV DNA load, and the severity of liver disease. Furthermore, the cirrhotic microenvironment is associated with a distinct virological profile, including a higher prevalence of specific HBV mutations,35,36 which may further compromise the efficacy of antiviral therapy.

Previous studies preliminarily revealed the prognostic value of MVR. For instance, Wong et al. demonstrated that MVR is associated with reduced risks of HCC and liver-related death.6 Jang et al. also established that patients with MVR had better five-year transplant-free survival than non-responders or patients with a suboptimal response.10,37 Our study confirmed that MVR was associated with a reduced risk of liver-related clinical outcomes, especially HCC, in HBV-related cirrhosis across all disease stages. Moreover, we found that MVR was also associated with a higher rate of hepatic recompensation and a lower risk of progression to decompensation. However, more than 30% of patients experienced PVR or VBT during long-term NA therapy in this cohort. By stratifying patients who did not achieve MVR into PVR and VBT subgroups, we further revealed a distinct HCC risk gradient: the lowest risk in patients with MVR and the highest in those with VBT, a finding that aligns with previous studies identifying VBT as an independent risk factor for HCC in patients with cirrhosis.38

We hypothesize that the markedly elevated HCC risk associated with VBT reflects mechanisms that differ from the chronic injury pattern observed in PVR. First, the cyclical nature of VBT, defined by initial viral suppression followed by rebound, might interrupt hepatic repair and promote a protumor microenvironment. This process can trigger renewed inflammation, disrupt regeneration, and drive dysregulated fibrogenesis and aberrant angiogenesis.39 Second, the rapid surge in viral replication during relapse can promote more complex viral DNA integration into hepatocyte genomes, facilitating clonal expansion of premalignant hepatocytes.40,41 Finally, in the compromised cirrhotic liver, VBT can induce intense inflammation and immune exhaustion. Reactivated CD8+ T cells and macrophages release inflammatory mediators and reactive oxygen species, generating oxidative DNA damage, and concurrent viral immune evasion mechanisms undermine antitumor surveillance.42,43 By contrast, PVR typically reflects a more stable, low-grade inflammatory milieu in which carcinogenesis progresses gradually. These findings highlight that VBT confers a particularly unfavorable prognosis relative to persistent low-level viremia. Therefore, maintaining MVR is the central therapeutic priority. For the substantial proportion of patients who achieve PVR or VBT, our results underscore the urgent need for a more proactive and stratified management strategy to improve their clinical outcomes.

We propose a structured management approach: (1) intensified virologic monitoring for patients who achieve initial CVR, involving more frequent HBV DNA testing (e.g., every three months) for early identification of treatment failure; (2) prompt salvage therapy upon confirmed VBT, entailing thorough evaluation and a switch to a non–cross-resistant NA regimen guided by genotypic resistance testing. The efficacy of this salvage therapy should be formally assessed by monitoring HBV DNA levels every three months until undetectable.15 Studies have demonstrated that patients managed with this salvage therapy strategy can achieve rapid virologic re-suppression, with undetectable HBV DNA in all patients by 48 weeks in one study and maintained efficacy in approximately 77% of patients through 144 weeks in another study44,45; and (3) intensified HCC surveillance in all patients who experience VBT or PVR, given their association with an elevated risk of HCC. This underscores the imperative for strict adherence to the surveillance protocol recommended by the China Liver Cancer Guidelines (2024 Edition),16 which emphasizes semiannual abdominal ultrasonography combined with serum AFP testing for high-risk individuals.

We acknowledge several limitations in this study. First, this was a single-center study conducted at a tertiary care hospital specializing in hepatology. Consequently, our cohort comprised a uniquely high proportion (81.4%) of patients with decompensated cirrhosis. Therefore, our findings should be interpreted with caution when generalized to the broader population of patients with HBV-related cirrhosis managed in general hospitals. Second, potential selection bias, unmeasured confounding, and incomplete data for some variables were inherent to the retrospective design. Third, although our study quantified the timing of CVR-to-VBT conversion, analysis of key risk factors for this conversion, such as medication adherence or viral mutations, was not feasible within the retrospective study design. Fourth, a detailed analysis of salvage therapy strategies after VBT or PVR was not conducted. Meanwhile, the potential effects of different NA regimens (such as entecavir and TDF/tenofovir alafenamide) on clinical outcomes, especially the occurrence of HCC, also remain unexplored. Fifth, mortality data were captured only during hospital admission, leading to an underestimation of the overall mortality rate. Finally, although standard guideline-based treatments were used to manage cirrhotic complications, variability in application across individual cases may have influenced the clinical outcomes.

Conclusions

Patients with a long-term MVR pattern had a lower incidence of HCC and liver-related death in both compensated and decompensated HBV-related cirrhosis subgroups, especially among patients achieving “functional cure.” Among patients with decompensated cirrhosis at baseline, those who experienced MVR had a higher hepatic recompensation rate than those who experienced VBT or PVR. Similarly, among patients with compensated cirrhosis at baseline, those with MVR had a lower rate of progression to decompensation. However, more than 30% of patients experienced PVR or VBT during long-term NA therapy. These findings highlight the importance of rigorous monitoring and risk stratification for patients at high risk of HCC after initial CVR to optimize outcomes and guide clinical decisions. This potential benefit in improving clinical outcomes lies in optimizing salvage therapy and strengthening HCC monitoring in accordance with current guidelines for patients with PVR or VBT.

Nevertheless, our findings should be interpreted with caution in the broader population of HBV-related cirrhosis, particularly in patients with compensated cirrhosis.

Supporting information

Supplementary Table 1

Baseline characteristics of patients with compensated cirrhosis stratified by dynamic virological response pattern.

(DOCX)

Supplementary Table 2

Baseline characteristics of patients with decompensated cirrhosis by dynamic virological response pattern.

(DOCX)

Supplementary Table 3

Annual incidence rates of poor clinical outcomes in patients with HBV-related cirrhosis.

(DOCX)

Supplementary Table 4

Cumulative incidence of VBT after achieving CVR.

(DOCX)

Supplementary Table 5

Multivariable logistic regression of clinical outcomes by virological response patterns in patients with compensated cirrhosis.

(DOCX)

Supplementary Table 6

Multivariable logistic regression for clinical outcomes by virological response pattern in patients with decompensated cirrhosis.

(DOCX)

Supplementary Table 7

Cumulative incidence of serum HBsAg clearance stratified by baseline HBsAg level.

(DOCX)

Supplementary Table 8

Clinical outcomes in patients with baseline HBsAg < 100 IU/mL stratified by their cirrhosis status.

(DOCX)

Supplementary Table 9

Cumulative incidence of clinical outcomes in patients with MVR by end-of-follow-up HBsAg level.

(DOCX)

Declarations

Acknowledgement

We thank Medjaden Inc. for scientific editing of this manuscript.

Ethical statement

This study was conducted in accordance with the ethical guidelines of the seventh revision of the Declaration of Helsinki (as revised in 2024). The study protocol was reviewed and approved by the Ethics Committee of Beijing Youan Hospital, Capital Medical University (approval number: Jingyou Kelun Zi [2024] No. 081). The requirement for written informed consent was waived by the Ethics Committee of Beijing Youan Hospital, Capital Medical University because of the retrospective nature of this study, which involved only the analysis of anonymized historical clinical data.

Data sharing statement

Raw data from this study are not publicly available to protect patient privacy. Researchers interested in accessing the data can contact the corresponding author, with appropriate ethical approval and patient consent procedures followed.

Funding

This work was supported by the Capital Characteristic Research Project of Beijing Municipal Science & Technology Commission (Z221100007422002), the Capital Medical Development and Research Fund (2022-1-2181), and Capital’s Funds for Health Improvement and Research (CFH-2024-2G-2185). The study was also funded by the Muxin Chronic Hepatitis B Research Fund (Grant No. MX202417).

Conflict of interest

The authors have no conflict of interests related to this publication.

Authors’ contributions

Conceptualization (HD, YH), data curation and analysis (YwW, YxL, YY, YlH), funding acquisition (HD), investigation (YwW, YxL), methodology (YwW, YxL, YH), project administration (HD, YH), resources (HD, YH), software (YwW, YxL, YlH, YY), supervision (HD, YH, LL, XyL, YjL, YnL, KJ, SW, YjW, SD, CF), validation (YwW, YxL, HD), visualization (YwW, YxL), writing – original draft (YwW, YxL), and writing – review & editing (YwW, YxL, HD, YH, SD). All authors have made intellectual contributions to the manuscript and approved the submission.

References

  1. Fattovich G, Bortolotti F, Donato F. Natural history of chronic hepatitis B: special emphasis on disease progression and prognostic factors. J Hepatol 2008;48(2):335-352 View Article PubMed/NCBI
  2. Guo D, Li J, Zhao P, Mei T, Li K, Zhang Y. The hepatocellular carcinoma risk in patients with HBV-related cirrhosis: a competing risk nomogram based on a 4-year retrospective cohort study. Front Oncol 2024;14:1398968 View Article PubMed/NCBI
  3. Cao G, Liu J, Liu M. Trends in mortality of liver disease due to hepatitis B in China from 1990 to 2019: findings from the Global Burden of Disease Study. Chin Med J (Engl) 2022;135(17):2049-2055 View Article PubMed/NCBI
  4. Deng Y, Meng T, You H, Jia J, Wang Y. Epidemiology, Achievements, and Challenges in the Elimination of Hepatitis B in China. J Clin Transl Hepatol 2025;13(7):599-604 View Article PubMed/NCBI
  5. Su TH, Hu TH, Chen CY, Huang YH, Chuang WL, Lin CC, et al. Four-year entecavir therapy reduces hepatocellular carcinoma, cirrhotic events and mortality in chronic hepatitis B patients. Liver Int 2016;36(12):1755-1764 View Article PubMed/NCBI
  6. Wong GL, Chan HL, Mak CW, Lee SK, Ip ZM, Lam AT, et al. Entecavir treatment reduces hepatic events and deaths in chronic hepatitis B patients with liver cirrhosis. Hepatology 2013;58(5):1537-1547 View Article PubMed/NCBI
  7. Wu CY, Lin JT, Ho HJ, Su CW, Lee TY, Wang SY, et al. Association of nucleos(t)ide analogue therapy with reduced risk of hepatocellular carcinoma in patients with chronic hepatitis B: a nationwide cohort study. Gastroenterology 2014;147(1):143-151.e5 View Article PubMed/NCBI
  8. Marcellin P, Gane E, Buti M, Afdhal N, Sievert W, Jacobson IM, et al. Regression of cirrhosis during treatment with tenofovir disoproxil fumarate for chronic hepatitis B: a 5-year open-label follow-up study. Lancet 2013;381(9865):468-475 View Article PubMed/NCBI
  9. Zoutendijk R, Reijnders JG, Zoulim F, Brown A, Mutimer DJ, Deterding K, et al. Virological response to entecavir is associated with a better clinical outcome in chronic hepatitis B patients with cirrhosis. Gut 2013;62(5):760-765 View Article PubMed/NCBI
  10. Jang JW, Choi JY, Kim YS, Yoo JJ, Woo HY, Choi SK, et al. Effects of Virologic Response to Treatment on Short- and Long-term Outcomes of Patients With Chronic Hepatitis B Virus Infection and Decompensated Cirrhosis. Clin Gastroenterol Hepatol 2018;16(12):1954-1963.e3 View Article PubMed/NCBI
  11. You H, Wang F, Li T, Xu X, Sun Y, Nan Y, et al. Guidelines for the Prevention and Treatment of Chronic Hepatitis B (version 2022). J Clin Transl Hepatol 2023;11(6):1425-1442 View Article PubMed/NCBI
  12. Xu X, Tang C, Linghu E, Ding H, Chinese Society of Hepatology, Chinese Medical Association; Chinese Society of Gastroenterology, Chinese Medical Association; Chinese Society of Digestive Endoscopy, Chinese Medical Association. Guidelines for the Management of Esophagogastric Variceal Bleeding in Cirrhotic Portal Hypertension. J Clin Transl Hepatol 2023;11(7):1565-1579 View Article PubMed/NCBI
  13. Xu X, Ding H, Li W, Han Y, Guan Y, Xu J, et al. Chinese Guidelines on the Management of Hepatic Encephalopathy in Cirrhosis (2024). J Clin Transl Hepatol 2025;13(3):253-267 View Article PubMed/NCBI
  14. Chinese Society of Hepatology, Chinese Medical Association. [Guidelines on the management of ascites in cirrhosis (2023 version)]. Zhonghua Gan Zang Bing Za Zhi 2023;31(8):813-826 View Article PubMed/NCBI
  15. European Association for the Study of the Liver. EASL 2017 Clinical Practice Guidelines on the management of hepatitis B virus infection. J Hepatol 2017;67(2):370-398 View Article PubMed/NCBI
  16. Zhou J, Sun H, Wang Z, Cong W, Zeng M, Zhou W, et al. China Liver Cancer Guidelines for the Diagnosis and Treatment of Hepatocellular Carcinoma (2024 Edition). Liver Cancer 2025;14(6):779-835 View Article PubMed/NCBI
  17. Liver Failure and Artificial Liver Group, Chinese Society of Infectious Diseases, Chinese Medical Association, Severe Liver Disease and Artificial Liver Group, Chinese Society of Hepatology, Chinese Medical Association. [Guidelines for diagnosis and treatment of liver failure (2024 version)]. Zhonghua Gan Zang Bing Za Zhi 2025;33(1):18-33 View Article PubMed/NCBI
  18. Tonon M, Gagliardi R, Pompili E, Barone A, Zaccherini G, Zilio G, et al. Validation and expansion of Baveno VII recompensation criteria in patients with cirrhosis and curable liver disease. J Hepatol 2025;83(4):888-898 View Article PubMed/NCBI
  19. Wang Q, Zhao H, Deng Y, Zheng H, Xiang H, Nan Y, et al. Validation of Baveno VII criteria for recompensation in entecavir-treated patients with hepatitis B-related decompensated cirrhosis. J Hepatol 2022;77(6):1564-1572 View Article PubMed/NCBI
  20. Lok ASF. Toward a Functional Cure for Hepatitis B. Gut Liver 2024;18(4):593-601 View Article PubMed/NCBI
  21. European Association for the Study of the Liver. EASL Clinical Practice Guidelines on the management of hepatitis B virus infection. J Hepatol 2025;83(2):502-583 View Article PubMed/NCBI
  22. Yip TC, Wong GL, Chan HL, Tse YK, Lam KL, Lui GC, et al. HBsAg seroclearance further reduces hepatocellular carcinoma risk after complete viral suppression with nucleos(t)ide analogues. J Hepatol 2019;70(3):361-370 View Article PubMed/NCBI
  23. Anderson RT, Choi HSJ, Lenz O, Peters MG, Janssen HLA, Mishra P, et al. Association Between Seroclearance of Hepatitis B Surface Antigen and Long-term Clinical Outcomes of Patients With Chronic Hepatitis B Virus Infection: Systematic Review and Meta-analysis. Clin Gastroenterol Hepatol 2021;19(3):463-472 View Article PubMed/NCBI
  24. Song A, Wang X, Lu J, Jin Y, Ma L, Hu Z, et al. Durability of hepatitis B surface antigen seroclearance and subsequent risk for hepatocellular carcinoma: A meta-analysis. J Viral Hepat 2021;28(4):601-612 View Article PubMed/NCBI
  25. Jian W, Yin Y, Xue J, Chen R, Feng J, Zeng J, et al. Hepatitis surface B antigen clearance induced by long-term tenofovir disoproxil fumarate monotherapy in chronic hepatitis B treatment: a meta-analysis and longitudinal modeling analysis. Virol J 2025;22(1):158 View Article PubMed/NCBI
  26. Wang J, Fan T, Zhang Z, Zhu L, Zhang S, Xiong Y, et al. Incidence and determinants of achieving HBsAg <100 IU/mL in HBeAg-negative CHB patients with nucleos(t)ide analogue treatment. Emerg Microbes Infect 2025;14(1):2552718 View Article PubMed/NCBI
  27. Wang J, Zhu L, Zhang S, Zhang Z, Fan T, Cao F, et al. Clinical outcomes of treatment-naïve HBeAg-negative patients with chronic hepatitis B virus infection with low serum HBsAg and undetectable HBV DNA. Emerg Microbes Infect 2024;13(1):2339944 View Article PubMed/NCBI
  28. Jeng WJ, Chien RN, Chen YC, Lin CL, Wu CY, Liu YC, et al. Hepatocellular carcinoma reduced, HBsAg loss increased, and survival improved after finite therapy in hepatitis B patients with cirrhosis. Hepatology 2024;79(3):690-703 View Article PubMed/NCBI
  29. Liaw YF. Letter regarding “Hepatitis B core-related antigen dynamics and risk of subsequent clinical relapses after nucleos(t)ide analog cessation”. Clin Mol Hepatol 2024;30(2):269-271 View Article PubMed/NCBI
  30. Wang ZL, Zheng JR, Yang RF, Huang LX, Chen HS, Feng B. An Ideal Hallmark Closest to Complete Cure of Chronic Hepatitis B Patients: High-sensitivity Quantitative HBsAg Loss. J Clin Transl Hepatol 2023;11(1):197-206 View Article PubMed/NCBI
  31. Raffetti E, Fattovich G, Donato F. Incidence of hepatocellular carcinoma in untreated subjects with chronic hepatitis B: a systematic review and meta-analysis. Liver Int 2016;36(9):1239-1251 View Article PubMed/NCBI
  32. Kim JH, Sinn DH, Kang W, Gwak GY, Paik YH, Choi MS, et al. Low-level viremia and the increased risk of hepatocellular carcinoma in patients receiving entecavir treatment. Hepatology 2017;66(2):335-343 View Article PubMed/NCBI
  33. Ma L, Li Y, Weng L, Xing H. Virological response and predictive factors for antiviral treatment in chronic HBV-related liver disease with low ALT and high HBV DNA. Front Immunol 2025;16:1556547 View Article PubMed/NCBI
  34. Chen H, Fu JJ, Li L, Wang X, Pan XC. Risk factors of low-level viremia in chronic hepatitis B patients receiving Entecavir monotherapy: a retrospective cohort study. J Gastroenterol Hepatol 2024;39(1):180-184 View Article PubMed/NCBI
  35. Kumar R. Review on hepatitis B virus precore/core promoter mutations and their correlation with genotypes and liver disease severity. World J Hepatol 2022;14(4):708-718 View Article PubMed/NCBI
  36. Gao S, Duan ZP, Coffin CS. Clinical relevance of hepatitis B virus variants. World J Hepatol 2015;7(8):1086-1096 View Article PubMed/NCBI
  37. Jang JW, Choi JY, Kim YS, Woo HY, Choi SK, Lee CH, et al. Long-term effect of antiviral therapy on disease course after decompensation in patients with hepatitis B virus-related cirrhosis. Hepatology 2015;61(6):1809-1820 View Article PubMed/NCBI
  38. Huang YJ, Yang SS, Yeh HZ, Chang CS, Peng YC. Association of virological breakthrough and clinical outcomes in entecavir-treated HBeAg-positive chronic hepatitis B. PLoS One 2019;14(8):e0221958 View Article PubMed/NCBI
  39. Wu SX, Ye SS, Hong YX, Chen Y, Wang B, Lin XJ, et al. Hepatitis B Virus Small Envelope Protein Promotes Hepatocellular Carcinoma Angiogenesis via Endoplasmic Reticulum Stress Signaling To Upregulate the Expression of Vascular Endothelial Growth Factor A. J Virol 2022;96(4):e0197521 View Article PubMed/NCBI
  40. Qian Z, Liang J, Huang R, Song W, Ying J, Bi X, et al. HBV integrations reshaping genomic structures promote hepatocellular carcinoma. Gut 2024;73(7):1169-1182 View Article PubMed/NCBI
  41. Álvarez EG, Demeulemeester J, Otero P, Jolly C, García-Souto D, Pequeño-Valtierra A, et al. Aberrant integration of Hepatitis B virus DNA promotes major restructuring of human hepatocellular carcinoma genome architecture. Nat Commun 2021;12(1):6910 View Article PubMed/NCBI
  42. Guo YH, Dou QH, Liu Q, Yang JH, Lyu YY, Feng DX, et al. [Analysis on the sequence mutation and evolution of HBV genome in China]. Zhonghua Liu Xing Bing Xue Za Zhi 2022;43(8):1309-1314 View Article PubMed/NCBI
  43. Wang J, Li Q, Qiu Y, Kitanovski S, Wang C, Zhang C, et al. Cell-type-specific expression analysis of liver transcriptomics with clinical parameters to decipher the cause of intrahepatic inflammation in chronic hepatitis B. Imeta 2024;3(4):e221 View Article PubMed/NCBI
  44. Zhou J, Liu YY, Lian JS, Pan LF, Yang JL, Huang JR. Efficacy and Safety of Tenofovir Disoproxil Treatment for Chronic Hepatitis B Patients with Genotypic Resistance to Other Nucleoside Analogues: A Prospective Study. Chin Med J (Engl) 2017;130(8):914-919 View Article PubMed/NCBI
  45. Liang X, Xie Q, Shang J, Tang H, Xu M, Meng Q, et al. Tenofovir disoproxil fumarate for multiple nucleos(t)ide analogues treatment failure hepatitis B: Is monotherapy enough?. J Gastroenterol Hepatol 2022;37(3):471-479 View Article PubMed/NCBI

About this Article

Cite this article
Wang Y, Li Y, Yu Y, Lyu L, Liang X, Li Y, et al. Long-term Dynamic Virological Response Patterns and Clinical Outcomes in Hepatitis B Virus-related Cirrhosis: A Real-world 10-year Cohort Study. J Clin Transl Hepatol. Published online: Feb 25, 2026. doi: 10.14218/JCTH.2025.00683.
Copy        Export to RIS        Export to EndNote
Article History
Received Revised Accepted Published
December 15, 2025 January 19, 2026 February 2, 2026 February 25, 2026
DOI http://dx.doi.org/10.14218/JCTH.2025.00683
  • Journal of Clinical and Translational Hepatology
  • pISSN 2225-0719
  • eISSN 2310-8819
Back to Top

Long-term Dynamic Virological Response Patterns and Clinical Outcomes in Hepatitis B Virus-related Cirrhosis: A Real-world 10-year Cohort Study

Yuwei Wang, Yaxin Li, Yueyang Yu, Lingna Lyu, Xueying Liang, Yangjie Li, Yanglan He, Yanna Liu, Keke Jin, Chunlei Fan, Yanjing Wu, Shanshan Wang, Steven Dooley, Ying Han, Huiguo Ding
  • Reset Zoom
  • Download TIFF