v
Search
Advanced

Publications > Journals > Journal of Clinical and Translational Hepatology> Article Full Text

  • OPEN ACCESS

Efficacy of Sequential Transarterial Chemoembolization after Stereotactic Body Radiation Therapy versus Radiation Therapy Alone for Recurrent Hepatocellular Carcinoma: A Propensity Score-matched Analysis

  • Jian-Hui Wu1,2,#,
  • Jun-Qiang Ding2,#,
  • Jing Sun2,
  • Wei-Ping He2,
  • Xue-Zhang Duan1,2,*  and
  • Wen-Gang Li1,2,*
 Author information 

Abstract

Background and Aims

Comparative data on sequential transarterial chemoembolization (TACE) after stereotactic body radiation therapy (SBRT) in recurrent hepatocellular carcinoma (HCC) remain limited. This study aimed to evaluate the efficacy of this combination.

Methods

We retrospectively reviewed 152 patients with recurrent HCC who met predefined eligibility criteria; 109 received SBRT alone and 43 received SBRT plus TACE. To minimize selection bias, a 2:1 propensity score matching was performed, resulting in 68 patients in the SBRT-alone group and 36 in the SBRT plus TACE group for the final comparative analysis. Overall survival, progression-free survival, and local control were assessed using the Kaplan-Meier method.

Results

The SBRT plus TACE group was associated with numerically higher survival rates, although this difference did not reach statistical significance. The cumulative one-, three-, and five-year overall survival rates were 91.2%, 76.3%, and 61.8% for SBRT alone, compared to 100.0%, 86.1%, and 77.5% for the combination therapy ( p = 0.069). The corresponding progression-free survival rates were 73.1%, 51.1%, and 32.3% versus 88.9%, 58.1%, and 52.3% ( p = 0.091). No acute grade ≥3 toxicities were observed in either group.

Conclusions

In this exploratory analysis of recurrent HCC, the combination of SBRT and TACE demonstrated a favorable trend toward improved survival compared with SBRT alone, without an increase in severe toxicity. While these findings did not reach statistical significance, they establish the safety profile of the combined approach and provide preliminary evidence supporting its potential therapeutic role. This hypothesis-generating study justifies and informs the design of larger, prospective trials to definitively evaluate the efficacy of this regimen.

Graphical Abstract

Keywords

Recurrent hepatocellular carcinoma, Stereotactic body radiation therapy, Transarterial chemoembolization, Prognosis, Propensity score-matched analysis, Treatment outcome

Introduction

According to the Global Cancer Statistics 2022, primary liver cancer ranks as the sixth most commonly diagnosed malignancy worldwide and represents the fourth leading cause of cancer-related mortality globally.1 Hepatocellular carcinoma (HCC) accounts for approximately 80% of all primary liver cancer cases. For early-stage HCC, liver transplantation, liver resection, and local ablation therapies (including radiofrequency ablation (RFA) and microwave ablation) remain the established curative treatment modalities with the highest level of clinical recommendation. Standard curative therapies are associated with a five-year intrahepatic recurrence rate of 50%–70%.2,3 Stereotactic body radiation therapy (SBRT) provides an effective alternative by delivering ablative doses with higher biologically effective doses (BED) in a hypo-fractionated regimen, offering a safe option for patients ineligible for other treatments.4 Furthermore, it serves as an effective salvage therapy following failure of prior local treatments, such as incomplete transarterial chemoembolization (TACE) or recurrence after RFA.5 Given the widespread use of prophylactic TACE after hepatic resection for HCC, a critical question arises: whether this strategy can be translated to the management of recurrent disease to enhance disease control. Specifically, it remains inconclusive whether combining TACE with SBRT for recurrent HCC can eradicate subclinical lesions and reduce the risk of further recurrence.

This study was conducted to assess the efficacy and safety of TACE after SBRT for recurrent HCC patients.

Methods

This retrospective cohort study consecutively enrolled 152 recurrent HCC patients at the Fifth Medical Center of PLA General Hospital between December 2011 and December 2020. The cohort comprised 109 patients undergoing SBRT only and 43 patients receiving SBRT plus TACE. All participants met the following inclusion criteria.

Patient selection

(1) Recurrent HCC was diagnosed based on contrast-enhanced dynamic computed tomography (CT) or magnetic resonance imaging (MRI) findings consistent with HCC (e.g., arterial hyperenhancement with washout), as assessed by an experienced abdominal radiologist. In equivocal cases, diagnosis was supported by elevated serum alpha-fetoprotein levels or histopathological confirmation when available; (2) Had a single tumor with a diameter ≤ 7 cm; (3) Patients with a history of surgical resection, RFA, or TACE, with the most recent treatment occurring ≥3 months prior; (4) Child-Pugh classification A or B; (5) Residual liver volume equal to or greater than 700 cc. All patients provided written informed consent before receiving their anti-tumor treatments.

Treatment procedure of SBRT group

SBRT was delivered using the CyberKnife® robotic radiosurgery system (Accuray, USA). Prior to treatment planning, three to four fiducial markers were percutaneously implanted in the hepatic parenchyma adjacent to the target lesion under CT imaging guidance. Treatment simulation was performed using CT, during which the radiation oncologist delineated the gross tumor volume (GTV) and critical organs at risk, including, but not limited to, the stomach, uninvolved liver parenchyma, esophagus, duodenum, kidneys, spinal cord, and bowel. The planning target volume was generated by applying a 3–5 mm isotropic expansion margin to the GTV.

The prescribed radiation doses ranged from 48 to 55 Gy, delivered in 5 to 8 fractions. The corresponding BED, calculated using the linear-quadratic model with an α/β ratio of 10 Gy for HCC [BED = Total dose × (1 + Fraction dose/(α/β))], ranged from 76.8 to 105.6 Gy. Dosimetric optimization ensured that 80%–100% of the GTV received the prescribed dose as defined by the encompassing isodose curve. All treatment plans were computationally optimized, and dose calculations were performed using the CyberKnife Multiplan® treatment planning system (software versions 4.0.2 and 4.1.0), incorporating inverse planning algorithms to achieve optimal dose conformity while adhering to established organ-at-risk constraints (AAPM TG101 report6 and Timmermen sheet7).

Treatment procedure of TACE group

The TACE procedure was performed as a single-session intervention following SBRT, with a median interval of 2 days (range, 1–5 days) between the completion of SBRT and TACE. Under local anesthesia, the femoral artery was catheterized using the Seldinger technique. Subsequent hepatic angiography visualized the arterial anatomy, including the common hepatic artery and its branches. After identifying tumor staining, interventional radiologists advanced a microcatheter into the tumor-feeding artery and administered an emulsion of 5–20 mL iodinated oil (Lipiodol; Guerbet, Aulnay-sous-Bois, France) and 40 mg of epirubicin. In cases of confirmed arteriovenous shunting, embolization was supplemented with gelatin sponge particles (Cutanplast; Mascia Bruneili S.p.A., Milano, Italy). The embolization endpoint was defined as near-stasis of antegrade flow in the target vessel.

Toxicity assessment methodology

Treatment-related toxicities were systematically evaluated using the National Cancer Institute’s Common Terminology Criteria for Adverse Events (CTCAE v4.0).8 For patients undergoing CyberKnife®-delivered stereotactic body radiotherapy, hepatotoxicity was assessed using established radiation-induced liver disease (RILD) criteria9,10: classical RILD (anicteric hepatomegaly, ascites, and elevated alkaline phosphatase > 2× upper limit of normal) and non-classical RILD (≥Grade 3 transaminase elevation or liver function deterioration meeting CTCAE criteria).

Longitudinal surveillance protocol

A standardized follow-up protocol was implemented, wherein all participants underwent clinical assessments every 3 months for the first 24 months, then every 6 months until September 2025 or death, whichever occurred first. Comprehensive surveillance included systematic physical examinations, imaging (thoracic CT, contrast-enhanced abdominal CT or MRI, and additional modality-specific studies as clinically indicated), and laboratory tests (complete blood count, hepatic function panel, coagulation profile, and serum alpha-fetoprotein quantification).

Statistical analysis

Overall survival (OS) was defined as the time from the initiation of SBRT to the date of last follow-up or death from any cause. Progression-free survival (PFS) was measured from SBRT initiation to radiographic disease progression or death from any cause. Local control (LC) referred to the interval between SBRT initiation and progression of the irradiated lesion, as assessed by contrast-enhanced CT or MRI according to mRECIST criteria.11 Imaging reviews were performed by radiologists blinded to the treatment assignment. To mitigate potential selection bias, propensity score matching (PSM) was performed using a multivariable logistic regression model that included the following clinically relevant covariates: gender, age, etiology of underlying chronic hepatitis, Child-Pugh classification, maximum tumor diameter, BED, serum alpha-fetoprotein level, portal vein tumor thrombus, treatment history (categorized as recurrence after one prior treatment or after multiple treatments), and ECOG performance status. A 2:1 (SBRT group: SBRT plus TACE group) nearest-neighbor matching algorithm with a caliper width of 0.02 logit standard deviations was applied, and unmatched cases were subsequently excluded from analysis. After matching, balance was assessed using the absolute standardized mean difference (SMD), with an SMD < 0.1 considered to indicate good balance. All matched covariates achieved an SMD below this threshold.

Survival was analyzed using the Kaplan-Meier method, with between-group comparisons evaluated by log-rank tests. Both unadjusted and adjusted hazard ratios (HRs) were calculated through Cox proportional hazards regression modeling. Categorical baseline characteristics were compared using Pearson’s χ2 tests or Fisher’s exact tests, as appropriate for the data distribution. Statistical significance was set at a two-sided α of 0.05, with computations performed using STATA version 17.0 (Stata Corp LLC, College Station, TX) and SPSS version 24.0 (IBM Corporation, Armonk, NY) statistical software packages, and website: https://mengte.online .

Results

The baseline characteristics of the patients are summarized in Table 1. The initial cohort included 152 patients, comprising 109 in the SBRT group and 43 in the SBRT plus TACE group. After 2:1 ratio PSM, the final analysis consisted of 68 SBRT and 36 SBRT plus TACE patients. The quality of this matching was assessed by comparing the propensity score distributions before and after PSM, as evidenced by the density curves in Figure 1 (the love plot is shown as Supplementary Fig. 1), which demonstrated markedly improved covariate balance. No significant differences in baseline characteristics remained after matching.

Table 1

Baseline characteristics of the study population

VariablesBefore matching
After matching
SBRT group (n = 109)SBRT plus TACE group (n = 43)p-valueSMDSBRT group (n = 68)SBRT plus TACE group (n = 36)p-valueSMD
Child-Pugh classification, n (%)0.9720.0771.0000.091
  A102 (93.578)41 (95.349)67 (98.529)35 (97.222)
  B7 (6.422)2 (4.651)1 (1.471)1 (2.778)
Platelet count, n (%)0.6540.0810.7200.074
  <100×109/L50 (45.872)18 (41.860)27 (39.706)13 (36.111)
  ≥100×109/L59 (54.128)25 (58.140)41 (60.294)23 (63.889)
Alpha-fetoprotein, n (%)0.6380.0840.9680.008
  <200 ng/mL85 (77.982)32 (74.419)55 (80.882)29 (80.556)
  ≥200 ng/mL24 (22.018)11 (25.581)13 (19.118)7 (19.444)
Type of Chronic hepatitis, n (%)0.4480.1821.0000.065
  Hepatitis virus B100 (91.743)37 (86.047)59 (86.765)32 (88.889)
  Hepatitis virus C9 (8.257)6 (13.953)9 (13.235)4 (11.111)
Age (years), n (%)0.5570.1050.7620.062
  <60 years64 (58.716)23 (53.488)38 (55.882)19 (52.778)
  ≥60 years45 (41.284)20 (46.512)30 (44.118)17 (47.222)
BED (α/β = 10), n (%)0.0180.4621.0000.019
  <100 Gy36 (33.028)6 (13.953)9 (13.235)5 (13.889)
  ≥100 Gy73 (66.972)37 (86.047)59 (86.765)31 (86.111)
Gender, n (%)0.5170.1200.6220.103
  Female20 (18.349)6 (13.953)12 (17.647)5 (13.889)
  Male89 (81.651)37 (86.047)56 (82.353)31 (86.111)
Portal vein tumor thrombus, n (%)0.9880.0570.9790.076
  Without97 (88.991)39 (90.698)62 (91.176)32 (88.889)
  With12 (11.009)4 (9.302)6 (8.824)4 (11.111)
Maximum tumor diameter (cm), n (%)0.2880.1841.0000.036
  <5cm98 (89.908)36 (83.721)63 (92.647)33 (91.667)
  ≥5cm11 (10.092)7 (16.279)5 (7.353)3 (8.333)
ECOG PS score, n (%)0.7230.0640.8860.029
  078 (71.560)32 (74.419)50 (73.529)26 (72.222)
  131 (28.440)11 (25.581)18 (26.471)10 (27.778)
Previous treatment, n (%)0.1120.2970.7480.067
  Once69 (63.303)33 (76.744)49 (72.059)27 (75.000)
  Twice or more40 (36.697)10 (23.256)19 (27.941)9 (25.000)
Density curves of propensity scores demonstrating improved balance after matching.
Fig. 1  Density curves of propensity scores demonstrating improved balance after matching.

SBRT, stereotactic body radiation therapy; TACE, transarterial chemoembolization.

Survival outcome

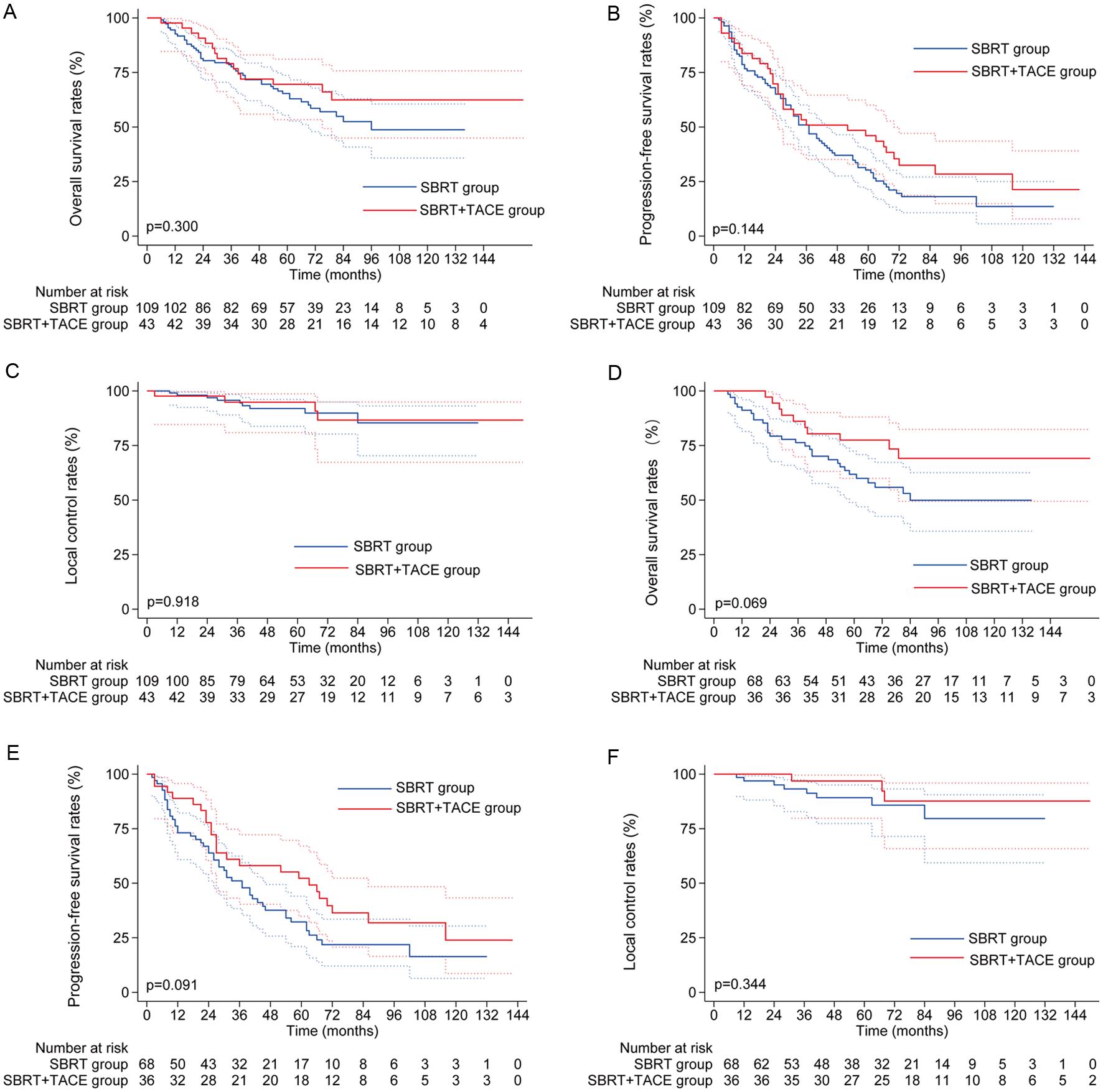
Before matching, the one-, three-, and five-year OS rates were 92.6%, 77.6%, and 65.4% for the SBRT group versus 97.7%, 79.1%, and 69.5% for the SBRT plus TACE group ( p = 0.300; Fig. 2A). Corresponding PFS rates were 76.7%, 50.9%, and 30.2% versus 83.7%, 50.9%, and 46.0% ( p = 0.144; Fig. 2B), and LC rates were 98.1%, 95.7%, and 92.0% versus 97.7%, 94.9%, and 94.9% ( p = 0.918; Fig. 2C).

Kaplan-Meier survival curves before and after propensity score-matched analysis.
Fig. 2  Kaplan-Meier survival curves before and after propensity score-matched analysis.

Before propensity score-matched analysis: (A) Overall survival rates, (B) Progression-free survival rates, (C) Local control rates. After propensity score-matched analysis: (D) Overall survival rates, (E) Progression-free survival rates, (F) Local control rates. SBRT, Stereotactic body radiotherapy; TACE, Transarterial chemoembolization.

Following PSM, the SBRT plus TACE group showed numerically higher survival rates across all endpoints. The one-, three-, and five-year OS rates were 91.2%, 76.3%, and 61.8% with SBRT alone compared to 100.0%, 86.1%, and 77.5% with combination therapy (p = 0.069; Fig. 2D). PFS rates were 73.1%, 51.1%, and 32.3% versus 88.9%, 58.1%, and 52.3% (p = 0.091; Fig. 2E), and LC rates were 96.9%, 93.2%, and 89.2% versus 100.0%, 96.9%, and 96.9% (sp = 0.344; Fig. 2F).

The results of the univariate and multivariate analyses for prognostic factors are shown in Figure 3. Before matching, Child-Pugh classification emerged as an independent predictor for OS (Fig. 3A), while platelet count was independently associated with PFS (Fig. 3B). Additionally, patients co-infected with hepatitis C virus exhibited inferior LC compared to those with hepatitis B virus co-infection (Fig. 3C).

Univariate and Multivariate Cox regression analysis before and after propensity score-matched analysis: Before propensity score-matched analysis.
Fig. 3  Univariate and Multivariate Cox regression analysis before and after propensity score-matched analysis: Before propensity score-matched analysis.

(A) Overall survival rates, (B) Progression-free survival rates, (C) Local control rates. After propensity score-matched analysis: (D) Overall survival rates, (E) Progression-free survival rates, (F) Local control rates. SBRT, Stereotactic body radiotherapy; TACE, Transarterial chemoembolization; ECOG PS Score, Eastern Cooperative Oncology Group Performance Status Score.

After matching, the treatment group and Child-Pugh classification remained significant factors for OS (Fig. 3D), and platelet count and gender were prognostic factors for PFS (Fig. 3E). In the final multivariate analysis of the matched cohort, no significant independent prognostic factors were identified (Fig. 3F).

Treatment outcomes and disease progression

With a median follow-up of 76 months (range: 6–161), disease recurrence or metastatic progression was observed in 110 patients (SBRT group: 80 cases; SBRT plus TACE group: 30 cases) by September 2025. Sixty patients died (SBRT group: 45 deaths; SBRT plus TACE group: 15 deaths). A comparison of metastasis patterns, subsequent therapies, and mortality before and after matching is provided in Table 2.

Table 2

Number of metastases, subsequent therapies, and death

Before PSM
After PSM
Total enrolled patients (n = 152)SBRT group (n = 109)SBRT plus TACE group (n = 43)SBRT group (n = 68)SBRT plus TACE group (n = 36)
Number of patients with metastases (% of Total)110 (72.36%)80 (73.39%)30 (69.77%)49 (72.06%)24 (66.67%)
Metastases (% of recurrent cases)
  Single organ metastasis96 (87.27%)69 (63.30%)27 (62.79%)46 (67.65%)22 (61.11%)
    Liver90 (81.82%)67 (61.47%)23 (53.49%)45 (66.18%)18 (50.00%)
    In-field recurrence13 (11.82%)9 (13.04%)4 (14.81%)8 (17.39%)3 (13.64%)
    Bone3 (2.73%)1 (0.92%)2 (4.65%)1 (1.47%)2 (5.56%)
    Lung1 (0.91%)0 (0.00%)1 (2.33%)0 (0.00%)1 (2.78%)
    Lymph node1 (0.91%)1 (0.92%)0 (0.00%)0 (0.00%)0 (0.00%)
    Pelvis1 (0.91%)0 (0.00%)1 (2.33%)0 (0.00%)1 (2.78%)
  Multiple organ metastasis14 (12.73%)11 (10.09%)3 (6.98%)3 (4.41%)2 (5.56%)
  Metastases to two organs12 (10.91%)9 (8.26%)3 (6.98%)2 (2.94%)2 (5.56%)
  Metastases to three organs2 (1.82%)2 (1.83%)0 (0.00%)1 (1.47%)0 (0.00%)
  Subsequent therapies (% of recurrent cases)
    Single treatment50 (45.45%)35 (32.11%)15 (34.88%)19 (27.94%)13 (36.11%)
    Multiple treatments (≥2 sessions)32 (29.09%)25 (22.94%)7 (16.28%)17 (25.00%)6 (16.67%)
    Conservative treatment28 (25.45%)20 (18.35%)8 (18.60%)13 (19.12%)5 (13.89%)
  Number of patients who died (% of Total)60 (54.55%)45 (41.28%)15 (34.88%)30 (44.12%)10 (27.78%)

Treatment-related toxicity and complications

All patients completed the planned SBRT course. Acute grade 1–2 toxicities, including fatigue, vomiting, anorexia, and abdominal pain, were observed in 56 patients (51.32%), with 42 cases in the SBRT-alone group and 14 in the SBRT plus TACE group. No acute grade 3 or higher toxicities were recorded. RILD was diagnosed in 11 patients (7.23%), comprising 8 (6.98%) in the SBRT group and 3 in the combination group. Its primary manifestations were mild ascites or a modest decline in albumin, resulting in a Child-Pugh score increase of 2 points from baseline. In the SBRT plus TACE group, 8 (18.60%) patients experienced transient epigastric pain following TACE, and 2 (4.65%) developed post-procedural fever, which was ruled out as infectious after laboratory tests. All these adverse events were managed effectively with symptomatic medication. Critically, no treatment-related deaths occurred in either group.

Discussion

In the management of primary and recurrent HCC with tumor lesions ≤ 5 cm, effective local treatments include surgical resection, RFA, and SBRT. A multicenter retrospective study12 compared RFA, SBRT, and surgical resection for the treatment of single HCC (≤5 cm). The results showed that surgical resection provided the most optimal local tumor control, followed by SBRT and RFA. In addition, the recurrence-free survival (RFS) achieved with SBRT was comparable to that of resection. Furthermore, SBRT demonstrated superior RFS over ablation specifically for tumors adjacent to intrahepatic vessels. Our previous studies13,14 found that for patients with previously untreated HCC, SBRT achieves efficacy comparable to both RFA and surgical resection. Notably, we also found that for HCCs situated in liver segments S7/S8, SBRT provides significantly better LC than RFA. In a randomized controlled trial of recurrent small HCC, Yaojun Zhang et al.15 demonstrated that SBRT achieved better LC (as measured by local progression-free survival), compared with RFA, especially for tumors ≤ 2 cm. However, no significant differences were found in PFS, OS, or safety between the two treatments. These findings support SBRT as an effective treatment option for both primary and recurrent HCC.

Interventional procedures can serve not only as a therapeutic approach for HCC but also, in some cases, as an effective adjunct diagnostic tool. Historically, some medical institutions routinely administered interventional therapy after local treatment, believing it could reduce the risk of recurrence and metastasis. An earlier phase III randomized controlled trial16 demonstrated that the combination of TACE with RFA was associated with significantly improved OS compared to RFA alone. However, a randomized phase III clinical trial conducted by Professor Liang Tingbo’s team17 challenged this practice. The trial enrolled 332 HCC patients with histologically confirmed AJCC TNM stage I or II disease. These patients were randomized to either postoperative adjuvant TACE or observation only following curative resection. The study results demonstrated that postoperative adjuvant TACE was not associated with prolonged RFS or OS in this patient population.

Previous studies18,19 showed that following treatment for recurrent HCC, the risk of subsequent recurrence remains substantial, coupled with a short progression-free interval. In this study, preventive TACE following SBRT did not significantly improve LC. Similarly, the addition of TACE did not lead to statistically significant improvements in PFS (HR = 0.620, 95% CI 0.378–1.018) or OS (HR = 0.429, 95% CI 0.206–0.894). While the survival curves demonstrated late separation and the point estimate for OS was substantial, these findings must be interpreted in the context of their statistical uncertainty. It is noteworthy that the upper bound of the 95% CI for OS (0.894) lies below 1.0, indicating that the data do not suggest a harmful effect at the population level. The observed pattern of late curve separation, though not statistically confirmed, is consistent with a delayed treatment effect. One biologically plausible explanation for such a pattern could be the suppression of subclinical lesions, which are prevalent in recurrent HCC. Therefore, while this study does not provide evidence to change clinical practice, the collective data—comprising the direction and magnitude of effect estimates, the reassuring confidence interval for OS, and the visual curve morphology—generate a coherent and mechanistically grounded hypothesis. Combining SBRT with TACE (and potentially immunotherapy) should be considered a candidate strategy for future investigation. This hypothesis warrants definitive testing in a prospective, adequately powered trial designed to detect a potential delayed survival benefit in recurrent HCC.

With the development of clinical research, radiation-induced immunogenic cell death may prime a systemic anti-tumor immune response, which could be synergistically augmented by the localized inflammatory effect of TACE, collectively contributing to the control of subclinical or micrometastatic disease. Looking forward, this rationale aligns with the evolving paradigm of combining radiotherapy with systemic agents. The success of the EMERALD-1 phase III trial,20 which established the significant benefit of adding durvalumab (an anti-PD-L1 immune checkpoint inhibitor) and bevacizumab to TACE in intermediate-stage HCC, robustly validates the concept of integrating locoregional therapy with modern systemic therapy. Therefore, this evolving rationale warrants further exploration of combining SBRT, TACE, and immunotherapy as a promising strategy to improve outcomes in recurrent HCC.

While a previous prospective study21 demonstrated superior outcomes for TACE combined with radiotherapy over radiotherapy alone, it should be noted that TACE was administered prior to radiotherapy in that protocol. In contrast, our study examined the reverse sequence—TACE delivered after SBRT. This intentional sequencing is grounded in a distinct biological rationale involving high-dose radiation-induced modulation of the tumor microenvironment. Although SBRT exerts potent cytotoxic effects, evidence indicates it can also induce transient vascular dysfunction and hypoxia within residual tumor tissue.22,23 This post-radiation state may improve the delivery and therapeutic efficacy of chemotherapeutic agents administered in subsequent TACE. Simultaneously, the embolization component of TACE may inhibit hypoxia-driven neovascularization. Through this sequential strategy, we intended to convert potential recurrence-promoting factors into a synergistic benefit of the combined modality.

In our study, TACE was deliberately administered as a single session utilizing epirubicin as the sole chemotherapeutic agent. This conservative strategy aimed to minimize the risk of cumulative toxicity, particularly considering the potential for delayed radiation-induced adverse events. TACE chemotherapeutic regimens vary widely across institutions, with common agents including anthracyclines, platinum-based drugs, mitomycin, fluorouracil, and raltitrexed. A recent open-label, randomized phase IV trial conducted by Haikuan Liu et al.24 in 2025 reported superior efficacy of idarubicin-based TACE regimens in BCLC stage B HCC patients. The idarubicin group demonstrated significantly improved median PFS and OS compared to the epirubicin group, while maintaining a comparable safety profile with no significant differences in adverse event rates, including hematological toxicities. The optimal frequency of TACE sessions, particularly as adjuvant treatment, remains controversial. A previous study25 suggested that repeated adjuvant TACE following RFA was associated with improved survival compared to a single session. However, no consensus exists regarding the number of TACE sessions when combined with SBRT, highlighting the need for further investigation.

Based on the survival outcomes of this study, Child-Pugh classification was identified as a significant determinant of OS. This scoring system not only reflects the severity of liver cirrhosis, with higher scores indicating an elevated risk of cirrhosis-related complications, but also serves as a critical factor in determining eligibility for further treatment upon disease recurrence. Importantly, the clinical utility of the Child-Pugh score extends beyond determining treatment eligibility to directly reflect hepatic functional reserve, which is critical for tolerance to locoregional therapies. Patients with poor Child-Pugh scores often become unsuitable for additional anticancer therapies despite tumor recurrence.

Furthermore, platelet count emerged as an independent predictor of PFS. Platelets are a well-established indicator of hepatic functional reserve, and their reduction is closely associated with the progression of cirrhosis. Progressive portal hypertension exacerbates hypersplenism over time, leading to a further decline in platelet counts. This thrombocytopenia may signify not only portal hypertension but also an underlying state of chronic inflammation that fosters a pro-tumorigenic microenvironment and could impair treatment response. We hypothesize that patients with more advanced cirrhosis may be more prone to malignant transformation from dysplastic nodules into HCC, which could partly explain the observed association between lower platelet counts and poorer PFS.

This study has several limitations. First, its single-center, retrospective design inherently carries risks of selection bias and limits the generalizability of the findings due to the lack of an external validation cohort. Second, while PSM was employed to balance measurable baseline characteristics, residual confounding from unrecorded variables, such as detailed tumor location (e.g., proximity to vessels) or the degree of response to prior therapies, cannot be excluded. Third, our analysis lacks detailed dosimetric data, including radiation dose to the non-tumor liver parenchyma and the cumulative chemotherapeutic dose from prior and concurrent treatments, which may influence long-term liver function and toxicity outcomes. Fourth, the potential influence of prior transarterial therapy cannot be fully discounted, despite our protocol requiring a treatment-free interval and radiological confirmation of progression prior to enrollment. Fifth, the study did not incorporate patient-reported outcomes or serial liver function assessments, thereby missing an evaluation of quality of life and the dynamic impact of treatment on hepatic reserve. Finally, and most critically in interpreting the primary results, the modest sample size, even after matching, likely rendered the study underpowered to detect clinically meaningful differences. This is reflected in the non-significant p-values observed despite a visual separation in the survival curves. Consequently, larger, prospective, multicenter studies are warranted to validate these findings.

This exploratory study evaluated the feasibility and preliminary efficacy of combining SBRT with TACE for recurrent HCC. Although the observed survival benefit did not reach conventional statistical significance, the combination regimen demonstrated a consistent, directional trend toward improved outcomes and was not associated with increased toxicity.

Conclusions

This study provides the first clinical evidence and a mechanistic rationale for the hypothesis that adjunctive TACE may suppress subclinical disease following SBRT. We further propose that optimizing the TACE component, such as through repeated sessions or modulated chemotherapeutic regimens, may enhance its therapeutic effect. Therefore, this study not only establishes the safety profile of the combined approach but also generates a robust, clinically grounded hypothesis that merits definitive evaluation. Prospective, adequately powered trials are now warranted to validate this strategy and determine its role in the management of recurrent HCC.

Supporting information

Supplementary Fig. 1

Love plot showing the absolute standardized mean differences for baseline covariates before and after matching.

ECOG PS Score, Eastern Cooperative Oncology Group Performance Status Score.

(PDF)

Declarations

Ethical statement

The Ethics Committee Board of the Fifth Medical Center of PLA General Hospital approved this retrospective study and waived the requirement for patient consent for this retrospective review (Approval Number:KY-2025-12-233). This study complied with the Declaration of Helsinki (as revised in 2024). The authors confirm that this study strictly abided by relevant laws and regulations and did not disclose patient personal information or related information to any other personnel or organizations; thus, the security and confidentiality of patient information were ensured.

Data sharing statement

The datasets used to support the findings of this study are included within the article.

Funding

This study protocol was supported by the following grants: National Natural Science Foundation of China (Grant Number: 82202968, JS) and National Natural Science Foundation of China (Grant Number: 81972856, XZD).

Conflict of interest

The authors have no conflict of interests related to this publication.

Authors’ contributions

Data analysis and interpretation, and drafting and revision of the manuscript for critically important intellectual content (JHW, JQD), data acquisition (JS, WPH), manuscript preparation (JHW, JQD, JS, WPH), and provision of final approval of the version to be published (XZD, WGL). All authors have read and approved the final version.

References

  1. Bray F, Laversanne M, Sung H, Ferlay J, Siegel RL, Soerjomataram I, et al. Global cancer statistics 2022: GLOBOCAN estimates of incidence and mortality worldwide for 36 cancers in 185 countries. CA Cancer J Clin 2024;74(3):229-263 View Article PubMed/NCBI
  2. Heimbach JK, Kulik LM, Finn RS, Sirlin CB, Abecassis MM, Roberts LR, et al. AASLD guidelines for the treatment of hepatocellular carcinoma. Hepatology 2018;67(1):358-380 View Article
  3. European Association for the Study of the Liver. EASL Clinical Practice Guidelines: Management of hepatocellular carcinoma. J Hepatol 2018;69(1):182-236 View Article PubMed/NCBI
  4. Zeng ZC, Seong J, Yoon SM, Cheng JC, Lam KO, Lee AS, et al. Consensus on Stereotactic Body Radiation Therapy for Small-Sized Hepatocellular Carcinoma at the 7th Asia-Pacific Primary Liver Cancer Expert Meeting. Liver Cancer 2017;6(4):264-274 View Article PubMed/NCBI
  5. Hu H, Zhao Y, He C, Qian L, Huang P. Ultrasonography of Hepatocellular Carcinoma: From Diagnosis to Prognosis. J Clin Transl Hepatol 2024;12(5):516-524 View Article PubMed/NCBI
  6. Benedict SH, Yenice KM, Followill D, Galvin JM, Hinson W, Kavanagh B, et al. Stereotactic body radiation therapy: the report of AAPM Task Group 101. Med Phys 2010;37(8):4078-4101 View Article PubMed/NCBI
  7. Timmerman R. A Story of Hypofractionation and the Table on the Wall. Int J Radiat Oncol Biol Phys 2022;112(1):4-21 View Article PubMed/NCBI
  8. National Cancer Institute. Common Terminology Criteria for Adverse Events (CTCAE) v4.0. Bethesda, MI: National Cancer Institute; 2009
  9. Lawrence TS, Robertson JM, Anscher MS, Jirtle RL, Ensminger WD, Fajardo LF. Hepatic toxicity resulting from cancer treatment. Int J Radiat Oncol Biol Phys 1995;31(5):1237-1248 View Article PubMed/NCBI
  10. Liang SX, Huang XB, Zhu XD, Zhang WD, Cai L, Huang HZ, et al. Dosimetric predictor identification for radiation-induced liver disease after hypofractionated conformal radiotherapy for primary liver carcinoma patients with Child-Pugh Grade A cirrhosis. Radiother Oncol 2011;98(2):265-269 View Article PubMed/NCBI
  11. Lencioni R, Llovet JM. Modified RECIST (mRECIST) assessment for hepatocellular carcinoma. Semin Liver Dis 2010;30(1):52-60 View Article PubMed/NCBI
  12. Fu Y, Yang Z, Liu S, Guan R, Wang X, Chen J, et al. Comparison of resection, ablation, and stereotactic body radiation therapy in treating solitary hepatocellular carcinoma ≤5 cm: a retrospective, multicenter, cohort study. Int J Surg 2025;111(1):1535-1540 View Article PubMed/NCBI
  13. Sun J, Li W, He W, Yang Y, Duan L, Su T, et al. Radiofrequency Ablation Therapy versus Stereotactic Body Radiation Therapy for Naive Hepatocellular Carcinoma (≤5cm): A Retrospective Multi-Center Study. J Hepatocell Carcinoma 2024;11:2199-2210 View Article PubMed/NCBI
  14. Sun J, Wang Q, Hong ZX, Li WG, He WP, Zhang T, et al. Stereotactic body radiotherapy versus hepatic resection for hepatocellular carcinoma (≤ 5 cm): a propensity score analysis. Hepatol Int 2020;14(5):788-797 View Article PubMed/NCBI
  15. Xi M, Yang Z, Hu L, Fu Y, Hu D, Zhou Z, et al. Radiofrequency Ablation Versus Stereotactic Body Radiotherapy for Recurrent Small Hepatocellular Carcinoma: A Randomized, Open-Label, Controlled Trial. J Clin Oncol 2025;43(9):1073-1082 View Article PubMed/NCBI
  16. Zhang YJ, Chen MS, Chen Y, Lau WY, Peng Z. Long-term Outcomes of Transcatheter Arterial Chemoembolization Combined With Radiofrequency Ablation as an Initial Treatment for Early-Stage Hepatocellular Carcinoma. JAMA Netw Open 2021;4(9):e2126992 View Article PubMed/NCBI
  17. Ma T, Bai X, Zhang Q, Chen W, Huang K, Qian T, et al. Adjuvant transarterial chemoembolization for hepatocellular carcinoma following curative resection: A randomized, open-label, phase 3 trial. Hepatology 2025;82(5):1112-1121 View Article PubMed/NCBI
  18. Itamoto T, Nakahara H, Amano H, Kohashi T, Ohdan H, Tashiro H, et al. Repeat hepatectomy for recurrent hepatocellular carcinoma. Surgery 2007;141(5):589-597 View Article PubMed/NCBI
  19. Poon RT, Fan ST, Ng IO, Lo CM, Liu CL, Wong J. Different risk factors and prognosis for early and late intrahepatic recurrence after resection of hepatocellular carcinoma. Cancer 2000;89(3):500-507 View Article PubMed/NCBI
  20. Lencioni R, Kudo M, Erinjeri J, Qin S, Ren Z, Chan S, et al. EMERALD-1: A phase 3, randomized, placebo-controlled study of transarterial chemoembolization combined with durvalumab with or without bevacizumab in participants with unresectable hepatocellular carcinoma eligible for embolization. J Clin Oncol 2024;42:LBA432-LBA View Article
  21. Wong N, Chiang Cl, Chiu W, Ho C, Zhang S, Ha J, et al. Individualized Hypo-fractionated Radiotherapy (IHRT) for Advanced Hepatocellular Carcinoma (HCC): 11-Year Experience of 172 patients. Int J Radiat Oncol Biol Phys 2019;105:S159 View Article
  22. Castle KD, Kirsch DG. Establishing the Impact of Vascular Damage on Tumor Response to High-Dose Radiation Therapy. Cancer Res 2019;79(22):5685-5692 View Article PubMed/NCBI
  23. Inada M, Nishimura Y, Hanaoka K, Nakamatsu K, Doi H, Uehara T, et al. Visualization of tumor hypoxia and re-oxygenation after stereotactic body radiation therapy in early peripheral lung cancer: A prospective study. Radiother Oncol 2023;180:109491 View Article PubMed/NCBI
  24. Liu H, Fan W, Li H, Qiao L, Liu Z, Zhu B, et al. Idarubicin versus Epirubicin in Transarterial Chemoembolization for Barcelona Clinic Liver Cancer Stage B Hepatocellular Carcinoma: An Open-label, Randomized, Phase IV Trial. Radiology 2025;315(2):e242315 View Article PubMed/NCBI
  25. Liu W, Xu H, Ying X, Zhang D, Lai L, Wang L, et al. Radiofrequency Ablation (RFA) Combined with Transcatheter Arterial Chemoembolization (TACE) for Patients with Medium-to-Large Hepatocellular Carcinoma: A Retrospective Analysis of Long-Term Outcome. Med Sci Monit 2020;26:e923263 View Article PubMed/NCBI

About this Article

Cite this article
Wu JH, Ding JQ, Sun J, He WP, Duan XZ, Li WG. Efficacy of Sequential Transarterial Chemoembolization after Stereotactic Body Radiation Therapy versus Radiation Therapy Alone for Recurrent Hepatocellular Carcinoma: A Propensity Score-matched Analysis. J Clin Transl Hepatol. Published online: Mar 13, 2026. doi: 10.14218/JCTH.2025.00568.
Copy        Export to RIS        Export to EndNote
Article History
Received Revised Accepted Published
November 2, 2025 December 28, 2025 February 25, 2026 March 13, 2026
DOI http://dx.doi.org/10.14218/JCTH.2025.00568
  • Journal of Clinical and Translational Hepatology
  • pISSN 2225-0719
  • eISSN 2310-8819
Back to Top

Efficacy of Sequential Transarterial Chemoembolization after Stereotactic Body Radiation Therapy versus Radiation Therapy Alone for Recurrent Hepatocellular Carcinoma: A Propensity Score-matched Analysis

Jian-Hui Wu, Jun-Qiang Ding, Jing Sun, Wei-Ping He, Xue-Zhang Duan, Wen-Gang Li
  • Reset Zoom
  • Download TIFF