v
Search
Advanced

Publications > Journals > Journal of Clinical and Translational Hepatology> Article Full Text

  • OPEN ACCESS

A Novel Simplified Prognostic Model for 90-day Transplant-free Survival in Patients with Severe Acute Liver Injury/Acute Liver Failure

  • Yan Ren1,2,#,
  • Manman Xu1,2,#,
  • Wenling Wang1,2,
  • Ming Kong1,2 and
  • Yu Chen1,2,* 
 Author information 

Abstract

Background and Aims

Early risk stratification of severe acute liver injury (SLI), a precursor to acute liver failure (ALF), is vital for timely intervention, but no universal prognostic assessment tool covers both conditions. This study aimed to develop a simplified prognostic model for early risk assessment in SLI/ALF patients.

Methods

A retrospective cohort study consecutively enrolled SLI patients (including those progressing to ALF) from July 1, 2020 to May 31, 2025. Baseline clinical and laboratory data on admission were collected, with 90-day transplant-free survival as the primary outcome. Independent prognostic factors were screened via Cox regression to build a simplified scoring model, whose performance was compared with the Model for End-Stage Liver Disease (MELD), King’s College Criteria (KCC), and the Acute Liver Failure Study Group Prognostic Index (ALFSG-PI).

Results

Of 302 patients, 190 (62.9%) achieved 90-day transplant-free survival. Multivariate Cox regression identified international normalized ratio (hazard ratio [HR]: 1.118, 95% confidence interval [CI]: 1.050–1.191), platelet count (HR: 0.995, 95% CI: 0.993–0.998), and hepatic encephalopathy grade ≥ 2 (HR: 5.187, 95% CI: 3.403–7.907) as independent predictors, forming the HIP (derived from the above-mentioned three predictors) model. It showed good discrimination ((area under the receiver operating characteristic curve [AUC]): 0.82), outperforming MELD (AUC: 0.76, P = 0.019) and KCC (AUC: 0.72, P = 0.002), and performing comparably to ALFSG-PI (AUC: 0.80, P = 0.429). The model also performed robustly in ALF subgroups defined by the American College of Gastroenterology and the 2024 Chinese Medical Association guidelines (AUCs: 0.80 and 0.76, respectively) and achieved an AUC of 0.85 in the validation set.

Conclusions

The HIP model is a simple and effective tool for prognostic risk stratification in SLI/ALF patients, suitable for emergency and primary care to facilitate timely intervention.

Graphical Abstract

Keywords

Severe acute liver injury, Acute liver failure, Prognostic model, Hepatic encephalopathy, International normalized ratio, Platelet count

Introduction

Severe acute liver injury (SLI) represents a critical stage in the progression of acute liver disease. It is generally defined as acute liver injury characterized by a marked elevation of serum transaminases accompanied by severe coagulopathy (international normalized ratio [INR] ≥ 1.5) in patients without pre-existing chronic liver disease.1–3 The majority of patients with SLI may recover with appropriate treatment.4,5 However, once SLI progresses to hepatic encephalopathy (HE), the disease enters the stage of acute liver failure (ALF), which is associated with an extremely high short-term mortality.6,7 Consequently, early identification of high-risk patients during the SLI stage is of comparable clinical importance to prognostic assessment after the onset of ALF.

Currently, the main prognostic assessment tools for patients with ALF in clinical practice include the Acute Liver Failure Study Group Prognostic Index (ALFSG-PI), King’s College Criteria (KCC), and the Model for End-Stage Liver Disease (MELD) score.8 Even though no single biomarkers have consistently outperformed these prognostic models such as the KCC and MELD score,9 all these models have their clinical limitations. The MELD score was not originally developed for ALF and does not incorporate HE, a key determinant of prognosis.10 The KCC, while highly specific in non–acetaminophen-related ALF, suffers from low sensitivity, potentially delaying liver transplantation in high-risk patients.10–12 Although the ALFSG-PI demonstrates good predictive performance,13 its complexity and reliance on multiple variables limit its applicability in emergency settings and primary care institutions. Moreover, most existing prognostic models14–17 were developed exclusively for ALF and do not target at identifying risk factors for the earlier SLI stage, during which timely clinical intervention may alter the disease trajectory. Given the dynamic progression from SLI to ALF after hospital presentation, we enrolled patients with SLI, including those who fulfilled diagnostic criteria for ALF, to develop an integrated and simplified prognostic model applicable across both stages. This study aimed to establish a practical tool based on readily available clinical parameters to facilitate early risk stratification, dynamic prognostic assessment, and timely decision-making regarding intensive management and liver transplantation.

Methods

Patients and data collection

This study was conducted as a retrospective investigation divided into two phases. In the first phase (training cohort), we consecutively enrolled patients admitted to our center between July 1, 2020, and May 31, 2025. Included patients had no known history of chronic liver disease and presented with a prothrombin activity (PTA) ≤ 40% or an INR ≥ 1.5, with or without HE. The second phase (validation cohort) included patients who presented to our center between June 1, 2025, and December 25, 2025, and met the same inclusion criteria in order to further validate the predictive performance of the model.

The exclusion criteria were as follows: (1) malignancy; (2) human immunodeficiency virus infection; (3) hematologic disorders affecting coagulation or active bleeding; (4) concomitant end-stage chronic pulmonary, cardiac, or renal disease; (5) pregnancy in female patients; and (6) incomplete baseline clinical and laboratory data. The diagnosis of ALF was established according to the criteria proposed by the American College of Gastroenterology (ACG) in 202318 and the 2024 Chinese Medical Association (CMA) guidelines for liver failure.19

Baseline data on admission were extracted from the electronic medical record system, including demographic characteristics (age and sex), etiology, HE grade assessed using the West Haven criteria,20 and relevant laboratory parameters. The use of vasoactive agents was recorded. The etiology of ALF was determined based on a comprehensive evaluation of medical history, incorporating laboratory findings, imaging studies, and histopathological examination (if available). Cases with an unidentified etiology were classified as having unknown etiology. Patients were followed until recovery, death, liver transplantation, or 90 days after admission, whichever came first. The MELD score was calculated as follows:21 3.78 × ln (bilirubin [mg/dL]) + 11.2 × ln (INR) + 9.57 × ln (creatinine [mg/dL]) + 6.43 (constant for liver disease etiology). The KCC22 and ALFSG-PI13 were calculated according to previously published methods.

This study was conducted in accordance with the Declaration of Helsinki and was approved by the Ethics Committee of Beijing YouAn Hospital, Capital Medical University (No. 2020-079). Written informed consent was obtained from all patients.

Statistical analysis

All statistical analyses were performed using R software (version 4.2.2). Continuous variables were presented as mean ± standard deviation or median (interquartile range), as appropriate, and were compared using the independent-samples t-test or the Mann–Whitney U-test. Categorical variables were expressed as counts (percentages) and were compared using the chi-square test or Fisher’s exact test. The 90-day transplant-free survival (90d-TFS) was set as the primary endpoint. In the training set, variables associated with 90d-TFS in univariate Cox proportional hazards regression analysis (P < 0.05) were entered into a multivariate Cox regression model using a forward stepwise approach. Hazard ratios (HRs) and 95% confidence intervals (CIs) were calculated. Optimal cutoff values for INR and platelet count (PLT) were determined using X-tile software (Version 3.6.1, Yale University, New Haven, CT, USA). This software systematically evaluated all potential tertile split points and assessed survival differences among subgroups using the log-rank test. The cutoff value corresponding to the maximum χ2 value (minimum P-value) was selected as the optimal threshold, thereby achieving optimized grouping of continuous variables based on the 90d-TFS outcomes. After grouping, survival curves were generated using the Kaplan–Meier method, and the statistical significance of survival differences between groups was verified by the log-rank test. Model discrimination was assessed by the area under the receiver operating characteristic curve (AUC), and comparisons between AUCs were performed using the DeLong test. A two-sided P < 0.05 was considered statistically significant.

Results

Baseline clinical characteristics

The training cohort comprised 302 patients with SLI/ALF, and the validation cohort included 38 patients. Baseline clinical characteristics of the two cohorts are shown in Table 1. In the training cohort, the mean age was 50.15 ± 17.22 years; 128 patients (42.4%) were male and 174 (57.6%) were female. On admission, 96 patients (31.8%) met the ACG criteria for ALF, and 74 (24.5%) met the CMA criteria. During the 90-day follow-up period, 190 patients (62.9%) achieved transplant-free survival, whereas 112 patients (37.1%) died or underwent liver transplantation. Comparisons of clinical characteristics between patients stratified by 90-day outcomes (transplant-free survival [TFS] vs. death or liver transplantation) in the training cohort are presented in Table 1. There were no statistically significant differences in age or gender distribution between the two groups (P > 0.05). Compared with the TFS group, the death/transplantation group had significantly higher levels of total bilirubin (TBIL), INR, creatinine (CR), and white blood cell count (WBC), whereas alanine aminotransferase (ALT), albumin (ALB), PTA, hemoglobin (HB), and PLT levels were significantly lower (all P < 0.05). With respect to prognostic indicators, the MELD score and the proportion of patients meeting the KCC were significantly higher in the death/transplantation group than in the TFS group (both P < 0.001), whereas the ALFSG-PI score was significantly lower (P < 0.001). In addition, the proportion of patients with HE grade ≥ 2 was markedly higher in the death/transplantation group than in the TFS group (57.1% vs. 8.4%, P < 0.001).

Table 1

Baseline clinical features of patients with SLI/ALF

Training cohort
Validation cohort (n = 38)
Total (n = 302)TFS (n =190)Death/LT (n =112)P-value
Gender(M/F)128 (42.4%)/174 (57.6%)85 (44.7%)/105 (55.3%)43 (38.4%)/69 (61.6%)0.28116 (42.1%)/22 (57.9%)
Age(years)50.15 ± 17.2250.42 ± 18.4249.70 ± 15.030.59648.13 ± 15.64
ALT(U/L)558.50 (194.00–1,612.75)788.50 (236.75–2,088.00)436.00 (155.25–1,039.25)0.006787.50 (282.25–3,055.50)
AST(U/L)512.00 (194.25–1,252.25)539.50 (250.75–1,359.75)386.50 (174.00–1,024.50)0.073586.00 (197.5–1,955.00)
TBIL (mg/dL)18.40 ± 8.9917.28 ± 9.0620.29 ± 8.590.00315.53 ± 7.92
DBIL (mg/dL)12.80 ± 6.4612.66 ± 6.6413.03 ± 6.180.50210.63 ± 6.03
ALB(g/L)32.18 ± 5.4033.01 ± 5.1730.78 ± 5.510.00132.40 ± 5.46
CR (µmol/L)57.00 (44.00–76.00)56.00 (44.00–69.00)60.0 (45.25–96.50)0.03256.50 (45.50–78.00)
WBC (×109/L)7.69 (5.68–10.47)7.05 (5.46–9.48)8.79 (6.34–11.38)0.0038.36 (6.00–13.49)
HB (g/L)126.00 (108.00–140.00)130.00 (115.00–142.25)114.00 (102.00–134.75)<0.001124.50 (96.50–146.50)
PLT (×109/L)141.5 (93.25–203.25)161.00 (110.75–214.25)111.00 (55.75–164.75)<0.001148.50 (106.00–187.00)
PTA (%)31.75 (20.00–40.00)36.05 (28.00–43.00)21.00 (13.32–33.00)<0.00126.50 (15.75–42.00)
INR2.24 (1.81–3.34)2.04 (1.73–2.58)3.23 (2.20–4.84)<0.0012.60 (1.86–4.04)
Vasopressor Y/N44 (14.6%)/258 (85.4%)9 (4.7%)/181 (92.3%)35 (31.2%)/77 (68.8%)<0.0018 (21.1%)/30 (78.9%)
MELD22.70 (18.87–28.24)20.61 (17.68–24.97)27.83 (22.72–35.81)<0.00123.01 (19.03–29.85)
KCC Y/N163 (54.0%)/139 (46.0%)72 (37.9%)/118 (62.1%)91 (81.2%)/21 (18.8%)<0.00120 (52.6%)/18 (47.4%)
ALFSG-PI0.38 (0.18–0.48)0.43 (0.32–0.54)0.16 (0.05–0.34)<0.0010.34 (0.19–0.47)
ALF1 Y/N96 (31.8%)/206 (68.2%)27 (14.2%)/163 (85.8%)69 (61.6%)/43 (38.4%)<0.00116 (42.1%)/22 (57.9%)
ALF2 Y/N74 (24.5%)/228 (75.5%)14 (7.4%)/176 (92.6%)60 (53.6%)/52 (46.4%)<0.00112 (31.6%)/26 (68.4%)
HE grade<0.001
  Non- HE206 (68.2%)163 (85.8%)43 (38.4%)22 (57.9%)
  Grade 116 (5.3%)11 (5.8%)5 (4.5%)2 (5.3%)
  Grade 228 (9.3%)7 (3.7%)21 (18.8%)5 (13.2%)
  Grade 317 (5.6%)4 (2.1%)13 (11.6%)4 (10.5%)
  Grade 435 (11.6%)5 (2.6%)30 (26.8%)5 (13.2%)

Etiological distribution

The etiologies of SLI/ALF were classified into six categories. Drug-induced liver injury/failure was the most common cause, accounting for 109 cases (36.1%), of which 57% were attributed to traditional Chinese medicine. This was followed by unknown etiology (105 cases, 34.8%) and viral hepatitis (79 cases, 26.2%), with hepatitis E virus infection (40 cases) and hepatitis B virus infection (31 cases) being the predominant viral etiologies. Collectively, autoimmune, alcoholic, and inherited metabolic liver diseases combined constituted only 2.9% of cases (n = 9), with detailed breakdowns presented in Supplementary Table 1.

Prognostic factor analysis and construction of the HIP model

Univariate Cox proportional hazards regression analysis identified several variables that were significantly associated with 90d-TFS, including TBIL, ALB, CR, WBC, HB, PLT, PTA, INR, and the presence of HE grade ≥ 2 (all P < 0.05). Variables with P < 0.05 in the univariate analysis were subsequently entered into a multivariate Cox regression model.

Multivariate analysis demonstrated that ALB (HR = 0.953, 95% CI: 0.920–0.988), PLT (HR = 0.995, 95% CI: 0.993–0.998), INR (HR = 1.118, 95% CI: 1.050–1.191), and HE grade ≥ 2 (HR = 5.187, 95% CI: 3.403–7.907) were independent prognostic factors. Detailed results are shown in Table 2. Although ALB remained statistically significant in the multivariate analysis, it was not included in the final model because it was readily influenced by exogenous ALB supplementation and did not significantly improve the overall model performance.

Table 2

Univariate and multivariate Cox regression analysis of 90d-TFS in patients with SLI/ALF

ParametersUnivariable
Multivariable
HR (95% CI)P-valueHR (95% CI)P-value
ALT(U/L)1.000 (1.000–1.000)0.216
TBIL (mg/dL)1.025 (1.005–1.045)0.016
ALB(g/L)0.942 (0.910–0.976)0.0010.953 (0.920–0.988)0.008
CR (µmol/L)1.002 (1.000–1.003)0.045
WBC (×109/L)1.060 (1.030–1.096)<0.001
HB (g/L)0.990 (0.983–0.998)0.011
PLT (×109/L)0.993 (0.990–0.996)<0.0010.995 (0.993–0.998)<0.001
PTA (%)0.939 (0.921–0.950)<0.001
INR1.053 (1.035–1.071)<0.0011.118 (1.050–1.191)<0.001
HE grade ≥ 27.836 (5.345–11.489)<0.0015.187 (3.403–7.907)<0.001

Based on the three independent predictors—PLT, INR, and HE—a prognostic model, designated as the HIP model (derived from the initials of the three predictors), was established. The detailed scoring algorithm for this model is presented in Table 3. According to clinical stratification and model fitting, HE grades < 2 and ≥ 2 exhibited significant prognostic differences and better therapeutic efficacy. Therefore, a two-tier scoring system (1 point and 3 points) was adopted in this study to improve prognostic discrimination, with no intermediate 2-point score included. The total score of the HIP model ranged from 3 to 9 points, with higher scores indicating a greater risk of poor 90d-TFS prognosis.

Table 3

Risk factor scoring assignment

Risk factorCategoriesPoints
INR<2.11
2.1–3.22
≥3.23
PLT(×109/L)≥2001
80–2002
<803
HE grade<21
≥23

Performance of the HIP model

Kaplan–Meier survival analyses demonstrated significant differences in 90d-TFS among patient subgroups stratified by PLT, INR, and HE. When stratified by HE severity using grade 2 as the cutoff, patients with HE grade < 2 had a 90d-TFS of 78.38%, whereas those with HE grade ≥ 2 had a markedly lower 90d-TFS of 20.00% (P < 0.001; Fig. 1A). For stratification by INR using cutoff values of 2.1 and 3.2, the 90d-TFS rates were 82.31% (INR < 2.1), 64.84% (INR 2.1–3.2), and 29.63% (INR ≥ 3.2) (all P < 0.001; Fig. 1B). Correspondingly, PLT stratification (cutoffs: 80 × 109/L, 200 × 109/L) showed a positive correlation between PLT levels and 90d-TFS, with rates of 79.27% (PLT ≥ 200 × 109/L), 65.03% (PLT 80–200 × 109/L), and 33.33% (PLT < 80 × 109/L) across subgroups (P < 0.001; Fig. 1C).

Kaplan-Meier Curve of TFS by grading of HE (A), different INR levels (B), different PLT levels (C), and different HIP scores (D).
Fig. 1  Kaplan-Meier Curve of TFS by grading of HE (A), different INR levels (B), different PLT levels (C), and different HIP scores (D).

HE, hepatic encephalopathy; INR, international normalized ratio; PLT, platelet count.

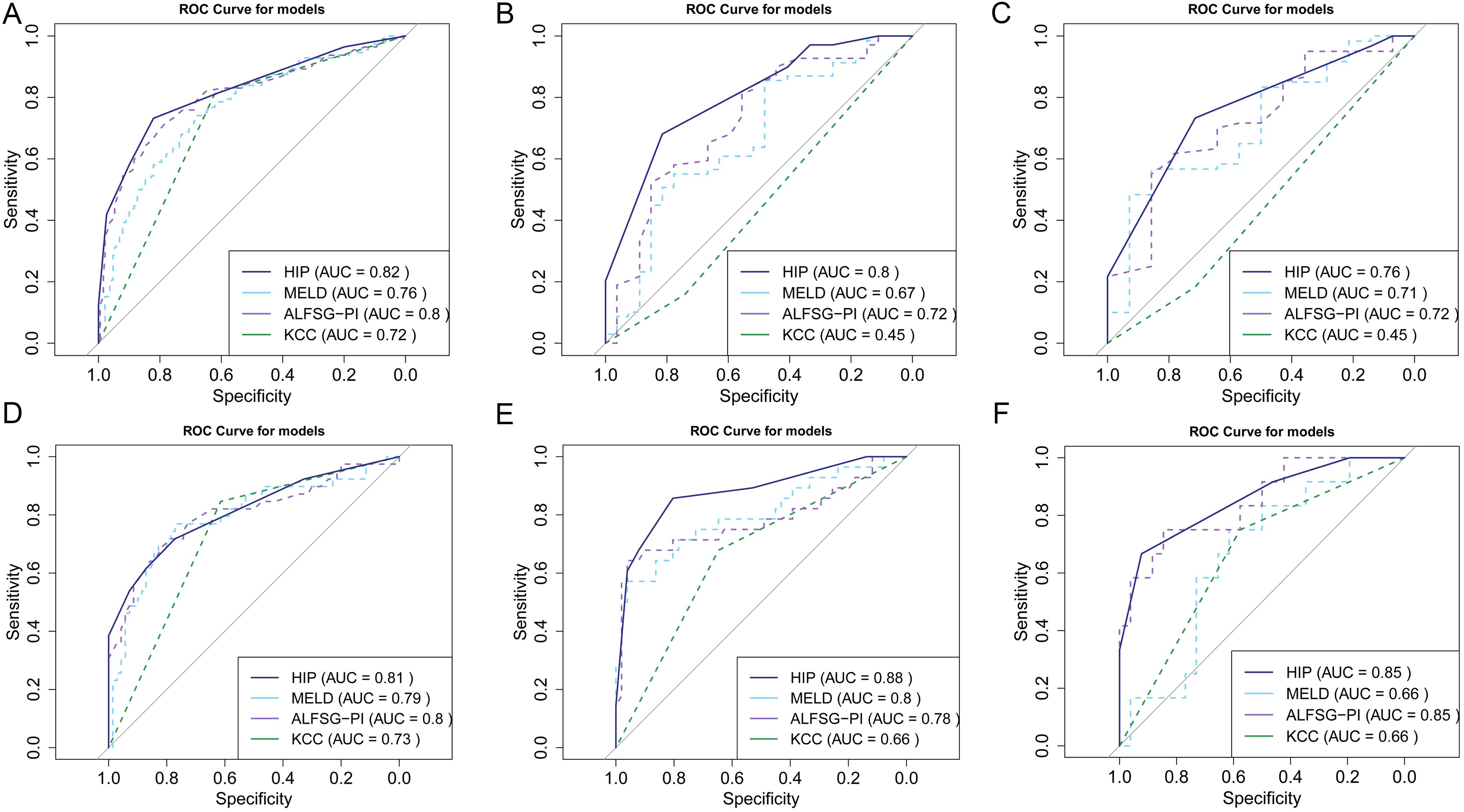
Furthermore, stratification according to the HIP model showed that patients with scores of 3–4, 5–6, and 7–9 had 90d-TFS rates of 84.78%, 67.50%, and 22.62%, respectively (all P < 0.001; Fig. 1D). Receiver operating characteristic curve analyses for the prediction of 90d-TFS demonstrated that, in the overall study population, the HIP model achieved an AUC of 0.82, which was significantly higher than that of the MELD score (AUC: 0.76, P = 0.019) and the KCC (AUC: 0.72, P = 0.002), and comparable to that of the ALFSG-PI (AUC: 0.80, P = 0.429) (Fig. 2A).

ROC curves of different prognostic models for 90d-TFS in overall study population (A), in ALF defined by the ACG criteria (B), in ALF defined by the CMA criteria (C), in drug-induced SLI/ALF (D), in viral hepatitis-induced SLI/ALF (E), and in the validation cohort (F).
Fig. 2  ROC curves of different prognostic models for 90d-TFS in overall study population (A), in ALF defined by the ACG criteria (B), in ALF defined by the CMA criteria (C), in drug-induced SLI/ALF (D), in viral hepatitis-induced SLI/ALF (E), and in the validation cohort (F).

MELD, Model for End-stage Liver Disease; KCC, King’s College Criteria; ALFSG-PI, Acute Liver Failure Study Group Prognostic Index; ROC, Receiver Operating Characteristic; 90d-TFS, 90-day transplant free survival; ALF, acute liver failure; SLI, severe acute liver injury; ACG, American College of Gastroenterology; CMA, Chinese Medical Association.

For patients who met the ACG criteria for ALF, the AUC of the HIP model (0.80) remained significantly superior to that of the MELD score (0.67, P = 0.021) and the KCC (0.45, P < 0.001). By contrast, no statistically significant difference was observed between the HIP model and the ALFSG-PI (AUC: 0.72, P = 0.115) in this cohort (Fig. 2B). For patients who met the CMA criteria for ALF, the HIP model yielded an AUC of 0.76, which did not differ significantly from that of the MELD score (AUC: 0.71, P = 0.351) or the ALFSG-PI (AUC: 0.72, P = 0.584), but was significantly higher than that of the KCC (AUC: 0.45, P < 0.001) (Fig. 2C). To further evaluate the predictive performance of the HIP model across different etiologies, subgroup analyses were conducted in patients with drug-induced and viral hepatitis-induced SLI/ALF. The HIP model demonstrated consistent and robust predictive power for 90d-TFS in both subgroups, with an AUC of 0.81 for drug-induced etiology (P > 0.05; Fig. 2D) and 0.88 for viral hepatitis-induced etiology (P < 0.05; Fig. 2E). These findings suggest that the predictive power of the HIP model remains stable irrespective of the underlying etiology. The predictive performance of the above models was further validated in an independent validation cohort, and the results demonstrated that the HIP model maintained robust efficacy, with an AUC of 0.85 (Fig. 2F).

Discussion

Based on clinical data from patients with SLI/ALF, we constructed a simplified prognostic scoring system—the HIP model—incorporating three readily accessible parameters: INR, PLT, and HE grade. The HIP model demonstrated good discriminative ability for predicting 90d-TFS, with an AUC of 0.82. Its predictive performance was significantly superior to that of the MELD score and KCC, and comparable to the more complex ALFSG-PI model. Importantly, the HIP model maintained consistent prognostic validity across ALF subgroups stratified by diagnostic criteria, supporting its generalizability in diverse clinical settings.

The severity of HE is increasingly recognized as a critical prognostic determinant in ALF,23,24 a finding further corroborated by the results of our study. In the present cohort, patients with HE grade ≥ 2 exhibited a substantially lower 90d-TFS rate (20.00%) compared to those with HE grade < 2 (78.38%), reflecting a marked escalation in short-term mortality risk beyond grade 1 HE. Multivariate Cox regression identified HE grade ≥ 2 as an independent predictor of 90-day mortality in SLI/ALF patients, aligning with prior reports25,26 and reinforcing its prognostic significance.

Current guidelines from the ACG and the European Association for the Study of the Liver define ALF by the presence of any degree of HE in severe liver injury.2,18 However, grade 1 HE, as per the West Haven criteria, is often subjective with considerable interobserver variability27 and is associated with a significantly lower mortality risk compared to higher grades.28 Consequently, the inclusion of all grade 1 HE cases within the ALF definition may lead to overestimation of disease severity and potential overtreatment. In contrast, Chinese liver failure guidelines specify HE grade ≥ 2 for the diagnosis of ALF,19 a threshold that offers improved risk stratification. HE grade ≥ 2 is characterized by more definitive neurological impairment and correlates strongly with intracranial hypertension and elevated short-term mortality.29,30 Importantly, it has been identified as the leading independent predictor of mortality risk in hospitalized cirrhotic patients.31 Our results support the clinical rationale for this diagnostic cutoff. Thus, integrating HE grade ≥ 2 into the HIP model not only enhances its statistical reliability but also improves its clinical utility by enabling more precise identification of high-risk patients requiring urgent liver transplantation assessment.

In addition to HE, thrombocytopenia emerged as an independent predictor of adverse 90-day outcomes in SLI/ALF patients, highlighting its potential as an early risk stratification marker. This finding is consistent with previous work by Mu et al.32 in viral hepatitis-induced ALF, which demonstrated an association between low PLTs and increased short-term mortality. Furthermore, a large-scale retrospective analysis of 1,598 ALF patients linked thrombocytopenia to the development of multiple organ failure and poorer clinical outcomes.33 The pathophysiological mechanisms underlying thrombocytopenia in acute liver injury are multifaceted, potentially involving systemic inflammation, endothelial dysfunction, and complex interplay between coagulation and inflammatory pathways.34,35 Further studies incorporating inflammatory and coagulation-related biomarkers are warranted to elucidate the dynamic role of platelets in disease progression and their potential as therapeutic targets.

Elevated INR directly reflects impaired hepatic synthetic function and represents a well-established indicator of hepatocellular injury severity. Accordingly, INR constitutes a key component of several prognostic models, including the KCC and ALFSG-PI.13,22 Compared with the MELD score and the KCC, the HIP model exhibited superior clinical applicability in the SLI/ALF context. The MELD score,36 originally developed for end-stage liver disease, does not incoporate HE as a predictor—a pivotal prognostic variable in ALF—thus limiting its utility in this acute setting.10,37 Although the KCC38 was developed specifically for ALF, its derivation primarily from acetaminophen overdose cohorts in Western populations restricts its generalizability to etiologically distinct populations, and its performance in non-acetaminophen ALF remains inconsistent across studies.12,39 Comparative evaluations of MELD and KCC in ALF have yielded conflicting results,40–42 with MELD demonstrating limited prognostic accuracy in viral hepatitis-induced ALF, while KCC shows suboptimal sensitivity and unsatisfied predictive performance.42 A recent meta-analysis further suggests that the performance of both scores may be etiology-dependent, with KCC favoring acetaminophen-related cases and MELD performing better in non-acetaminophen ALF.11

Although the ALFSG-PI model43 showed commendable predictive performance in our cohort, it shares key predictors, including HE and INR, with the HIP model. However, its reliance on multiple variables and computational complexity may restrict its routine application in time-sensitive or resource-limited settings. In contrast, the HIP model, with only three simple parameters, exhibited robust predictive ability in SLI patients, performing comparably to ALFSG-PI and significantly better than MELD and KCC.

Early risk stratification by the HIP model provides valuable guidance for clinical management. Patients with a HIP score of 3–4 can be managed primarily with conservative medical treatment. For those with a score of 5–6, conservative medical management should be combined with dynamic clinical evaluation and the consideration of liver transplantation if necessary. In patients with a score of 7–9, placing their name on the waiting list for urgent liver transplantation is strongly recommended in addition to standard medical care. Throughout the clinical course, repeated assessment, score monitoring, and prompt adjustment of therapeutic strategies are essential.

Although we have developed a significant model for predicting 90d-TFS in patients with SLI/ALF, several limitations should be acknowledged. The primary limitation of this study is the relatively small sample size of the validation cohort, which underscores the need for further external validation in larger, more ethnically diverse patient populations. Additionally, the model was developed based on a Chinese cohort, whose etiological profile differs from that of Western populations, where acetaminophen overdose is the predominant cause. This discrepancy may limit the generalizability and applicability of the HIP model to other geographic regions. Therefore, future multicenter, prospective studies encompassing diverse geographic regions and etiological backgrounds are warranted to confirm the model’s broader applicability and clinical utility.

Conclusions

The HIP model, based on INR, PLT, and HE grade ≥ 2, combines prognostic accuracy with practical simplicity, offering a clinically feasible tool for early risk stratification in SLI/ALF. The HIP model may directly inform clinical decision-making by enabling the identification of high-risk patients, thereby facilitating timely initiation of liver transplantation evaluation or intensified monitoring, particularly in emergency and primary care settings.

Supporting information

Supplementary Table 1

The etiologies causing SLI/ALF.

(DOCX)

Declarations

Ethical statement

This study was conducted in accordance with the Declaration of Helsinki (as revised in 2024) and was approved by the Ethics Committee of Beijing YouAn Hospital, Capital Medical University (No. 2020-079). Written informed consent was obtained from all patients.

Data sharing statement

The data in the current study are available from the corresponding authors upon reasonable request.

Funding

This work was supported by the Construction Project of High-level Technology Talents in Public Health (Discipline Leader-01-12) and the Beijing Hospitals Authority’s Ascent Plan (DFL20221501).

Conflict of interest

The authors have no competing interests to declare.

Authors’ contributions

Study conceptualization and design (YC), data acquisition, the initial drafting of the manuscript (YR, MX), statistical analysis (WW), review, editing, and revision of the manuscript (YC, MK), and funding support (YC). All authors approved the final manuscript.

References

  1. Kakisaka K, Suzuki Y, Abe H, Watanabe T, Yusa K, Sato H, et al. Early identification using the referral system prolonged the time to onset for hepatic encephalopathy after diagnosing severe acute liver injury. Sci Rep 2020;10(1):17280 View Article PubMed/NCBI
  2. Wendon J, Cordoba J, Dhawan A, Larsen FS, Manns M, Samuel D, et al. EASL Clinical Practical Guidelines on the management of acute (fulminant) liver failure. J Hepatol 2017;66(5):1047-1081 View Article PubMed/NCBI
  3. Stravitz RT, Lee WM. Acute liver failure. Lancet 2019;394(10201):869-881 View Article PubMed/NCBI
  4. Koch DG, Speiser JL, Durkalski V, Fontana RJ, Davern T, McGuire B, et al. The Natural History of Severe Acute Liver Injury. Am J Gastroenterol 2017;112(9):1389-1396 View Article PubMed/NCBI
  5. Elinav E, Ben-Dov I, Hai-Am E, Ackerman Z, Ofran Y. The predictive value of admission and follow up factor V and VII levels in patients with acute hepatitis and coagulopathy. J Hepatol 2005;42(1):82-86 View Article PubMed/NCBI
  6. McDowell Torres D, Stevens RD, Gurakar A. Acute liver failure: a management challenge for the practicing gastroenterologist. Gastroenterol Hepatol (N Y) 2010;6(7):444-450 PubMed/NCBI
  7. Lee WM, Squires RH, Nyberg SL, Doo E, Hoofnagle JH. Acute liver failure: Summary of a workshop. Hepatology 2008;47(4):1401-1415 View Article PubMed/NCBI
  8. Panackel C, Raja K, Fawas M, Jacob M. Prognostic models in acute liver failure-historic evolution and newer updates “prognostic models in acute liver failure”. Best Pract Res Clin Gastroenterol 2024;73:101957 View Article PubMed/NCBI
  9. McGill MR. From fructose to the future: liver disease biomarkers and their prognostic value in acute liver failure. Crit Rev Clin Lab Sci 2025;62(5):386-403 View Article PubMed/NCBI
  10. Mishra A, Rustgi V. Prognostic Models in Acute Liver Failure. Clin Liver Dis 2018;22(2):375-388 View Article PubMed/NCBI
  11. McPhail MJ, Farne H, Senvar N, Wendon JA, Bernal W. Ability of King’s College Criteria and Model for End-Stage Liver Disease Scores to Predict Mortality of Patients With Acute Liver Failure: A Meta-analysis. Clin Gastroenterol Hepatol 2016;14(4):516-525.e5 View Article PubMed/NCBI
  12. McPhail MJ, Wendon JA, Bernal W. Meta-analysis of performance of Kings’s College Hospital Criteria in prediction of outcome in non-paracetamol-induced acute liver failure. J Hepatol 2010;53(3):492-499 View Article PubMed/NCBI
  13. Koch DG, Tillman H, Durkalski V, Lee WM, Reuben A. Development of a Model to Predict Transplant-free Survival of Patients With Acute Liver Failure. Clin Gastroenterol Hepatol 2016;14(8):1199-1206.e2 View Article PubMed/NCBI
  14. Han L, Huang A, Chen J, Teng G, Sun Y, Chang B, et al. Clinical characteristics and prognosis of non-APAP drug-induced acute liver failure: a large multicenter cohort study. Hepatol Int 2024;18(1):225-237 View Article PubMed/NCBI
  15. Mendizabal M, Dip M, Demirdjian E, Lauferman L, Lopez S, Minetto J, et al. Changing Etiologies and Prognostic Factors in Pediatric Acute Liver Failure. Liver Transpl 2020;26(2):268-275 View Article PubMed/NCBI
  16. Teerasarntipan T, Thanapirom K, Chaiteerakij R, Komolmit P, Treeprasertsuk S. Validation of prognostic scores for predicting acute liver failure and in-hospital death in patients with dengue-induced severe hepatitis. World J Gastroenterol 2024;30(45):4781-4790 View Article PubMed/NCBI
  17. Pop TL, Aldea CO, Delean D, Bulata B, Boghiţoiu D, Păcurar D, et al. The Role of Predictive Models in the Assessment of the Poor Outcomes in Pediatric Acute Liver Failure. J Clin Med 2022;11(2):432 View Article PubMed/NCBI
  18. Shingina A, Mukhtar N, Wakim-Fleming J, Alqahtani S, Wong RJ, Limketkai BN, et al. Acute Liver Failure Guidelines. Am J Gastroenterol 2023;118(7):1128-1153 View Article PubMed/NCBI
  19. Liver Failure and Artificial Liver Group, Chinese Society of Infectious Diseases, Chinese Medical Association, Severe Liver Disease and Artificial Liver Group, Chinese Society of Hepatology, Chinese Medical Association. [Guidelines for diagnosis and treatment of liver failure (2024 version)]. Zhonghua Gan Zang Bing Za Zhi 2025;33(1):18-33 View Article PubMed/NCBI
  20. Ferenci P, Lockwood A, Mullen K, Tarter R, Weissenborn K, Blei AT. Hepatic encephalopathy—definition, nomenclature, diagnosis, and quantification: final report of the working party at the 11th World Congresses of Gastroenterology, Vienna, 1998. Hepatology 2002;35(3):716-721 View Article PubMed/NCBI
  21. Wiesner R, Edwards E, Freeman R, Harper A, Kim R, Kamath P, et al. Model for end-stage liver disease (MELD) and allocation of donor livers. Gastroenterology 2003;124(1):91-96 View Article PubMed/NCBI
  22. Anand AC, Nightingale P, Neuberger JM. Early indicators of prognosis in fulminant hepatic failure: an assessment of the King’s criteria. J Hepatol 1997;26(1):62-68 View Article PubMed/NCBI
  23. Ostapowicz G, Fontana RJ, Schiødt FV, Larson A, Davern TJ, Han SH, et al. Results of a prospective study of acute liver failure at 17 tertiary care centers in the United States. Ann Intern Med 2002;137(12):947-954 View Article PubMed/NCBI
  24. Yu H, Chen Y, Jiang P. Prognostic value of hepatic encephalopathy for survival of patients with liver failure: A systematic review and meta-analysis. Ann Hepatol 2019;18(4):607-612 View Article PubMed/NCBI
  25. Khsiba A, Bradai S, Mahmoudi M, Mohamed AB, Medhioub M, Hamzaoui L, et al. [Predictors of hepatic encephalopathy in patients with severe acute liver injury]. Pan Afr Med J 2022;42:323 View Article PubMed/NCBI
  26. Kumar R, Sharma H, Goyal R, Kumar A, Khanal S, Shalimar, et al. Prospective derivation and validation of early dynamic model for predicting outcome in patients with acute liver failure. Gut 2012;61(7):1068-1075 View Article PubMed/NCBI
  27. Xu X, Ding H, Li W, Han Y, Guan Y, Xu J, et al. Chinese Guidelines on the Management of Hepatic Encephalopathy in Cirrhosis (2024). J Clin Transl Hepatol 2025;13(3):253-267 View Article PubMed/NCBI
  28. Weissenborn K. Hepatic Encephalopathy: Definition, Clinical Grading and Diagnostic Principles. Drugs 2019;79(Suppl 1):5-9 View Article PubMed/NCBI
  29. Iqbal ZU, Pervaiz A, Chaudhry F, Shakeel Z, Hassan S, Faiaz HA, et al. Predictors of Mortality in Patients with Hepatic Encephalopathy: A Retrospective Analysis. Cureus 2025;17(7):e87677 View Article PubMed/NCBI
  30. Blei AT, Larsen FS. Pathophysiology of cerebral edema in fulminant hepatic failure. J Hepatol 1999;31(4):771-776 View Article PubMed/NCBI
  31. Bajaj JS, Silvey S, Mullan A, Choudhury A, Wong F, George J, et al. Liver Failure, Hepatic Encephalopathy, and Infection Contribute to Mortality Risk in a Global Cirrhosis Cohort. Clin Gastroenterol Hepatol 2026;24(2):453-462.e14 View Article PubMed/NCBI
  32. Mu X, Zou J, Chen J, Tong J, Ma L, Ning P, et al. Low platelets: a new and simple prognostic marker for patients with hepatitis E virus-related acute liver failure. Hepatol Int 2022;16(5):1116-1126 View Article PubMed/NCBI
  33. Stravitz RT, Ellerbe C, Durkalski V, Reuben A, Lisman T, Lee WM, Acute Liver Failure Study Group. Thrombocytopenia Is Associated With Multi-organ System Failure in Patients With Acute Liver Failure. Clin Gastroenterol Hepatol 2016;14(4):613-620.e4 View Article PubMed/NCBI
  34. Maiwall R. Platelets in acute liver failure: an innocent bystander or instigator?. Hepatol Int 2022;16(6):1256-1258 View Article PubMed/NCBI
  35. Chauhan A, Adams DH, Watson SP, Lalor PF. Platelets: No longer bystanders in liver disease. Hepatology 2016;64(5):1774-1784 View Article PubMed/NCBI
  36. Malinchoc M, Kamath PS, Gordon FD, Peine CJ, Rank J, ter Borg PC. A model to predict poor survival in patients undergoing transjugular intrahepatic portosystemic shunts. Hepatology 2000;31(4):864-871 View Article PubMed/NCBI
  37. Schmidt LE, Larsen FS. MELD score as a predictor of liver failure and death in patients with acetaminophen-induced liver injury. Hepatology 2007;45(3):789-796 View Article PubMed/NCBI
  38. O’Grady JG, Alexander GJ, Hayllar KM, Williams R. Early indicators of prognosis in fulminant hepatic failure. Gastroenterology 1989;97(2):439-445 View Article PubMed/NCBI
  39. Bailey B, Amre DK, Gaudreault P. Fulminant hepatic failure secondary to acetaminophen poisoning: a systematic review and meta-analysis of prognostic criteria determining the need for liver transplantation. Crit Care Med 2003;31(1):299-305 View Article PubMed/NCBI
  40. Yantorno SE, Kremers WK, Ruf AE, Trentadue JJ, Podestá LG, Villamil FG. MELD is superior to King’s college and Clichy’s criteria to assess prognosis in fulminant hepatic failure. Liver Transpl 2007;13(6):822-828 View Article PubMed/NCBI
  41. Du WB, Pan XP, Li LJ. Prognostic models for acute liver failure. Hepatobiliary Pancreat Dis Int 2010;9(2):122-128 PubMed/NCBI
  42. Dhiman RK, Jain S, Maheshwari U, Bhalla A, Sharma N, Ahluwalia J, et al. Early indicators of prognosis in fulminant hepatic failure: an assessment of the Model for End-Stage Liver Disease (MELD) and King’s College Hospital criteria. Liver Transpl 2007;13(6):814-821 View Article PubMed/NCBI
  43. Rutherford A, King LY, Hynan LS, Vedvyas C, Lin W, Lee WM, et al. Development of an accurate index for predicting outcomes of patients with acute liver failure. Gastroenterology 2012;143(5):1237-1243 View Article PubMed/NCBI

About this Article

Cite this article
Ren Y, Xu M, Wang W, Kong M, Chen Y. A Novel Simplified Prognostic Model for 90-day Transplant-free Survival in Patients with Severe Acute Liver Injury/Acute Liver Failure. J Clin Transl Hepatol. Published online: Apr 28, 2026. doi: 10.14218/JCTH.2026.00075.
Copy        Export to RIS        Export to EndNote
Article History
Received Revised Accepted Published
January 26, 2026 March 27, 2026 April 8, 2026 April 28, 2026
DOI http://dx.doi.org/10.14218/JCTH.2026.00075
  • Journal of Clinical and Translational Hepatology
  • pISSN 2225-0719
  • eISSN 2310-8819
Back to Top

A Novel Simplified Prognostic Model for 90-day Transplant-free Survival in Patients with Severe Acute Liver Injury/Acute Liver Failure

Yan Ren, Manman Xu, Wenling Wang, Ming Kong, Yu Chen
  • Reset Zoom
  • Download TIFF