v
Search
Advanced

Publications > Journals > Future Integrative Medicine> Article Full Text

  • OPEN ACCESS

A Novel Probe Technology for Detecting Native Albumin Activity as a Biomarker in Patients with Hepatitis B-related Cirrhosis and Hepatocellular Carcinoma and Its Clinical Applications

  • Xing Liu1,#,
  • Fengyang Chen2,#,
  • Zhaozhe Liu3,
  • Mingyu Duan4,
  • Ye Gu5,
  • Xuan Liang6,
  • Xiaofeng Wu7,
  • Cheng Lv1,
  • Xinyue Li1,
  • Jiamin Qian1,
  • Meiyuxi Li1,
  • Linge Zhang1,
  • Tianyue Chen6,
  • Yan Wang1,*  and
  • Guoliang Chen2,* 
 Author information 

Abstract

Background and objectives

Albumin is a major prognostic factor for patients with advanced liver disease, dependent on its concentration and biological activity. This study aimed to improve the method of active albumin detection and elucidate its predictive validity of albumin activity across hepatic disease progression and etiology.

Methods

This study synthesized a novel ratiometric fluorescent probe with an improved structure of 2′-FBPBN. The technique was used to detect native human albumin (HA) activity in 244 patients with hepatitis B cirrhosis (LC) and 66 patients with hepatocellular carcinoma (HCC). Clinical and laboratory data were also collected.

Results

Patients with LC and HCC were divided into normal albumin and low albumin (LA) groups. The median levels of albumin and HA activity in LC patients were 41.44 g/L and 51.85%, 28.51 g/L and 53.89%, respectively, while in HCC patients, they were 43.19 g/L and 33.69%, 30.77 g/L and 43.63%, respectively. The levels of total bilirubin, prothrombin time, international normalized ratio, native HA activity, Child-Pugh score, model for end-stage liver disease score, and model for end-stage liver disease-Na score were significantly higher in the LA groups, while the levels of platelet, cholesterol, and cholinesterase were lower compared to the normal albumin group (P < 0.05). The LA groups were more likely to suffer from hepatic encephalopathy and ascites. Patients with normal active HA had significantly higher survival rates than those with low active HA.

Conclusions

Native HA activity may outperform albumin as a prognostic indicator for assessing the severity of liver disease.

Keywords

Hepatitis B, Liver cirrhosis, Hepatocellular carcinoma, Albumin, Fluorescent probe, Prognosis

Introduction

Chronic liver disease (CLD) is characterized by the progressive deterioration of liver functions, including bile excretion, detoxification of harmful metabolites, and the synthesis of proteins and coagulation factors.1 Cirrhosis is the final stage of CLD and can lead to the development of hepatocellular carcinoma (HCC).1,2 Both cirrhosis and HCC are associated with liver inflammation and fibrosis.3,4 It has been acknowledged that human albumin (HA) has many important functions, such as maintaining plasma volume, binding and transporting various compounds, providing antioxidant capacity, regulating inflammation and immune response, stabilizing endothelial cells, and regulating hemostasis and acid-base balance.5–7 The serum albumin concentration is an important prognostic index. In general, albumin levels are associated with overall mortality, and levels within the normal range can reduce the risk of death by 20–40%.7 Due to the impairment of hepatocellular function, disease progression, and abnormal distribution of portal blood flow, plasma albumin levels are generally low in patients with liver cirrhosis or HCC.7–10 However, albumin concentration does not usually decrease in the early stage.6 Therefore, it is difficult to evaluate the severity of liver disease by albumin concentration alone.

Recently, a new concept of “effective albumin concentration” has been proposed, referring to the concentration of albumin with normal biological function.6 It is speculated that effective albumin concentration is decreased in patients with various liver diseases.6 Previous studies have mainly focused on the structure and function of albumin, indicating that modified albumin exhibits compromised function.7 Albumin in patients with advanced liver disease undergoes several post-transcriptional changes (e.g., glycosylation and ischemia modification).5 These forms of albumin differ from natural HA in pharmacokinetics and structure, negatively impacting its function.7 This hypothesis suggests that in addition to total albumin concentration, albumin activity may also have important prognostic value in short-term and long-term mortality.7 However, there is still a lack of methods for assessing effective albumin concentration. Our research aimed to improve the method of active albumin detection using probe technology.

HA can catalyze the hydrolysis of aromatic esters with polycyclic skeletons, while other hydrolases, such as esterases, do not participate in this biotransformation.11 Prior studies have revealed that under physiological conditions, the fluorescent probe (N-butyl-4-(4-phenyl-benzoyloxy) 1,8-naphthalimide, BPBN) shows high sensitivity, excellent selectivity, and good reactivity with HA. As a probe based on enzyme activity, BPBN can distinguish between denatured HA and native HA.12 In our study, a novel ratiometric fluorescent probe, 2-butyl-1,3-dioxo-2,3-dihydro-1H-benzo[de]isoquinolin-6-yl-2′-fluoro-[1,1′-biphenyl]-4-carboxylate (2′-FBPBN), modified by BPBN, was synthesized to detect the native HA activity in blood samples of patients with hepatitis B cirrhosis (LC) and HCC. The mechanism of 2′-FBPBN to detect native HA activity is consistent with BPBN, but the repeatability of 2′-FBPBN in detecting native HA activity is better than BPBN. Our research applies this method in a prospective manner to clinical samples from patients with LC and HCC. We aimed to elucidate the predictive validity of albumin activity across hepatic disease progression and etiology.

Materials and methods

Synthesis of the 2′-FBPBN probe

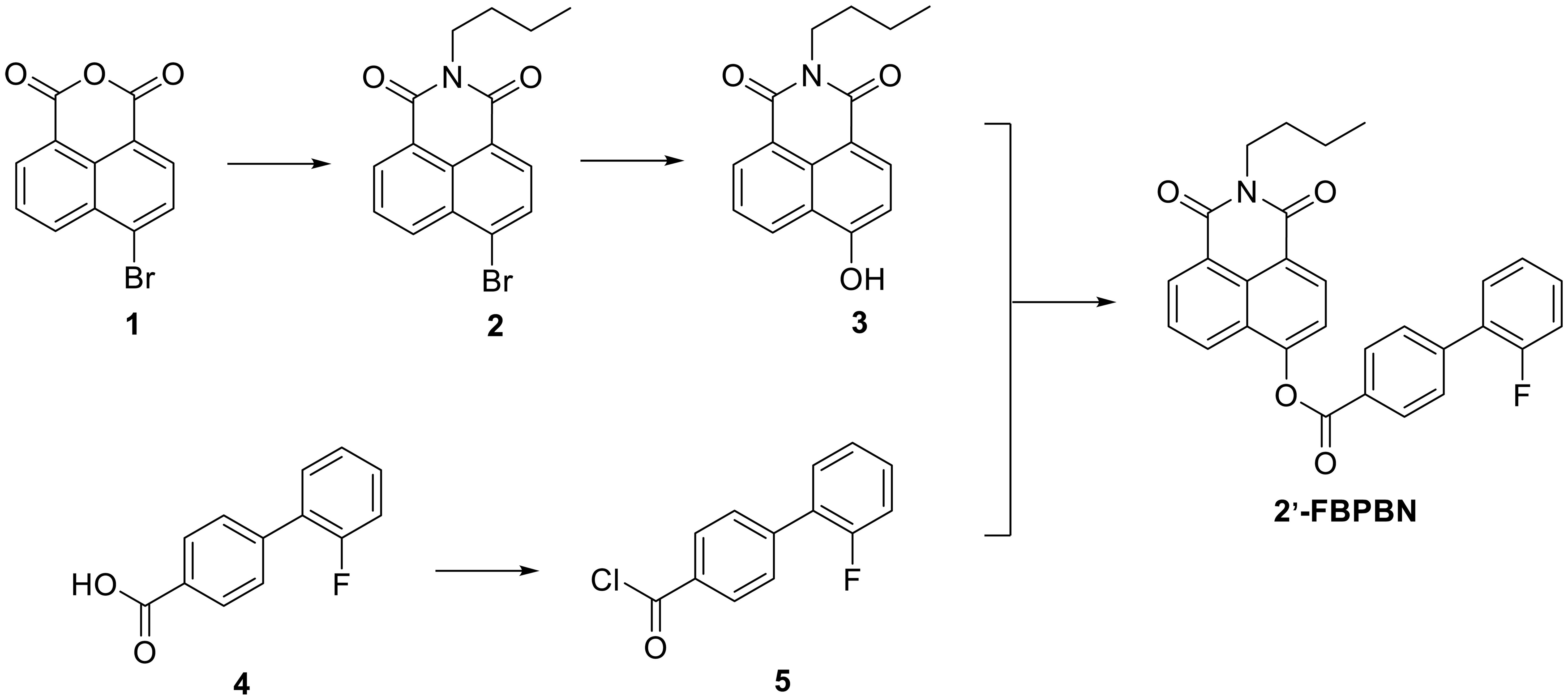
Reagents and conditions for the synthesis of the 2′-FBPBN probe are as follows: (a) Butylamine, ethanol (EtOH), 80°C, 18 h; (b) Sodium hydroxide (NaOH), cuprous oxide (Cu2O), L-Quebrachitol, hydrogen oxide/dimethyl sulfoxide (H2O/DMSO), 100°C, 13 h; (c) Dimethyl formamide (DMF), thionyl chloride (SOCl2), dichloromethane (CH2Cl2), r.t., 6 h; (d) 4-dimethylaminopyridine (DMAP), pyridine (Py), CH2Cl2, r.t., 10 h.

2-butyl-6-hydroxy-1H-benzo[de]isoquinoline-1,3(2H)-dione (3). Step 1: 6-bromo-1H,3H-benzo[de]isochromene-1,3-dione (Fig. 1; Structure 1) (2.00 g, 7.2 mmol), butylamine (1.00 g, 13.7 mmol), and EtOH (60 mL) were added to a 100 mL reaction kettle. The reaction was heated to 80°C for 18 h. The mixture was cooled and filtered. The filter cake was washed three times with mother liquor to obtain 6-bromo-2-butyl-1H-benzo[de]isoquinoline-1,3(2H)-dione (Fig. 1; Structure 2) (2.00 g, 6.0 mmol, 83% yield) as a yellow solid. Step 2: 6-bromo-2-butyl-1H-benzo[de]isoquinoline-1,3(2H)-dione (Fig. 1; Structure 2) (2.50 g, 7.5 mmol), NaOH (1.20 g, 30.1 mmol), Cu2O (0.30 g, 2.1 mmol), and L-Quebrachitol (0.20 g, 1.0 mmol) were added to a mixed solvent of water (25 mL) and DMSO (25 mL). The reaction was heated to 100°C for 13 h. The mixture was cooled and diluted with water (25 mL). 10% hydrochloric acid (HCl) was added to adjust the pH < 1. The filtered mixture was washed three times with mother liquor prior to being dissolved in ethyl acetate (150 mL). The organic layer was washed with water and brine, dried over sodium sulfate (Na2SO4), filtered, and concentrated until a large quantity of solids precipitated out. The mixture was filtered to obtain a yellow solid (Fig. 1; Structure 3) (1.33g, 4.9 mmol, 65% yield).

Synthetic Route of 2′-FBPBN. 2′-FBPBN, 2-butyl-1,3-dioxo-2,3-dihydro-1H-benzo[de]isoquinolin-6-yl-2′-fluoro-[1,1′-biphenyl]-4-carboxylate.
Fig. 1  Synthetic Route of 2′-FBPBN. 2′-FBPBN, 2-butyl-1,3-dioxo-2,3-dihydro-1H-benzo[de]isoquinolin-6-yl-2′-fluoro-[1,1′-biphenyl]-4-carboxylate.

2′-FBPBN. Step 1: Dry DMF (4 drops) and SOCl2 (4 mL) were added to a solution of 2′-fluoro-[1,1′-biphenyl]-4-carboxylicacid (Fig. 1; Structure 4) in dry CH2Cl2 (4 mL) and stirred at room temperature for 6 h. The solution was evaporated to yield the crude product 2′-fluoro-[1,1′-biphenyl]-4-carbonylchloride 5. Step 2: 2-butyl-6-hydroxy-1H-benzo[de]isoquinoline-1,3(2H)-dione 3 (0.10 g, 0.4 mmol) and DMAP (5.0 mg, 0.04 mmol) were dissolved in dry Py (4 mL). The solution of 2′-fluoro-[1,1′-biphenyl]-4-carbonylchloride (Fig. 1; Structure 5) in dry CH2Cl2 (5 mL) was added slowly to the above solution and stirred at room temperature for 10 h. The resulting mixture was poured into water (30 mL) and extracted with CH2Cl2 (3 × 30 mL). The combined organic layers were washed with 2 N HCl (3 × 40 mL), saturated aqueous sodium carbonate (Na2CO3) (3 × 30 mL), and brine (40 mL), then dried over Na2SO4. The crude product was purified by ethyl acetate (2 mL) to yield 2′-FBPBN (0.11 g, 0.2 mmol, 64% yield) as a white solid. Electrospray Ionization Mass Spectrometry (ESI-MS): m/z = 468.2 [M+H]+ (Fig. 2a). 1H-Nuclear Magnetic Resonance Spectroscopy (1H NMR)(400 MHz, CDCl3) δ 8.41 (s, 1H), 8.39 (s, 1H), 8.34 (dd, J = 7.6 Hz, 0.8 Hz, 1H), 7.80−7.76 (m, 3H), 7.70 (d, J = 8 Hz, 1H), 7.55−7.50 (m, 1H), 7.45−7.39 (m, 1H), 7.31−7.25 (m, 1H), 7.23−7.20 (m, 1H), 4.21 (t, J = 7.5 Hz, 2H), 1.77−1.70 (m, 2H), 1.51−1.42 (m, 2H), 0.99 (t, J = 7.3 Hz, 3H) (Fig. 2b).

The spectra of the 2′-FBPBN.
Fig. 2  The spectra of the 2′-FBPBN.

(a) The ESI-MS spectra of the 2′-FBPBN. (b) The 1H NMR spectra of the 2′-FBPBN. ESI-MS, Electrospray Ionization Mass Spectrometry; 1H NMR, 1H-Nuclear Magnetic Resonance Spectroscopy; 2′-FBPBN, 2-butyl-1,3-dioxo-2,3-dihydro-1H-benzo[de]isoquinolin-6-yl-2′-fluoro-[1,1′-biphenyl]-4-carboxylate.

General procedure for native HA activity

In a total volume of 400 µL, 0.1 M potassium phosphate (pH 7.4), 2′-FBPBN (20 mM final concentration), and plasma (10 µL) were incubated for 10 min at 37°C. The reaction was terminated by the addition of ice-cold acetonitrile (400 µL). Upon addition of HA, the newly designed probe 2′-FBPBN was readily hydrolyzed to 2-butyl-6-hydroxy-1H-benzo[de]isoquinoline-1,3(2H)-dione (NHO; Fig. 3).11 The hydrolytic metabolites of 2′-FBPBN were then analyzed using a SpectraMax iD3 Hybrid Multi-Mode Microplate Reader (Molecular Devices, USA). The excitation wavelength and the emission wavelength were set at 452 nm and 564 nm, respectively. Native HA activity of the plasma was normalized by the ratio of plasma samples to albumin (human) 20% solution (CSL Behring, USA). Native HA Activity% = detected value of test plasma / detected value of albumin (human) × 100%.

2′-FBPBN and its response mechanism toward human albumin.
Fig. 3  2′-FBPBN and its response mechanism toward human albumin.

HA, human albumin; PBS, phosphate buffered saline; 2′-FBPBN, 2-butyl-1,3-dioxo-2,3-dihydro-1H-benzo[de]isoquinolin-6-yl-2′-fluoro-[1,1′-biphenyl]-4-carboxylate.

Patients and laboratory evaluation

Male patients clinically diagnosed with LC or HCC were enrolled between March 2021 and March 2022 at the Sixth People’s Hospital of Shenyang. The diagnostic criteria for LC and HCC were determined using the Guidelines of Prevention and Treatment for Chronic Hepatitis B (2019 version) and the Guidelines for the Diagnosis and Treatment of Hepatocellular Carcinoma (2019 Edition), respectively.13,14 A flow diagram is shown in Figure 4. Clinical data, including Child-Pugh score, model for end-stage liver disease (MELD) score, MELD-Na score, acute-on-chronic liver failure (ACLF), esophageal varices, portal hypertension, gastrointestinal bleeding, hepatic encephalopathy, ascites, liver inflammation, steatosis, and Barcelona Clinic Liver Cancer (BCLC) stage, as well as prior therapy (only for HCC patients), were collected from patients and medical records. Blood samples were collected to detect serum alanine aminotransferase (ALT), aspartate aminotransferase (AST), γ-glutamyl transpeptidase (GGT), alkaline phosphatase (AKP), total bilirubin (TBIL), creatinine, platelet (PLT), cholesterol, prothrombin time (PT), international normalized ratio (INR), cholinesterase (ChE), and albumin. Concomitantly, native HA activity was also detected according to the method mentioned above (the reference range of ALT, AST, GGT, AKP, TBIL, creatinine, PLT, cholesterol, PT, INR, ChE, and albumin was 0–40 U/L, 0–40 U/L, 12–58 U/L, 32–126 U/L, 3.0–22.0 µmol/L, 59–104 µmol/L, 125.0–350.0×109/L, ≤ 5.2 mmol/L, 11.0–14.0 s, 0.80–1.50, 4,650–10,440 U/L, and 35.0–50.0 g/L, respectively). Patient survival was recorded for up to one year.

The flow diagram of the study.
Fig. 4  The flow diagram of the study.

This study was approved by the Ethics Committee of the Sixth People’s Hospital of Shenyang (2020-08-001-02) and registered on the Medical Research Registration and Information System (Website: https://www.medicalresearch.org.cn/login , Registration number: MR-21-22-002630). The clinical cohort study was used in this research, and informed consent was obtained from all patients. All procedures were performed in accordance with the ethical standards of the Institutional Review Board of the Sixth People’s Hospital of Shenyang, and the principles outlined in the Helsinki Declaration of 1975 and its later amendments.

Statistical analysis

Kolmogorov-Smirnov tests were used to assess normality. Non-normally distributed variables were presented as median with interquartile range, and Mann-Whitney U tests were used to compare differences. Normally distributed variables were presented as mean ± standard deviation, and one-way analysis of variance (ANOVA) or independent sample t-tests were used to compare differences in continuous variables. Descriptive statistics were presented as frequencies (n [%]), and Pearson Chi-square tests or Fisher’s exact tests were used for categorical variables. Diagnostic performance was assessed by the area under the receiver operating characteristic curve (AUC). The association between albumin, native HA, six indicators (esophageal varices, portal hypertension, hepatic encephalopathy, ascites, ACLF, and gastrointestinal bleeding), and survival was assessed using Cox’s proportional hazards model. The cutoffs of native HA were determined through the median to plot survival curves. Statistical analysis was performed using SPSS software (version 24.0, IBM Corp., Armonk, NY, USA). P < 0.05 indicated statistically significant differences.

Results

Differences in clinical and laboratory data of LC patients

In the present study, 224 LC patients were enrolled, with 112 subjects in the normal albumin (NA) group (median albumin: 41.44 g/L, interquartile range (IQR): 6.65 g/L) and 112 subjects in the low albumin (LA) group (median albumin: 28.51 g/L, IQR: 5.70 g/L), based on serum albumin levels (NA group: 35 g/L ≤ serum albumin < 50 g/L; LA group: serum albumin < 35 g/L). No significant differences were noted in age, steatosis, ALT, or blood creatinine between the two groups (P > 0.05). The levels of AST, GGT, AKP, TBIL, PT, INR, and native HA activity were significantly elevated in the LA group, while the levels of PLT, cholesterol, and ChE were significantly lower in the LA group (P < 0.05). Compared with the NA group, patients in the LA group had higher Child-Pugh, MELD, and MELD-Na scores and were more likely to suffer from esophageal varices, portal hypertension, gastrointestinal bleeding, hepatic encephalopathy, ascites, liver inflammation, ACLF, and death. Details are described in Table 1.

Table 1

Clinical and laboratory evaluation of patients with Hepatitis B cirrhosis

VariablesNormal albumin group (n = 112)Low albumin group (n = 112)P-value
Age (year), mean (SD)56.00 (7.71)57.59 (7.70)0.124
Child-Pugh score, n (%)0.000
  Class A89 (79.5)18 (16.1)
  Class B23 (20.5)50 (44.6)
  Class C0 (0)44(39.3)
MELD score, median (IQR)6.95 (4.53)12.28 (7.95)0.000
MELD-Na score, median (IQR)2.15 (5.15)12.56(11.55)0.000
ACLF, n (%)4 (3.6)38 (33.9)0.000
Esophageal varices, n (%)30 (26.8)55 (49.1)0.001
Portal hypertension, n (%)12 (10.7)36 (32.1)0.000
Gastrointestinal bleeding, n (%)2 (1.8) 20 (17.9)0.000
Hepatic encephalopathy, n (%)3 (2.7)25 (22.3)0.000
Ascites, n (%)23 (20.5)78 (69.6)0.000
Inflammation, n (%)18 (16.1)31 (27.7)0.036
Steatosis, n (%)55 (49.1)51 (45.5)0.592
Survival in 1 year, n (%)108 (96.4)96 (85.7)0.005
ALT (U/L), median (IQR)36.40 (20.00)44.59 (31.50)0.125
AST(U/L), median (IQR)47.26 (17.50)74.77 (40.50)0.000
GGT(U/L), median (IQR)79.10 (46.25)98.33 (114.25)0.032
AKP(U/L), median (IQR)98.72(29.50)139.74 (91.00)0.000
TBIL (µmol/L), median (IQR)31.47 (16.35)89.86 (53.38)0.000
Blood creatinine (µmol/L), median (IQR)71.08(19.85)83.84 (25.05)0.479
PLT (109/L), median (IQR)122.27(121.50)106.60 (94.50)0.030
Cholesterol (mmol/L), mean (SD)4.09 (0.96)3.15 (1.06)0.000
PT (s), median (IQR)12.75(1.50)17.42 (4.23)0.000
INR, median (IQR)1.10 (0.12)6.87 (0.39)0.000
ChE(U/L), median (IQR)6,494.45 (3,212.25)3,613.49 (1,623.75)0.000
Native HA activity (%), median (SD)51.85(6.66)53.89(8.26)0.044

Differences in clinical and laboratory data of HCC patients

Sixty-six patients with HCC were included in the outcome analysis, with 33 subjects in the NA group (median albumin: 43.19 g/L, IQR: 8.80 g/L) and 33 subjects in the LA group (median albumin: 30.77 g/L, IQR: 6.50 g/L) based on serum albumin levels. No significant differences were noted in age, prior therapy, BCLC stage, ACLF, esophageal varices, portal hypertension, gastrointestinal bleeding, liver inflammation, steatosis, survival, AST, GGT, AKP, or blood creatinine between the two groups (P > 0.05). The levels of TBIL, PT, INR, and native HA activity were significantly higher in the LA group, while the levels of ALT, PLT, cholesterol, and ChE were lower in the LA group (P < 0.05). Compared with the NA group, patients in the LA group had higher Child-Pugh, MELD, and MELD-Na scores and were more likely to suffer from hepatic encephalopathy and ascites. Details are described in Table 2.

Table 2

Clinical and laboratory evaluation of patients with hepatocellular carcinoma

VariablesNormal albumin group (n = 33)Low albumin group (n = 33)P-value
Age (year), mean (SD)57.64 (6.91)59.85(6.00)0.170
Prior therapy, n (%)0.050
  Surgery19 (57.6)26 (78.8)
  TACE16 (42.9)15 (45.5)
  RFA9 (27.3)5 (15.2)
  SIRT5 (15.2)0 (0.0)
  Molecular targeted drug5 (15.2)1 (3.0)
BCLC stage, n (%)0.315
  Stage A11 (33.3)14 (42.4)
  Stage B10 (30.3)12 (36.4)
  Stage C12 (36.4)6(18.2)
  Stage D0 (0.0)1 (3.0)
Child-Pugh score, n (%)0.000
  Class A25 (75.6)5 (15.2)
  Class B8 (24.2)19 (57.6)
  Class C0 (0.0)9 (27.3)
MELD score, median (IQR)7.59 (4.13)13.89 (6.78)0.000
MELD-Na score, median (IQR)5.29 (7.08)13.24 (8.95)0.000
ACLF, n (%)3 (9.1)8 (24.2)0.099
Esophageal varices, n (%)10(30.3)13 (39.4)0.438
Portal hypertension, n (%)4 (12.1)5 (15.2)0.720
Gastrointestinal bleeding, n (%)0 (0.0)0(0.0)1.000
Hepatic encephalopathy, n (%)1 (3.0)7 (21.2)0.024
Ascites, n (%)7 (21.2)21 (63.6)0.000
Inflammation, n (%)13 (39.4)7 (21.2)0.108
Steatosis, n (%)10 (30.3)9(27.3)0.786
Survival in 1 year, n (%)29 (87.9)27 (81.8)0.492
ALT (U/L), median (IQR)49.51 (29.65)33.43 (29.00)0.021
AST(U/L), median (IQR)57.17 (27.50)74.66 (32.00)0.113
GGT(U/L), median (IQR)134.52 (120.50)87.52 (90.00)0.097
AKP(U/L), median (IQR)153.97 (78.50)213.76(77.00)0.189
TBIL (µmol/L), median (IQR)36.32 (50.65)79.63 (18.50)0.000
Blood creatinine (µmol/L), median (IQR)71.31 (23.00)87.83 (44.70)0.820
PLT (109/L), mean (SD)127.24 (58.11)89.47 (40.13)0.003
Cholesterol (mmol/L), mean (IQR)4.44 (1.30)3.29 (3.36)0.019
PT (s), median (IQR)12.71 (1.50)19.40 (4.20)0.000
INR, median (IQR)1.10 (0.12)1.72 (0.34)0.000
ChE(U/L), mean (SD)5,857.45 (2,029.65)3,590.24 (2,509.47)0.000
Native HA activity (%), mean (SD)33.69 (9.51)43.63 (15.40)0.002

The comparison between LC patients and HCC patients

No significant differences were noted in age, Child-Pugh score, MELD score, ACLF, esophageal varices, portal hypertension, hepatic encephalopathy, ascites, liver inflammation, survival, ALT, AST, TBIL, blood creatinine, PLT, cholesterol, PT, INR, ChE, or albumin between the two groups (P > 0.05). The levels of GGT and AKP were increased, whereas native HA activity was significantly decreased in the HCC group. The differences in these changes were statistically significant compared with the LC group (P < 0.05). Patients with LC had lower MELD-Na scores and were more likely to suffer from gastrointestinal bleeding and steatosis. Details are described in Table 3.

Table 3

Comparison between patients with hepatitis B cirrhosis and hepatocellular carcinoma

VariablesHepatitis B cirrhosis (n = 224)Hepatocellular carcinoma (n = 66)P-value
Age (year), mean (SD)56.79 (7.73)58.74 (6.52)0.064
Child-Pugh score, n (%)0.352
  Class A107 (47.8)30 (45.5)
  Class B73 (32.6)27 (40.9)
  Class C44(19.6)9 (13.6)
MELD score, median (IQR)9.69 (5.95)11.09 (6.58)0.050
MELD-Na score, median (IQR)7.50 (10.05)9.57 (7.58)0.009
ACLF, n (%)42 (18.7)11 (16.7)0.700
Esophageal varices, n (%)85 (37.9)23 (34.8)0.647
Portal hypertension, n (%)48(21.4)9 (13.6)0.162
Gastrointestinal bleeding, n (%)22 (9.8)0 (0.0)0.008
Hepatic encephalopathy, n (%)28 (12.5)8(12.1)0.935
Ascites, n (%)101 (45.1)28 (42.4)0.702
Inflammation, n (%)49 (21.9)20 (30.3)0.158
Steatosis, n (%)106 (47.3)19 (28.8))0.008
Survival in 1 year, n (%)204 (91.1)56 (84.8)0.145
ALT (U/L), median (IQR)40.50 (24.00)41.47 28.98)0.683
AST(U/L), median (IQR)61.01 (31.75)65.92 (33.30)0.497
GGT(U/L), median (IQR)88.72 (69.75)111.02 (120.50)0.004
AKP(U/L), median (IQR)119.23 (62.00)183.86 (76.75)0.000
TBIL (µmol/L), median (IQR)60.66 (41.55)57.97 (55.33)0.192
Blood creatinine (µmol/L), median (IQR)77.58 (20.23)79.44 (28.95)0.114
PLT (109/L), median (IQR)114.36 (121.00)108.35 (78.25)0.396
Cholesterol (mmol/L), mean (SD)3.64 (1.12)3.94 (1.59)0.136
PT (s), median (IQR)15.08 (3.43)16.16 (4.43)0.969
INR, median (IQR)4.01 (0.29)1.42 (0.37)0.860
ChE(U/L), median (IQR)5,053.97 (4,228.50)4,723.85 (3,465.50)0.493
Albumin (g/L), median (IQR)34.98 (12.65)37.20 (9.23)0.069
Native HA activity (%), median (IQR)52.87 (9.31)38.66 (24.05)0.000

Performance of albumin and native HA for evaluating the severity of liver disease

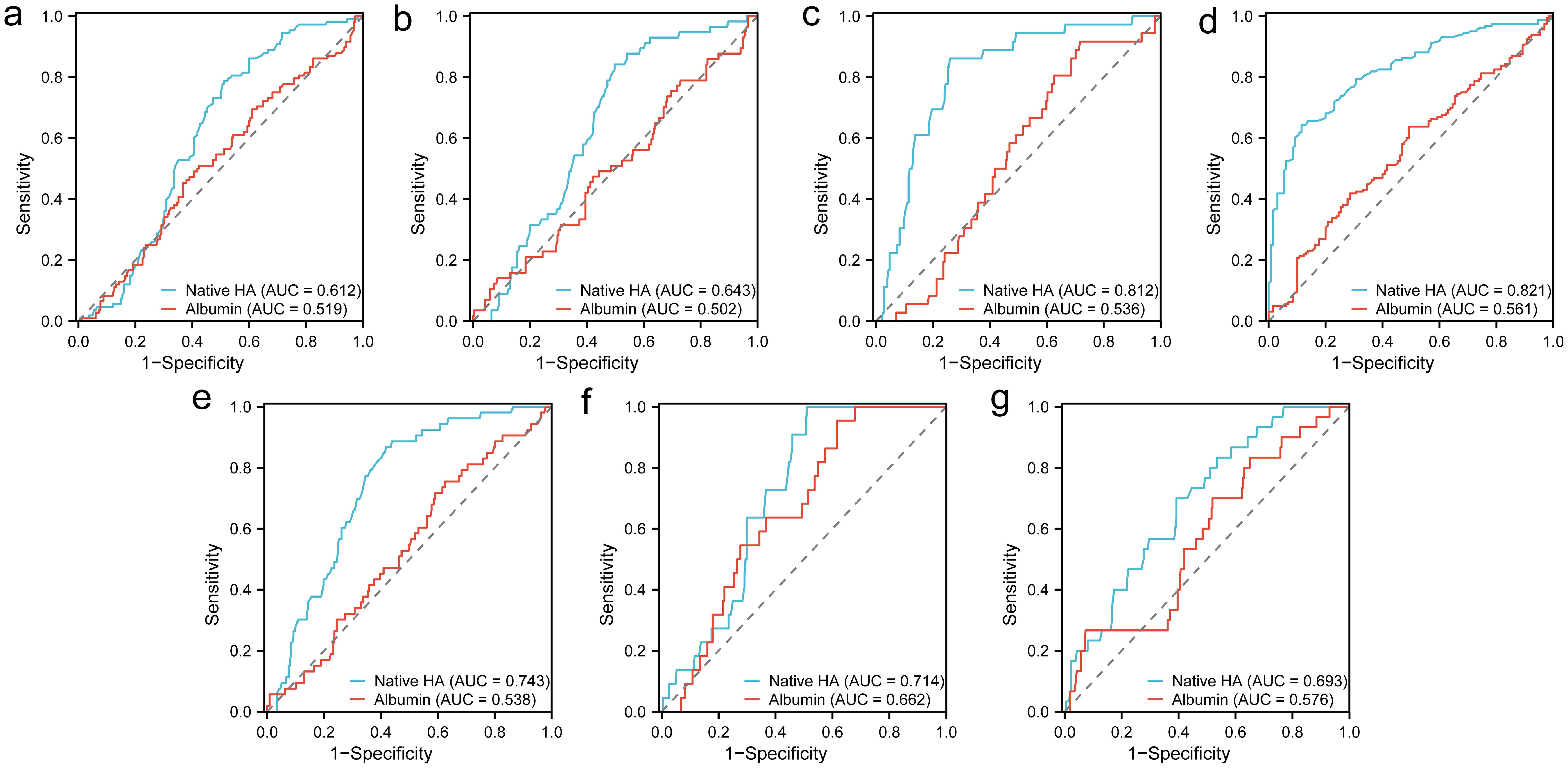
Among the seven indicators (esophageal varices, portal hypertension, hepatic encephalopathy, ascites, ACLF, gastrointestinal bleeding, and survival), native HA showed improved performance in evaluating the severity of liver disease compared with albumin. The highest diagnostic performance of native HA was detected in ascites, with an AUC of 0.82 (95% confidence interval (CI): 0.77–0.87), followed by hepatic encephalopathy, ACLF, and gastrointestinal bleeding, with AUCs of 0.81 (95% CI: 0.74–0.88), 0.74 (95% CI: 0.68–0.81), and 0.71 (95% CI: 0.64–0.79), respectively (Fig. 5).

Receiver operating characteristics curves.
Fig. 5  Receiver operating characteristics curves.

(a) Esophageal varices. (b) Portal hypertension. (c) Hepatic encephalopathy. (d) Ascites. (e) Acute-on-chronic liver failure. (f) Gastrointestinal bleeding. (g) One-year survival. AUC, area under receiver operating characteristics curve; HA, human albumin.

Relationship between albumin, native HA, and one-year survival

To compare the effects of albumin and active HA on patient survival, albumin and active HA were categorized into the NA and LA groups. Survival analysis demonstrated that patients with normal active HA had significantly higher survival rates than those with low active HA (P = 0.000, hazard ratio (HR): 5.427), which was superior to albumin (P = 0.017, HR: 2.670) (Fig. 6).

Survival curves.
Fig. 6  Survival curves.

(a) Albumin. (b) Active human albumin. LA, low albumin; NA, normal albumin.

Discussion

The liver is the largest digestive gland in the human body, primarily characterized by its metabolic functions.15 Patients with advanced liver disease have impaired hepatocellular function, especially those with advanced cirrhosis, where albumin synthesis may be reduced by 60–80%.7,16 It is well known that albumin levels are associated with survival.7,9 However, the prognostic significance of albumin depends not only on its total concentration but also on its physiological function and activity.17 Our prior research has shown that native HA activity reflects the biological function of albumin, whereas denatured HA consistently presents compromised activity. Therefore, we examined the differences in native HA activity among LC and HCC patients with different albumin levels, as well as the relationship with clinical prognosis.

Hepatocyte necrosis, damage to the hepatocyte cell membrane with increased permeability, or biliary obstruction can lead to an increase of AST and ALT in the blood. Notably, the ratio of AST to ALT changes as fibrosis develops.6 Many other serologic markers are also used for staging fibrosis in patients with CLD, such as indicators of liver metabolism (TBIL), hepatocellular synthetic function (PT, INR, cholesterol, and albumin), hepatic functional reserve (ChE), and hypersplenism caused by portal hypertension (platelet count).17–19 Child-Pugh and MELD scores have been widely used to evaluate the prognosis of liver cirrhosis.20 Although their prognostic values are similar, their benefits might vary in certain conditions.20 The Child-Pugh score categorizes patients into three stages: A - good hepatic function, B - moderately impaired hepatic function, and C - advanced hepatic dysfunction.21 The MELD score is more accurate in predicting short-term survival for patients with varying degrees of CLD. The MELD-Na score (which includes sodium in the MELD calculation) significantly improved the accuracy of the score.22 In this study, we found that hypoproteinemic patients, both in LC and HCC, have significantly higher levels of Child-Pugh score, MELD score, MELD-Na score, TBIL, PT, and INR, higher incidence of hepatic encephalopathy and ascites, and lower levels of PLT, cholesterol, and ChE compared with the NA group. These findings indicated that liver function associated with protein synthesis, metabolism, and storage were decreased, and that the severity of disease was more serious in patients with hypoproteinemia. We also found that AST, GGT, and AKP levels were higher in the LA group (vs. the NA group) in patients with LC. Similarly, the occurrence of ACLF, esophageal varices, portal hypertension, gastrointestinal bleeding, hepatic encephalopathy, liver inflammation, and death was higher in the LA group of LC patients. This data suggests that a decrease in albumin during liver cirrhosis may indicate a greater risk of deterioration. HCC is an advanced form of LC that can lead to increases in serum GGT, AKP, TBIL, and blood creatinine by changes such as liver dysfunction, local bile duct obstruction, and hepatorenal syndrome,23 and can reduce the occurrence of steatosis due to tumorigenesis. It has been observed that an increase in the MELD score is associated with a higher risk of mortality. However, patients with a low MELD score and low sodium levels have a higher risk of mortality.22 Compared with LC patients, the increased MELD-Na scores in HCC patients may suggest that MELD-Na scores play an important role in the pathogenesis of LC to HCC.

Although plasma albumin is widely used to evaluate early liver dysfunction, its predictive value is unsatisfactory. The function of albumin can be impaired in many ways, which is related to the clinical characteristics of liver diseases.18 The concentration of functionally normal albumin has attracted increasing interest in recent years. However, there is still a lack of an accurate method to evaluate the effective albumin concentration. In our study, a novel technique using a ratiometric fluorescence probe was used to detect native HA activity, which indicates active albumin with normal biological function. We found that while the albumin level in HCC patients was increased, the native HA activity was significantly reduced compared to LC patients. Previous studies have shown that albumin concentration is higher in HCC, which may suggest why the prognosis of certain HCC patients is superior to that of patients with cirrhosis.15 Other studies have shown that HCC cells, especially those approaching differentiation and maturation, can compensate for the dysfunction of hepatocytes.15 We hypothesize that this may explain why albumin levels in HCC patients are relatively higher than those found in LC patients. However, the lower native HA activity in HCC patients indicates that HCC liver function is impaired relative to LC patients. Even if cancer cells can play a partial compensatory role, it is likely that the albumin synthesized by HCC cells is functionally different from that secreted by normal liver cells. Patients with normal plasma albumin may have lower levels of native HA activity, while the total albumin concentration can partially compensate for the decrease in the proportion of native HA. Therefore, our research mainly focuses on patients with hypoalbuminemia, especially those with decreased plasma albumin and an absolute decrease in HA activity, whose prognosis may be worse. Interestingly, we found that the native HA activity in the LA group was considerably higher compared to the NA group in both LC and HCC patients. We hypothesize that this may be a compensatory mechanism whereby, upon detection of lower albumin concentration, the liver synthesizes more high-quality albumin with biological function to compensate for functional deficits caused by a lack of total albumin. It is possible that patients with a mild decrease in total albumin and a higher level of native HA have better liver function and prognosis than patients with an albumin level near the minimum threshold of the reference range and a lower level of native HA. In addition, native HA showed improved predictive validity in evaluating the severity of liver disease compared to albumin through the receiver operating characteristic curves, especially in cases of ascites, hepatic encephalopathy, ACLF, and gastrointestinal bleeding. The results of the survival analysis demonstrated the significant role of active HA in the survival of patients with LC and HCC. These data suggest that native HA activity may outperform total albumin concentration as a prognostic index for evaluating the severity of liver disease.

Conclusions

The probe technology used in our research has advantages such as low cost, good repeatability, and convenient detection. However, the probe technology relies on manual operation, and the reproducibility of testing results depends on the proficiency of operators. For the application of this technology in clinical testing, fully automated testing instruments should be developed to obtain better precision and accuracy. In addition, this study did not detect albumin activity in liver disease patients other than LC and HCC, and the results may also be affected by the small sample size. Future studies are still needed to carry out large-scale clinical trials to explore the evaluation of liver disease caused by different etiologies before and after the application of protein supplements. In conclusion, native HA activity may outperform total albumin concentration as a prognostic indicator for assessing the severity of liver disease.

Declarations

Acknowledgement

We thank all the colleagues who participated in data collection, sample preparation, testing, and analysis.

Ethical statement

This study was approved by the Ethics Committee of the Sixth People’s Hospital of Shenyang (2020-08-001-02) and registered on the Medical Research Registration and Information System (Website: https://www.medicalresearch.org.cn/login, Registration number: MR-21-22-002630). The clinical cohort study was used in this research, and informed consent was obtained from all patients. All procedures were performed in accordance with the ethical standards of the Institutional Review Board of the Sixth People’s Hospital of Shenyang, and the principles outlined in the Helsinki Declaration of 1975 and its later amendments.

Data sharing statement

No additional data are available.

Funding

This work was funded by grants from the Study on Detection Method and Clinical Application of Active Protein in Chronic Wasting Diseases (Project number:2020020209-JH2/103).

Conflict of interest

Among the authors, Mingyu Duan, affiliated with Shenyang Beichuang Laboratory Limited Liability Company, has a patent application related to the research presented in this manuscript (patent number CN114858763A). The patent is currently pending. No other conflicts of interest have been declared by the other authors.

Authors’ contributions

Study design, patient recruitment, sample acquisition (YW, GLC, FYC, MYD, YG, XL, XFW, TYC), data collection and analysis (XL, CL, XYL, JMQ, MYXL, LGZ), manuscript drafting, editing, and revising (XL, ZZL, MYD). All the authors have read, revised, and approved the final version of the manuscript.

References

  1. Sharma A, Nagalli S. Chronic Liver Disease. StatPearls. Treasure Island (FL): StatPearls Publishing; 2023 PubMed/NCBI
  2. Nault JC, Ningarhari M, Rebouissou S, Zucman-Rossi J. The role of telomeres and telomerase in cirrhosis and liver cancer. Nat Rev Gastroenterol Hepatol 2019;16(9):544-558 View Article PubMed/NCBI
  3. Zhou WC, Zhang QB, Qiao L. Pathogenesis of liver cirrhosis. World J Gastroenterol 2014;20(23):7312-7324 View Article PubMed/NCBI
  4. Yang YM, Kim SY, Seki E. Inflammation and Liver Cancer: Molecular Mechanisms and Therapeutic Targets. Semin Liver Dis 2019;39(1):26-42 View Article PubMed/NCBI
  5. Domenicali M, Baldassarre M, Giannone FA, Naldi M, Mastroroberto M, Biselli M, et al. Posttranscriptional changes of serum albumin: clinical and prognostic significance in hospitalized patients with cirrhosis. Hepatology 2014;60(6):1851-1860 View Article PubMed/NCBI
  6. Sun L, Yin H, Liu M, Xu G, Zhou X, Ge P, et al. Impaired albumin function: a novel potential indicator for liver function damage?. Ann Med 2019;51(7-8):333-344 View Article PubMed/NCBI
  7. Carvalho JR, Verdelho Machado M. New Insights About Albumin and Liver Disease. Ann Hepatol 2018;17(4):547-560 View Article PubMed/NCBI
  8. Alves de Mattos A. Current indications for the use of albumin in the treatment of cirrhosis. Ann Hepatol 2011;10(Suppl 1):S15-S20 PubMed/NCBI
  9. Zaccherini G, Bernardi M. The role and indications of albumin in advanced liver disease. Acta Gastroenterol Belg 2019;82(2):301-308 PubMed/NCBI
  10. Valerio C, Theocharidou E, Davenport A, Agarwal B. Human albumin solution for patients with cirrhosis and acute on chronic liver failure: Beyond simple volume expansion. World J Hepatol 2016;8(7):345-354 View Article PubMed/NCBI
  11. Ge GB, Ai CZ, Hu WB, Hou J, Zhu LL, He GY, et al. The role of serum albumin in the metabolism of Boc5: molecular identification, species differences and contribution to plasma metabolism. Eur J Pharm Sci 2013;48(1-2):360-369 View Article PubMed/NCBI
  12. Ge GB, Feng L, Jin Q, Wang YR, Liu ZM, Zhu XY, et al. A novel substrate-inspired fluorescent probe to monitor native albumin in human plasma and living cells. Anal Chim Acta 2017;989:71-79 View Article PubMed/NCBI
  13. Chinese Society of Infectious Diseases, Chinese Medical Association, Chinese Society of Hepatology, Chinese Medical Association. The guidelines of prevention and treatment for chronic hepatitis B (2019 version). Zhonghua Gan Zang Bing Za Zhi 2019;27(12):938-961 View Article PubMed/NCBI
  14. Zhou J, Sun H, Wang Z, Cong W, Wang J, Zeng M, et al. Guidelines for the Diagnosis and Treatment of Hepatocellular Carcinoma (2019 Edition). Liver Cancer 2020;9(6):682-720 View Article PubMed/NCBI
  15. Ren M, Li J, Xue R, Wang Z, Coll SL, Meng Q. Liver function and energy metabolism in hepatocellular carcinoma developed in patients with hepatitis B-related cirrhosis. Medicine (Baltimore) 2019;98(19):e15528 View Article PubMed/NCBI
  16. Meng QH, Hou W, Yu HW, Lu J, Li J, Wang JH, et al. Resting energy expenditure and substrate metabolism in patients with acute-on-chronic hepatitis B liver failure. J Clin Gastroenterol 2011;45(5):456-461 View Article PubMed/NCBI
  17. Woreta TA, Alqahtani SA. Evaluation of abnormal liver tests. Med Clin North Am 2014;98(1):1-16 View Article PubMed/NCBI
  18. Carr BI, Giannelli G, Guerra V, Giannini EG, Farinati F, Rapaccini GL, et al. Plasma cholesterol and lipoprotein levels in relation to tumor aggressiveness and survival in HCC patients. Int J Biol Markers 2018;33(4):423-431 View Article PubMed/NCBI
  19. Michalak A, Cichoż-Lach H, Guz M, Kozicka J, Cybulski M, Jeleniewicz W. Plateletcrit and Mean Platelet Volume in the Evaluation of Alcoholic Liver Cirrhosis and Nonalcoholic Fatty Liver Disease Patients. Biomed Res Int 2021;2021:8867985 View Article PubMed/NCBI
  20. Peng Y, Qi X, Guo X. Child-Pugh Versus MELD Score for the Assessment of Prognosis in Liver Cirrhosis: A Systematic Review and Meta-Analysis of Observational Studies. Medicine (Baltimore) 2016;95(8):e2877 View Article PubMed/NCBI
  21. Tsoris A, Marlar CA. Use Of The Child Pugh Score In Liver Disease. StatPearls. Treasure Island (FL): StatPearls Publishing; 2023 PubMed/NCBI
  22. Ruf A, Dirchwolf M, Freeman RB. From Child-Pugh to MELD score and beyond: Taking a walk down memory lane. Ann Hepatol 2022;27(1):100535 View Article PubMed/NCBI
  23. Lowe D, Sanvictores T, Zubair M, John S. Alkaline Phosphatase. StatPearls. Treasure Island (FL): StatPearls Publishing; 2023 PubMed/NCBI

About this Article

Cite this article
Liu X, Chen F, Liu Z, Duan M, Gu Y, Liang X, et al. A Novel Probe Technology for Detecting Native Albumin Activity as a Biomarker in Patients with Hepatitis B-related Cirrhosis and Hepatocellular Carcinoma and Its Clinical Applications. Future Integr Med. 2024;3(3):172-182. doi: 10.14218/FIM.2024.00022.
Copy        Export to RIS        Export to EndNote
Article History
Received Revised Accepted Published
April 23, 2024 July 15, 2024 July 26, 2024 August 30, 2024
DOI http://dx.doi.org/10.14218/FIM.2024.00022
  • Future Integrative Medicine
  • pISSN 2993-5253
  • eISSN 2835-6357
Back to Top

A Novel Probe Technology for Detecting Native Albumin Activity as a Biomarker in Patients with Hepatitis B-related Cirrhosis and Hepatocellular Carcinoma and Its Clinical Applications

Xing Liu, Fengyang Chen, Zhaozhe Liu, Mingyu Duan, Ye Gu, Xuan Liang, Xiaofeng Wu, Cheng Lv, Xinyue Li, Jiamin Qian, Meiyuxi Li, Linge Zhang, Tianyue Chen, Yan Wang, Guoliang Chen
  • Reset Zoom
  • Download TIFF