v
Search
Advanced

Publications > Journals > Future Integrative Medicine> Article Full Text

  • OPEN ACCESS

Comparative Metabolism of the Humantenirine in Liver Microsomes from Pigs, Goats, and Humans

  • Yunfan Wang1,2,
  • Xuejia Qi1,2,
  • Mengting Zuo1,2 and
  • Zhaoying Liu1,2,* 
 Author information 

Abstract

Background and objectives

Gelsemium elegans Benth (G. elegans) is a traditional medicinal plant; however, it is highly toxic, and toxicity varies significantly between species. The cause of this difference has not been clarified. Humantenirine is an important toxic alkaloid in G. elegans, and its metabolism has been poorly studied. This study aimed to compare the different metabolites formed by human liver microsomes, pig liver microsomes, and goat liver microsomes.

Methods

High-performance liquid chromatography/quadrupole time-of-flight mass spectrometry was used to study the metabolism of humantenirine in human liver microsomes, pig liver microsomes, and goat liver microsomes.

Results

A total of eight metabolites (M1-M8) were identified, and three major metabolic pathways were found: demethylation (M1), dehydrogenation (M2, M3, M7), and oxidation (M4, M5, M6, M8).

Conclusions

Based on these results, it is hypothesized that demethylation is the major detoxification pathway for humantenirine, providing important information to better understand the metabolism and toxicity differences between species of G. elegans.

Keywords

Comparative metabolism, Humantenirine, Gelsemium elegans, Human, Mass spectrometry, Liver microsomes

Introduction

Gelsemium elegans Benth (G. elegans) is an evergreen woody vine widely distributed in southern China. G. elegans is often used as a Chinese veterinary herb and can increase the appetite of pigs. Modern pharmacological studies have shown that G. elegans has multiple pharmacological effects, including immune regulation, anxiety reduction, anti-tumor properties, and neurological analgesia. However, G. elegans is also a toxic plant with strong neurotoxicity, particularly towards humans and rats. Oral gavage of G. elegans at a dose of 1 g/kg did not cause toxicity in pigs and goats but caused acute toxic deaths in rats.1G. elegans poisoning is characterized by nausea, vomiting, convulsions, and severe respiratory depression.2,3 In recent years, poisoning incidents have occurred sporadically,4 limiting its clinical use.

Many compounds have been identified from G. elegans, including alkaloids, cyclic ether compounds, and steroids. The main active ingredients and toxic components of G. elegans are alkaloids.5 Based on their structural characteristics, these alkaloids are classified into six categories: gelsenicine-type, humantenine-type, gelsemine-type, koumine-type, sarpagine-type, and yohimbane-type. Previous studies have reported on the pharmacokinetics and tissue distribution of koumine,6,7 gelsemine,8 and gelsenicine,9 with demethylation, oxidation, and dehydrogenation being common metabolic pathways for all three alkaloids. The humantenine-type alkaloids include 28 compounds such as humantenine, humamtendine, humantenirine, and rankinidine.10 Among these, humantenine-type alkaloids are the main toxic compounds in G. elegans due to their very low median lethal dose (LD50). For example, the LD50 of humantendine in mice is only 0.21 mg/kg,11 and the LD50 of humantenirine in mice is only 0.071 mg/kg.12 In previous studies by our research group, the metabolism of humantenine and rankinidine was investigated in mice, goats, pigs, and human liver microsomes, including the analysis of metabolism and tissue distribution after humantenirine administration in mice.13,14 However, there has been no thorough study of humantenirine’s metabolic profile in human liver microsomes (HLM), pig liver microsomes (PLM), and goat liver microsomes (GLM) until now. As humantenirine is a major toxicant in G. elegans, differences in its metabolism are likely to be responsible for species-specific differences in G. elegans toxicity. Therefore, the present study is the first to investigate the metabolism of humantenirine in HLM, PLM, and GLM.

High-performance liquid chromatography/quadrupole time-of-flight mass spectrometry (HPLC/QqTOF-MS) is widely used in the identification of Chinese drugs and metabolites in biological samples due to its high sensitivity and specificity.15,16 By comparing the molecular mass, molecular formula, and MS2 spectrum between the prototype and metabolites, the structure of metabolites can be characterized quickly and reliably. Therefore, this study uses HPLC/QqTOF-MS to clarify the main metabolic pathways of humantenirine and to compare humantenirine metabolites in liver microsomes of different species. This study contributes to understanding the reasons for species-specific differences in G. elegans toxicity and lays the foundation for the development and application of G. elegans.

Materials and methods

Chemicals

Humantenirine was purchased from Chengdu Mansite Biotechnology Co. (Chengdu, Sichuan, China). The BCA Protein Assay Kit was obtained from ComWin Biotech Co., Ltd. (Beijing, China). Nicotinamide adenine dinucleotide phosphate (NADPH) was sourced from Beijing Solarbio Technology Co., Ltd. (Beijing, China). Formic acid and acetonitrile were purchased from Merck (Darmstadt, Germany). Ultrapure water was acquired using Milli-Q purification technology (Millipore, Bedford, MA, USA). All other chemicals and reagents used in this study were of high analytical grade and commercially available.

HLM were obtained from PrimeTox Biomedical Technology Co., Ltd (Wuhan, Hubei, China; 20 mg/mL pooled Chinese male donors), and the study conformed to the ethical guidelines of the Helsinki Declaration (as revised in 2013). Our earlier study described the sources of goats and pigs and the procedure for preparing liver microsomes from them17; before use, all liver microsomes were preserved at −70°C.

Metabolism of humantenirine in liver microsomes

The incubation mixture contained 10 mmol/L humantenirine, 5 mmol/L MgCl2, 1 mg/mL liver microsome protein, 2 mmol/L NADPH, and 0.05 mol/L Tris-HCl buffer (pH 7.4) in a total volume of 200 µL. The reaction mixture was preincubated for 5 m at 37°C, and then the reaction was initiated by the addition of humantenirine. Control incubations were conducted in the absence of NADPH. After one hour, the reaction was terminated by adding 15% trichloroacetic acid (50 µL) to the mixture. The mixture was kept on ice until it was centrifuged for 15 m at 12,000 g, followed by filtration through a 0.22 µm membrane, and subsequent analysis under high-performance liquid chromatography/quadrupole time-of-flight (LC-QTOF) mass spectrometry analytical conditions. All incubations were performed in independent experiments, each conducted in triplicate.

LC-QTOF analytical conditions

The mass spectrometer operated in positive mode using an electrospray ionization source. Mass spectrometric analyses were carried out using full-scan MS mode with a mass range of m/z 50–1,000 and automatic MS/MS acquisition. The operating parameters were as follows: gas temperature, 300°C; capillary voltage, 4.0 kV; nebulizer pressure, 35 psi; sheath gas temperature, 350°C; sheath gas flow rate, 11 L/m; skimmer voltage, 65 V; and fragmentor voltage, 175 V. Nine liters of nitrogen per minute was used as the nebulizing gas. For mass corrections, automated calibrant delivery systems were used to provide accurate mass measurements for each peak from the total ion chromatograms. Agilent Mass Hunter software (B.01.03) was used to acquire the data. Methods for analyzing humantenirine metabolites have been described in previous studies.14

Results

Metabolites and metabolic pathways of humantenirine in PLM, GLM, and HLM

HPLC/QqTOF-MS analysis was performed to identify the metabolites of humantenirine in GLM, HLM, and PLM. A total of eight humantenirine metabolites (M1–M8) were identified across the three liver microsomes. Seven metabolites (M1–M7) were observed in HLM, six metabolites (M1–M3, M5, M6, and M8) were found in PLM, and seven metabolites (M1–M6, M8) were identified in GLM. The m/z of protonated molecular ions ([M+H]+) for metabolites M1–M8 were 357.1809, 369.1809, 369.1809, 387.1914, 387.1914, 385.1758, 385.1758, and 373.1758, respectively. Figure 1 shows the extracted ion chromatograms of the humantenirine metabolites.

The extracted ion chromatograms of M1-M7 (HLM) and M8 (GLM).
Fig. 1  The extracted ion chromatograms of M1-M7 (HLM) and M8 (GLM).

GLM, goat liver microsomes; HLM, human liver microsomes.

In an experiment involving the oral administration of humantenirine to rats, a total of eight humantenirine metabolites were identified, including seven metabolites found in this study (M1–M3, M5–M8). Their retention times, elemental compositions, observed masses, predicted masses, mass errors, and other key information have been described in detail in previous papers.14

M4 is a newly discovered metabolite in HLM and GLM; however, M4 was not identified in PLM. The secondary mass spectrum was used to further analyze the structure of the metabolic product M4. Figure 2 shows the MS2 map of the metabolites.

The product ion spectra of metabolite M4.
Fig. 2  The product ion spectra of metabolite M4.

The chemical formula of metabolite M4 is C21H26N2O5, with a retention time of 9.8 m. A [M+H]+ ion of M4 at m/z 387, which was 16 Da higher than humantenirine, was observed. The MS2 spectra of protonated M4 showed that the ions at m/z 341 and 180 were 16 Da higher than humantenirine at m/z 325 and 164, respectively. Therefore, it is speculated that M4 is an oxidation metabolite of humantenirine. Table 1 provides the molecular formula, accurate quality, and quality measurement error of humantenirine and its metabolites.

Table 1

The retention time (RT), elemental compositions, observed masses, predicted masses, mass errors of humantenirine and its metabolites in HLM, PLM, GLM

CompoundRT (m)Elemental compositionObserved massPredicated massMass error (ppm)Product ion
Humantenirine16.1C21H26N2O4371.1954371.19653.06340.1776, 325.1535, 311.1410, 176.0699, 164.1061, 108.0801
M111.0C20H24N2O4357.1814357.1809−1.45326.1608, 311.1376, 297.1284, 178.1207, 164.1063, 162.0544, 108.0808
M214.1C21H24N2O4369.1802369.18091.86338.1627, 323.1363, 309.1601, 176.1065, 164.1068, 162.0936, 108.0809, 106.0669
M315.0C21H24N2O4369.1810369.1809−0.32338.1599, 323.1443, 311.1803, 309.1572, 293.1284, 108.0642
M49.8C21H26N2O5387.1919387.1914−1.17341.1487, 188.0668, 180.0922, 176.0718, 162.0884
M511.0C21H26N2O5387.1920387.1914−1.43356.1674, 341.1505, 338.1610, 325.1517, 310.1772, 180.1011, 176.0714, 162.0851, 106.0701
M614.1C21H24N2O5385.1768385.1758−2.61354.1412, 339.1323, 325.1490, 323.1596, 176.0663, 120.0745, 106.0642
M716.1C21H24N2O5385.1751385.17581.82354.1554, 339.0008, 336.1749, 311.1277, 178.0848, 174.0796, 136.0764, 122.0629, 106.0713
M85.5C20H24N2O5373.1762373.1758−1.08342.1651, 327.1279, 311.1377, 282.1454, 194.1093, 180.0991

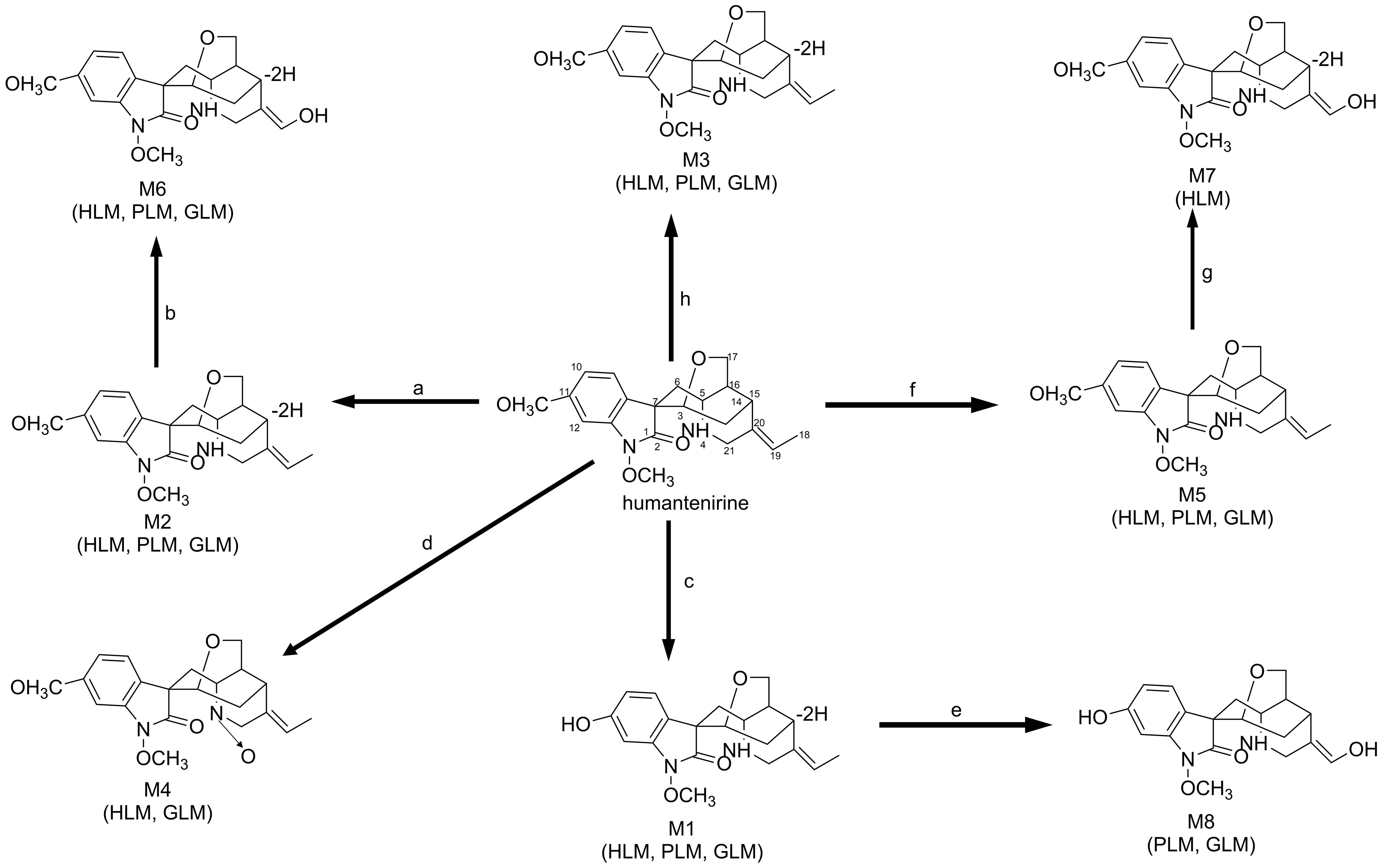
This study is the first to use HPLC/QqTOF-MS to identify the metabolites of humantenirine in PLM, HLM, and GLM. Based on the metabolic pathways of humantenirine,11,14 as reported in previous studies, it is speculated that the possible metabolic pathways and metabolites of humantenirine involve three main processes: demethylation (M1), dehydrogenation (M2, M3, M7), and oxidation (M4, M5, M6, M8). Figure 3 illustrates the possible metabolic pathways of humantenirine in HLM, PLM, and GLM.

The possible metabolic pathways of humantenirine in HLM, PLM, GLM.
Fig. 3  The possible metabolic pathways of humantenirine in HLM, PLM, GLM.

(a, h, g) dehydrogenation; (b, d, e, f) oxidation; (c) demethylation. GLM, goat liver microsomes; HLM, human liver microsomes; PLM, pig liver microsomes.

The relative peak intensities of humantenirine metabolites in different species

By comparing the relative peak intensities of these metabolites, among the eight metabolites, M1–M3, M5, and M6 were detected in all three liver microsomes, but the levels of these metabolites showed significant differences. In the liver microsomes of the three species, the content of M1 followed this order: pig > goat > human. Compared with HLM, the peak intensity of M1 in PLM increased by approximately fivefold, and the M1 peak intensity in GLM increased by twofold. Both PLM and GLM contained similar amounts of M2, while the content detected in HLM was about fivefold higher than in PLM and GLM. HLM had the highest amount of M3, followed by GLM and PLM. Similar levels of M5 were detected in PLM and GLM, while approximately tenfold higher levels of M5 were detected in HLM compared to PLM and GLM. The content of M6 was identified in the following order: human > pig > goat, with the content detected in HLM approximately eightfold higher than in PLM, and approximately tenfold higher than in GLM. M4 was detected only in HLM and GLM, with the content in HLM approximately eightfold higher than in GLM. M7 was detected only in HLM. M8 was detected in GLM and PLM, with the content of M8 in GLM approximately fivefold higher than in PLM. The specific relative peak intensities of M1–M8 are shown in Table 2.14

Table 2

The relative peak intensity of humantenirine and its metabolites in HLM, PLM, GLM, and rat live

CompoundHLMSPLMSGLMSRat live14
Humantenirine3.25 × 1061.3 × 1062.0 × 1061.0 × 106
M16.0 × 1053.3 × 1061.8 × 1068.0 × 105
M23.1 × 1052.5 × 1042.9 × 1041.0 × 105
M30.2 × 1051.3 × 1041.6 × 1040.6 × 104
M41.7 × 104ND0.2 × 104
M55.2 × 1046.3 × 1030.6 × 1047.0 × 104
M68.0 × 1041.0 × 1048.5 × 1032.1 × 104
M72.8 × 104NDND3.0 × 104
M8ND6.8 × 1033.3 × 1041.0 × 105

Discussion

Seven metabolites were found in rat liver microsomes, seven in human liver microsomes,14 seven in goat liver microsomes, and six in pig liver microsomes, suggesting that there is no significant difference in the metabolism of humantenirine among different species. As shown in Figure 3, the main metabolic pathways of humantenirine in liver microsomes of humans, pigs, and goats were demethylation, oxidation, and dehydrogenation. Current metabolic studies on G. elegans alkaloids, including koumine, gelsemine, and gelsenicine, have found that their major metabolic pathways include oxidation, demethylation, dehydrogenation, N-demethylation, and hydrogenation.16,18 Metabolic studies on the multi-component nature of G. elegans also showed that the major metabolic pathways of G. elegans in goats are oxidation, glucuronidation, demethylation, dehydrogenation, and hydrogenation.19 It is inferred that the metabolic pathways of G. elegans alkaloids are similar across species and that demethylation, dehydrogenation, and oxidation are common metabolic pathways for G. elegans alkaloids.

Demethylation was the major metabolic pathway in liver microsomes of the three species. According to previous studies, demethylation may be the detoxification pathway for gelsenicine.20 In the present study, the demethylated metabolite M1 of humantenirine was found to have a higher peak intensity in the liver microsomes of goats and pigs than in humans, suggesting that demethylation is the detoxification pathway for G. elegans alkaloids. Additionally, it has been reported that the dehydrogenation metabolic pathway may be a toxic pathway for rankinidine.13 The peak intensities of the dehydrogenated metabolites, M2 and M3, were higher in rat and human liver microsomes than in pig and goat liver microsomes, which suggests that this may be the main toxicity pathway for G. elegans alkaloids. The relatively high peak intensities of dehydro-metabolites and relatively low peak intensities of demethylated metabolites in rat and human liver microsomes suggest that humans may be more susceptible to toxicity than pigs and goats. This difference may be related to variations in the composition and levels of the metabolic enzyme CYP450 in the livers of different species.21 However, this is only a conjecture, and further studies are needed to confirm these results. The predicted ADMET (absorption, distribution, metabolism, excretion and toxicity) properties of G. elegans revealed that all G. elegans alkaloids were predicted to be substrates of CYP3A4, which is the major metabolizing enzyme of G. elegans alkaloids, and that the catalytic activity of CYP3A4 shows significant species differences.22 Additionally, it was found that koumine and humantenmine could be detoxified by CYP3A4/5-mediated metabolic reactions,23,24 and CYP3A4-mediated metabolic reactions could also reduce the toxicity of gelsemine.17 Therefore, we hypothesize that the degree of metabolism of G. elegans in different species is also related to the level of CYP3A4/5.

Conclusions

This study used HPLC/QqTOF-MS for the first time to study the in vitro metabolism of humantenirine in different species. In HLM, GLM, and PLM, eight metabolites were identified, and three metabolic pathways (demethylation, dehydrogenation, and oxidation) were discovered. There were no significant differences in metabolic pathways between the species. This study provides a substantial theoretical basis for understanding the toxicological differences of G. elegans across different species.

Declarations

Acknowledgement

None.

Data sharing statement

No additional data are available.

Funding

This work was supported by the National Natural Science Foundation of China (Grant No. 31972737).

Conflict of interest

ZYL has been an editorial board member of Future Integrative Medicine since February 2023. The author declares no other conflicts of interest.

Authors’ contributions

Experiments conceiving and designing (ZYL), experiments performance (XJQ), manuscript drafting (YFW), and critically editing (MTZ, ZYL).

References

  1. Cao JJ, Yang K, Yu H, Long XM, Li YJ, Sun ZL, et al. Comparative toxicokinetic profiles of multiple-components of Gelsemium elegans in pigs and rats after a single oral administration. Toxicon 2020;181:28-35 View Article PubMed/NCBI
  2. Cheung WL, Law CY, Lee HCH, Tang CO, Lam YH, Ng SW, et al. Gelsemium poisoning mediated by the non-toxic plant Cassytha filiformis parasitizing Gelsemium elegans. Toxicon 2018;154:42-49 View Article PubMed/NCBI
  3. Shen X, Ma J, Wang X, Wen C, Zhang M. Toxicokinetics of 11 Gelsemium Alkaloids in Rats by UPLC-MS/MS. Biomed Res Int 2020;2020:8247270 View Article PubMed/NCBI
  4. Yang S, Liu Y, Sun F, Zhang J, Jin Y, Li Y, et al. Gelsedine-type alkaloids: Discovery of natural neurotoxins presented in toxic honey. J Hazard Mater 2020;381:120999 View Article PubMed/NCBI
  5. Zuo MT, Liu YC, Sun ZL, Lin L, Tang Q, Cheng P, et al. An integrated strategy toward comprehensive characterization and quantification of multiple components from herbal medicine: An application study in Gelsemium elegans. Chin Herb Med 2021;13(1):17-32 View Article PubMed/NCBI
  6. Ye LX, Xu Y, Zhang SH, Cao DX, Chen LF, Su YP, et al. Orally Administered Koumine Persists Longer in the Plasma of Aged Rats Than That of Adult Rats as Assessed by Ultra-Performance Liquid Chromatography-Tandem Mass Spectrometry. Front Pharmacol 2020;11:1113 View Article PubMed/NCBI
  7. Wang L, Sun Q, Zhao N, Wen YQ, Song Y, Meng FH. Ultra-Liquid Chromatography Tandem Mass Spectrometry (UPLC-MS/MS)-Based Pharmacokinetics and Tissue Distribution Study of Koumine and the Detoxification Mechanism of Glycyrrhiza uralensis Fisch on Gelsemium elegans Benth. Molecules 2018;23(7):1693 View Article PubMed/NCBI
  8. Zhang S, Hu S, Yang X, Shen J, Zheng X, Huang K, et al. Development of a liquid chromatography with mass spectrometry method for the determination of gelsemine in rat plasma and tissue: Application to a pharmacokinetic and tissue distribution study. J Sep Sci 2015;38(6):936-942 View Article PubMed/NCBI
  9. Li J, Jin Y, Fu H, Huang Y, Wang X, Zhou Y. Pharmacokinetics and bioavailability of gelsenicine in mice by UPLC-MS/MS. Biomed Chromatogr 2019;33(3):e4418 View Article PubMed/NCBI
  10. Jin GL, Su YP, Liu M, Xu Y, Yang J, Liao KJ, et al. Medicinal plants of the genus Gelsemium (Gelsemiaceae, Gentianales)—a review of their phytochemistry, pharmacology, toxicology and traditional use. J Ethnopharmacol 2014;152(1):33-52 View Article PubMed/NCBI
  11. Huang SJ, Zuo MT, Qi XJ, Ma X, Wang ZY, Liu ZY. In vitro Metabolism of Humantenine in Liver Microsomes from Human, Pig, Goat and Rat. Curr Drug Metab 2021;22(10):795-7801 View Article PubMed/NCBI
  12. Qi XJ, Huang CY, Zuo MT, Gong MD, Huang SJ, Tang MH, et al. Network Pharmacology and Experimental Verification to Unveil the Mechanism of N-Methyl-D-Aspartic Acid Rescue Humantenirine-Induced Excitotoxicity. Metabolites 2023;13(2):195 View Article PubMed/NCBI
  13. Gong MD, Qin JY, Zuo MT, Qi XJ, Wu Y, Zheng XF, et al. A high-resolution mass spectrometric approach to a qualitative and quantitative comparative metabolism of the humantenine-type alkaloid rankinidine. Rapid Commun Mass Spectrom 2022;36(12):e9302 View Article PubMed/NCBI
  14. Qi XJ, Zuo MT, Huang SJ, Ma X, Wang ZY, Liu ZY. Metabolic profile and tissue distribution of Humantenirine, an oxindole alkaloid from Gelsemium, after oral administration in rats. J Chromatogr B Analyt Technol Biomed Life Sci 2021;1181:122901 View Article PubMed/NCBI
  15. Fan L, Tong Q, Dong W, Yang G, Hou X, Xiong W, et al. Tissue Distribution, Excretion, and Metabolic Profile of Dihydromyricetin, a Flavonoid from Vine Tea (Ampelopsis grossedentata) after Oral Administration in Rats. J Agric Food Chem 2017;65(23):4597-4604 View Article PubMed/NCBI
  16. Wang ZY, Zuo MT, Zhao XJ, Li YJ, Sun ZL, Liu ZY. Comparative metabolism of gelsenicine in liver microsomes from humans, pigs, goats and rats. Rapid Commun Mass Spectrom 2020;34(17):e8843 View Article PubMed/NCBI
  17. Wang ZY, Zuo MT, Liu ZY. The Metabolism and Disposition of Koumine, Gelsemine and Humantenmine from Gelsemium. Curr Drug Metab 2019;20(7):583-591 View Article PubMed/NCBI
  18. Liu YC, Xiao S, Yang K, Ling L, Sun ZL, Liu ZY. Comprehensive identification and structural characterization of target components from Gelsemium elegans by high-performance liquid chromatography coupled with quadrupole time-of-flight mass spectrometry based on accurate mass databases combined with MS/MS spectra. J Mass Spectrom 2017;52(6):378-396 View Article PubMed/NCBI
  19. Liu YC, Lin L, Cheng P, Sun ZL, Wu Y, Liu ZY. Fingerprint analysis of Gelsemium elegans by HPLC followed by the targeted identification of chemical constituents using HPLC coupled with quadrupole-time-of-flight mass spectrometry. Fitoterapia 2017;121:94-105 View Article PubMed/NCBI
  20. Yang K, Huang YJ, Xiao S, Liu YC, Sun ZL, Liu YS, et al. Identification of gelsemine metabolites in rat liver S9 by high-performance liquid chromatography/quadrupole-time-of-flight mass spectrometry. Rapid Commun Mass Spectrom 2018;32(1):19-22 View Article PubMed/NCBI
  21. Zuo MT, Wang ZY, Yang K, Li YJ, Huang CY, Liu YC, et al. Characterization of absorbed and produced constituents in goat plasma urine and faeces from the herbal medicine Gelsemium elegans by using high-performance liquid chromatography coupled with quadrupole time-of-flight mass spectrometry. J Ethnopharmacol 2020;252:112617 View Article PubMed/NCBI
  22. Xiang Z, Qiu J, He X, Yu X. Toxicokinetics, in vivo metabolic profiling, and in vitro metabolism of gelsenicine in rats. Arch Toxicol 2022;96(2):525-533 View Article PubMed/NCBI
  23. Fink-Gremmels J. Implications of hepatic cytochrome P450-related biotransformation processes in veterinary sciences. Eur J Pharmacol 2008;585(2-3):502-509 View Article PubMed/NCBI
  24. Martignoni M, Groothuis GM, de Kanter R. Species differences between mouse, rat, dog, monkey and human CYP-mediated drug metabolism, inhibition and induction. Expert Opin Drug Metab Toxicol 2006;2(6):875-894 View Article PubMed/NCBI
  25. Sun R, Chen M, Hu Y, Lan Y, Gan L, You G, et al. CYP3A4/5 mediates the metabolic detoxification of humantenmine, a highly toxic alkaloid from Gelsemium elegans Benth. J Appl Toxicol 2019;39(9):1283-1292 View Article PubMed/NCBI
  26. Hu Y, Wang Z, Huang X, Xia B, Tang L, Zheng Z, et al. Oxidative metabolism of koumine is mainly catalyzed by microsomal CYP3A4/3A5. Xenobiotica 2017;47(7):584-591 View Article PubMed/NCBI

About this Article

Cite this article
Wang Y, Qi X, Zuo M, Liu Z. Comparative Metabolism of the Humantenirine in Liver Microsomes from Pigs, Goats, and Humans. Future Integr Med. 2024;3(3):153-159. doi: 10.14218/FIM.2024.00029.
Copy        Export to RIS        Export to EndNote
Article History
Received Revised Accepted Published
June 13, 2024 August 3, 2024 August 15, 2024 September 5, 2024
DOI http://dx.doi.org/10.14218/FIM.2024.00029
  • Future Integrative Medicine
  • pISSN 2993-5253
  • eISSN 2835-6357
Back to Top

Comparative Metabolism of the Humantenirine in Liver Microsomes from Pigs, Goats, and Humans

Yunfan Wang, Xuejia Qi, Mengting Zuo, Zhaoying Liu
  • Reset Zoom
  • Download TIFF