v
Search
Advanced

Publications > Journals > Future Integrative Medicine> Article Full Text

  • OPEN ACCESS

Storage Process: A New Method Reduces the Acute Toxicity of the Essential Oil of Artemisia argyi H. Lév. & Vaniot by 40%

  • Yu Liu1,2,#,
  • Yanan He1,#,
  • Qi Hu1,
  • Xin Yang1,
  • Hongyan Ma1,
  • Haozhou Huang3,
  • Ming Yang4,* and
  • Dingkun Zhang1,5,* 
 Author information 

Abstract

Background and objectives

Artemisia argyi H. Lév. & Vaniot essential oil (AAEO) holds significant pharmacological potential, but its application is constrained by hepatotoxicity. This study aimed to investigate the feasibility of reducing AAEO’s toxicity through storage and to evaluate changes in chemical composition, toxicity, and bioactivity.

Methods

Gas chromatography-mass spectrometry was used to analyze compositional changes during storage. Zebrafish acute toxicity tests and the liver-specific transgenic zebrafish model Tg(fabp10:EGFP) were used to assess toxicity. Antimicrobial, analgesic, and antioxidant assays evaluated variations in bioactivity.

Results

Over the 150-day storage period, gas chromatography-mass spectrometry analysis identified 39 components. Zebrafish acute toxicity tests showed that the LD50 of AAEO stored for 0, 30, 60, 90, 120, and 150 days were 0.10 µL·mL−1, 0.10 µL·mL−1, 0.10 µL·mL−1, 0.11 µL·mL−1, 0.13 µL·mL−1, and 0.14 µL·mL−1, respectively, demonstrating a 40% reduction in acute toxicity after 150 days of storage. Using the liver-specific green fluorescent transgenic Tg(fabp10:EGFP) zebrafish model, the inhibition rates of AAEO on hepatic fluorescence intensity were measured at 68.5%, 43.5%, 42.6%, 37.8%, 34.6%, and 31.9% at different time points, confirming reduced hepatotoxicity after storage. Additionally, the antioxidant and analgesic activities of AAEO were significantly enhanced (p < 0.05) after storage, while the antibacterial activity decreased (p < 0.05).

Conclusions

After storage, AAEO significantly reduces hepatotoxicity, with a 40% decrease in acute toxicity after 150 days. Meanwhile, the antioxidant and analgesic activities of AAEO increase, while its antibacterial activity decreases after storage.

Graphical Abstract

Keywords

Artemisia argyi H. Lév. & Vaniot essential oil, Toxicity, Storage process, Hepatotoxicity reduction, Bioactivity changes, Zebrafish model

Introduction

Artemisia argyi H. Lév. & Vaniot essential oil (AAEO) is known worldwide as “soft gold” due to its significant research value. It is extracted from the dry leaves of Artemisia argyi H. Lév. & Vaniot. Modern pharmacological studies have demonstrated that AAEO possesses a variety of pharmacological activities, including anti-inflammatory,1–3 antioxidant,4 antimicrobial,5,6 anti-obesity,7 anti-stress injury,8 anti-cancer,9–13 and others. It has clinical applications in treating gynecological diseases, dermatological conditions, and rheumatism. Currently, a range of AAEO-based products have been developed and are widely used in various fields. For example, in the field of medicine, AAEO is used as a transdermal absorption enhancer in external preparations due to its ability to promote transdermal drug absorption.14,15 In agriculture, AAEO is primarily used for pest control and preservation due to its ability to repel mites and insects,16,17 as well as its antibacterial and antioxidant properties.18–20 In consumer products, AAEO is used in the development of mosquito repellents,21 hand sanitizers,22 and air fresheners because of its fragrance and biological activities.23 Additionally, AAEO serves as a flavoring agent in food products and as an antioxidant and anti-aging agent in cosmetics.24 However, AAEO is toxic, and a dose of 0.13 to 0.34 mL·kg−1 has been shown to cause liver damage in mice.25 This toxicity is likely due to acute liver injury induced by AAEO through structural damage and dysfunction of mitochondria in liver tissue,26 which significantly restricts its clinical applications and the development of related health products.

Storage, a special processing method for medicinal materials, involves placing dried medicinal materials in a natural or specific environment for a period of time before use. During storage, external physical, chemical, and microbial influences alter the physicochemical properties and composition of the materials, reducing their toxicity or enhancing their activity. For example, the activity of tangerine peel increases after storage, with a decrease in the content of volatile components and an increase in higher molecular weight components such as polysaccharides and flavonoids. These changes likely occur through processes like oxidation or polymerization,27,28 enhancing its antioxidant and immunomodulatory activities.29–31 Furthermore, the toxicity and drying properties of Euodia rutaecarpa can be reduced after storage.32 Similarly, the bioactive constituents of Artemisia argyi H. Lév. & Vaniot leaves are primarily volatile components, and the toxicity of Artemisia argyi leaves can be effectively mitigated through storage. Yin et al.33 compared the efficacy of Artemisia argyi leaves for the treatment of lumbar disc herniation before and after storage in clinical experiments, finding that stored Artemisia argyi exhibited lower toxicity and enhanced transdermal permeability. Currently, traditional practice suggests that the best storage time for Artemisia argyi H. Lév. & Vaniot leaves is three years. However, the leaves are not equivalent to AAEO, and the optimal storage time for AAEO has yet to be explored through systematic experiments.

This study aimed to investigate the feasibility of reducing the toxicity of AAEO through natural storage, while maintaining or enhancing its biological activities. To achieve this, we selected AAEO as the research object and examined its compositional changes over a 0–150-day natural storage period (at room temperature, away from light) using gas chromatography-mass spectrometry (GC-MS) combined with orthogonal partial least squares-discriminant analysis (OPLS-DA). We evaluated acute and hepatotoxic effects in zebrafish to assess toxicity changes during storage and tested antimicrobial, antioxidant, and analgesic activities to track variations in biological activity. Our findings confirm the feasibility of reducing AAEO toxicity across three dimensions, composition, toxicity, and activity, providing a scientific basis for enhancing AAEO quality, ensuring clinical safety, and offering key insights into storage principles for volatile oils.

Materials and methods

Samples

The AAEO was purchased from the Huinong Chinese Herbal Medicine Professional Cooperative in Qichun County, Hubei Province and was stored at room temperature, away from light. After AAEO was stored for 0, 30, 60, 90, 120, and 150 days, it was transferred to a −20°C refrigerator as a sample for storage for the same time points (0, 30, 60, 90, 120, and 150 days).

Animals

Wild-type AB strain zebrafish and liver-labeled green fluorescent transgenic (fabp10: EGFP) zebrafish were cultured and propagated by the Zebrafish Laboratory of the Pharmacy College of Chengdu University of Traditional Chinese Medicine. The breeding of zebrafish was carried out according to the zebrafish book standard. The zebrafish laboratory was kept in light for 14 h and in darkness for 10 h every day, and the indoor temperature was maintained at 28 ± 2°C. The water quality conditions were as follows: electrical conductivity: 450–550 µS·cm−1; pH: 6.5–8.5; hardness: 50–100 mg·L−1 CaCO3. The male and female zebrafish were kept separately and were fed hatching shrimp in the morning and evening.

KM male mice (specific-pathogen-free grade), weighing 18–22 g, were purchased from Chengdu Dashuo Laboratory Animal Co., LTD., license number: SCXK (Sichuan) 2020-030. Ten mice per cage were fed standard rat food and bottled water, with a 12-h light/12-h dark cycle every day. The experimental study began after three days of adaptive feeding.

All animal experiments were conducted in compliance with the “Guidelines for Ethical Review of Laboratory Animal Welfare” (National Standard GB/T 35892-2018). The study was approved by the Animal Ethics Committee of Chengdu University of Traditional Chinese Medicine (ethical number: 2022-73).

The components change rule of AAEO at different storage times

Solution preparation

Preparation of internal standard solution of cyclohexanone: The internal standard solution (0.5 µL·mL−1) was prepared by transferring 5 µL of cyclohexanone into a volumetric flask and diluting it to 10 mL with anhydrous ether.

Preparation of test solution without internal standard: A 2 µL·mL−1 test solution was prepared by accurately transferring 20 µL of stored 0-day AAEO into a volumetric flask and diluting it to 10 mL with anhydrous ether.

Preparation of sample solution with different storage times: At different storage time points, 20 µL of AAEO was transferred into a volumetric flask along with 5 µL of the cyclohexanone internal standard solution. The volume was adjusted to 10 mL with anhydrous ether to prepare a 2 µL·mL−1 sample solution.

GC-MS condition

Chromatographic conditions: Agilent/5975C gas-phase mass spectrometer with computer instrument (Agilent Corporation) was used for analysis. The HP-5 MS capillary column (30 m × 250 µm × 0.25 µm) was used; the carrier gas was He with constant-flow mode. The injection volume was 1.0 µL, and the column flow rate was 1 mL/min. The injection port was set to shunt mode with a shunt ratio of 100:1. The inlet temperature was 250 °C. Programmed heating: 60 °C for 2 min, then ramped at 5 °C·min−1 to 210°C for 10 min; total retention time: 42 min.

Mass spectrometry conditions: Electron ionization source; ion source temperature: 230 °C; quadrupole temperature: 150 °C; mass scan range: m/z 15–550.

Methodological investigation

Specificity investigation: The internal standard solution of cyclohexanone and the test solution without the internal standard were injected as described in the Investigation of GC-MS methodology section. The specificity of cyclohexanone for AAEO was determined according to the GC-MS conditions in the Chemical components change detected in AAEO during storage section.

Precision investigation: The sample solution of stored 0-day AAEO was injected six times continuously as described in the Investigation of GC-MS methodology section. The relative standard deviation (RSD) of the peak area was calculated.

Repeatability investigation: Six samples of stored 0-day AAEO were prepared as described in the Investigation of GC-MS methodology section. The samples were injected as per the method in the Chemical components change detected in AAEO during storage section, and RSD of the peak areas was calculated.

Stability investigation: The sample solution of stored 0-day AAEO was placed at room temperature for 0, 2, 4, 8, and 12 h. The samples were injected as per the method in the Chemical components change detected in AAEO during storage section, and RSD of the peak areas was calculated.

Zebrafish embryo collection and culture

The 24-h-old eggs and five-day post-fertilization larvae of zebrafish used in the experiment were placed in the breeding tank in a 1:1 ratio in the afternoon before the experiment. A transparent partition was used to separate the male and female zebrafish. The partition was removed the following morning, and the male and female zebrafish were allowed to spawn. The collected eggs and larvae were cleaned with zebrafish culture water and cultured in a constant temperature incubator at 28 ± 2°C. Dead eggs and egg shells were removed in a timely manner.

Acute toxicity of AAEO

Embryos that developed within 24 h after fertilization were selected in 24-well plates, with 10 embryos per well. The following groups were set up: blank group, 0.05% Dimethyl sulfoxide (DMSO) solvent group, and stored 0d, 30d, 60d, 90d, 120d, and 150d groups. Based on preliminary experiments, the different administration groups included 0.03, 0.04, 0.05, 0.06, 0.07, 0.08, 0.09, 0.10, 0.12, and 0.16 µL·mL−1. The blank group received 1 mL of zebrafish culture water, while the other wells received 1 mL of the corresponding drug prepared with culture water for zebrafish. The plates were incubated in a constant temperature incubator at 28 ± 2°C, and all drug administration groups were sealed with plastic wrap. The development and death of embryos were observed and recorded at 24 h, 48 h, and 72 h, with dead eggs being removed promptly. The experiment was repeated three times. Origin 2021 software was used to calculate the LD50 of each group.

Hepatotoxicity of AAEO

Drug concentration screening

When the development of liver-labeled green fluorescent transgenic zebrafish (fabp10: EGFP) reached five-day post-fertilization, zebrafish with normal development and no deformities were selected and placed in 12-well plates with 10 fish per well. The following groups were set up: blank group, 0.05% DMSO solvent group, and different concentration administration groups at the same storage time (0.05, 0.06, 0.07, 0.08, 0.09, 0.1 µL·mL−1). The blank group was added with 1 mL culture water for zebrafish, the DMSO group was added with 1 mL culture water containing 0.05% DMSO, and the other wells were added with 1 mL of the corresponding drugs prepared with 0.05% DMSO culture water for zebrafish. The plates were incubated in a constant-temperature incubator at 28 ± 2°C. At the same time, all drug administration groups were sealed with plastic wrap.

After 48 h of administration, death, liver fluorescence area, and intensity changes in each group of zebrafish were observed. The drug administration concentration for the liver toxicity experiment was screened based on the reduction in liver fluorescence area and intensity, without significant death. The drug administration concentration for the activity experiment was selected based on the criterion that there was no significant difference in liver fluorescence area and intensity between zebrafish in the administration groups and the blank group, and this concentration was used for the follow-up experiments. The experiment was repeated three times.

Acridine orange staining experiment of AAEO

Five-day post-fertilization AB zebrafish with good development were selected and placed in 12-well plates, with 10 fish per well. The following groups were set up: blank group, 0.05% DMSO group, stored 0d group, stored 30d group, stored 60d group, stored 90d group, stored 120d group, and stored 150d group. Three milliliters of zebrafish culture water was added to the blank group, 3 mL of zebrafish culture water containing 0.05% DMSO was added to the DMSO group, and 3 mL of 0.09 µL·mL−1 corresponding drug prepared with zebrafish culture water containing 0.05% DMSO was added to the other wells. The plates were incubated at 28 ± 2°C for 48 h. After 48 h, the zebrafish were cleaned three times with zebrafish culture water. Then, 2 mL of 5 µg·mL−1 acridine orange solution was added to each well, and the plates were incubated in the 28 ± 2°C incubator for 20 min away from light. The zebrafish were cleaned three times with zebrafish culture water and set aside. The zebrafish were anesthetized with 0.003% tricaine and fixed with 3% carboxymethyl cellulose sodium (CMC-Na), and the apoptosis of liver cells was photographed under a fluorescence microscope.

Lipid deposition experiment of AAEO

Preparation of reagent: Weigh 2.5 g of oil red O, add 50 mL of isopropyl alcohol, and dissolve it in the oven at 60°C for 72 h. After it is fully dissolved, filter it twice to obtain the oil red O base solution. Mix 18 mL of the oil red O base solution with 12 mL of ultra-pure water and stir for 10 min. Then filter it twice to obtain the working solution.

Dyeing: The administration method of zebrafish was the same as described in the Analgesic activity of AAEO section. After 48 h of administration, the zebrafish were washed three times with zebrafish culture water and fixed overnight with paraformaldehyde. They were then washed successively with PBS and bleach solution three times, immersed in 60% isopropyl alcohol for 3 s, and then immersed in the oil red O working solution. The zebrafish were stained at 37°C for 60 min away from light. After staining, the zebrafish were removed with tweezers and immersed in 60% isopropyl alcohol for differentiation. The differentiation process was terminated when the lipid in the liver of zebrafish became orange-red or bright red, and the other parts were nearly colorless. The zebrafish were then cleaned with distilled water. Finally, the zebrafish were removed, excess water was absorbed with filter paper, and they were placed on slides. Lipid deposition in the liver of zebrafish was observed under an optical microscope.

Zebrafish liver fluorescence experiment of AAEO

Five-day post-fertilization liver-labeled green fluorescent transgenic Tg(fabp10: EGFP) zebrafish with good development was selected and placed in 12-well plates. They were grouped and administered according to the method in the Analgesic activity of AAEO section. After 48 h of administration, the zebrafish in each group were cleaned with culture water and anesthetized with 0.003% tricaine. They were then fixed in 3% CMC-Na and adjusted to a lateral position. Fluorescence microscope parameters were set and fixed. Liver phenotype changes in zebrafish from different administration groups were observed and recorded, and liver area and fluorescence intensity data of zebrafish in each group were calculated using ImageJ software.

Activity change rule of AAEO at different storage times

Antioxidant activity of AAEO

Zebrafish eggs at 24 h post-fertilization with healthy and well-developed embryos were selected and placed in 12-well plates, with 15 eggs per well. Two milliliters of a 10 µg·mL−1 lipopolysaccharide (LPS) solution were added to each well, and the plates were incubated at 28 ± 2°C for five days in the dark, with half of the solution changed daily. Dead eggs or fish were removed in a timely manner. After five days, normally developed zebrafish larvae were randomly selected and placed in new 12-well plates, with 15 fish per well. The following groups were set up: blank group (zebrafish culture water), solvent group (0.05% DMSO), model group (10 µg·mL−1 LPS solution), and six drug administration groups (stored 0d group, stored 30d group, stored 60d group, stored 90d group, stored 120d group, and stored 150d group). The administration mode and concentration were selected according to the Antioxidant activity of AAEO section, with a concentration of 0.05 µL·mL−1.

After 48 h of administration, 15 zebrafish larvae from each group were randomly selected and placed into 24-well plates. Zebrafish larvae were washed with zebrafish culture water three times. Then, 1 mL of 20 µM 2′,7′-Dichlorodihydrofluorescein diacetate (DCFH-DA) was added to each well and incubated for 1 h at 28 ± 2°C in the dark, followed by washing with zebrafish culture water three times. The zebrafish larvae were anesthetized with 0.03% tricaine, and the fluorescence of each group was photographed under a fluorescence microscope. ImageJ software was used to analyze the fluorescence intensity and detect the production of reactive oxygen species (ROS) in different drug administration groups.

Analgesic activity of AAEO

Ninety male mice were selected, with 10 mice in each group. According to their body weight, they were divided into the following groups: blank group (distilled water), negative control group (1.5% Tween-80), positive group (100 mg·kg−1 aspirin), and six AAEO administration groups (stored 0d group, stored 30d group, stored 60d group, stored 90d group, stored 120d group, and stored 150d group). Groups were labeled with picric acid. The concentration in the administration group was determined to be 100 mg·kg−1 based on preliminary experiments. After three days of adaptive feeding, mice were given the corresponding drugs by intragastric administration every day for seven consecutive days. On day 7, 1 h after administration, mice in each group were intraperitoneally injected with 0.6% glacial acetic acid (10 mL·kg−1), and the reaction time of the first twist and the number of twists within 15 min were recorded for each mouse.

Antibacterial activity of AAEO

Preparation of bacterial suspension: An appropriate amount of Candida albicans, Escherichia coli, and Staphylococcus aureus were inoculated into broth medium, respectively, and cultured at 37°C for 24 h. The bacterial suspension was prepared to a concentration of 106 colony-forming unit (CFU)·mL−1 and set aside.

Preparation of filter paper: 2 mL of AAEO was measured accurately, emulsified with 1.5% Tween-80, and filled to 10 mL with sterile water. The test solution was prepared by the two-fold dilution method, with concentrations of 200, 100, and 50 mg·mL−1.9 The filter paper was immersed in the test solution for 20 min and set aside.

Determination of antibacterial activity: A sterilized Petri dish was divided into four areas with a marker “+” on the clean bench, and four concentration marks were made. An appropriate amount of the bacterial suspension was dipped into a coating rod and inoculated in a Z-shape, coating three times. The medium was rotated at 60°C for each coating, and the final application was made along the inner edge of the medium, ensuring an even coating. The dish was left to sit for 3–5 min until the bacteria were fully absorbed. The filter paper was gently applied to the medium using tweezers. After 24 h of incubation at a constant temperature, the diameter of the antibacterial zone was measured to determine the antibacterial strength.

Statistical analysis

SPSS 25.0 was used for the statistical analysis of sections Acute toxicity of AAEO, Hepatotoxicity of AAEO, and Activity change rule of AAEO at different storage times. GraphPad Prism 5 was used to plot experimental data. The experimental data were expressed as mean ± standard deviation, and one-way analysis of variance was used for comparisons among multiple groups. Homogeneity of variance tests were conducted. A p-value of <0.05 and <0.01 indicated that the difference between the two groups was statistically significant.

Results

Components change of AAEO at different storage times

Investigation of GC-MS methodology

Specificity investigation: As shown in Figure 1, the peaks of AAEO were well separated from the internal standard of cyclohexanone, demonstrating good specificity.

Total ion chromatogram of <italic>Artemisia argyi</italic> essential oil and cyclohexanone.
Fig. 1  Total ion chromatogram of Artemisia argyi essential oil and cyclohexanone.

(a) Artemisia argyi essential oil; (b) Cyclohexanone.

Precision investigation: Five common peaks with a relative content greater than 5% were selected: eucalyptol (tR = 5.2 min), thujone (tR = 9.9 min), 2-pinen-7-one (tR = 11.9 min), (+)-2-bornanone (tR = 12.1 min), and β-caryophyllene (tR = 14.2 min). The RSDs of these peak areas were calculated as 0.02%, 0.02%, 0.02%, 0.02%, and 0.01%, respectively, indicating that the instrument has good precision.

Repeatability investigation: The RSDs of these peak areas were calculated as 0.08%, 0.07%, 0.08%, 0.07%, and 0.09%, indicating good reproducibility of the experiment.

Stability investigation: The RSDs of these peak areas were calculated as 0.12%, 0.11%, 0.11%, 0.12%, and 0.12%, indicating good stability of the sample.

Chemical components change detected in AAEO during storage

A total of 57 components in AAEO at different storage times were detected by GC-MS, with 39 components identified by comparison with the National Institute of Standard and Technology (NIST) series standard spectrum library. Among these, eucalyptol accounted for 14.74–15.04% of the relative content, thujone accounted for 12.38–12.54%; endo-borneol accounted for 7.12–7.22%, 2-pinen-7-one accounted for 5.78–6.60%, (+)-2-bornanone accounted for 4.89–4.93%, β-caryophyllene accounted for 4.26–4.46%, and terpinen-4-ol accounted for 3.24–3.33%. The internal standard accounted for 15%, and the remaining 51 components accounted for 32% (Fig. 2a).

The relative content of high-abundance components in AAEO (a); Score scatter plot of stored 0 day and stored 30 days (b); Scatter plot of stored 0 day and stored 30 days (c); Score scatter plot of stored 0 day and stored 60 days (d); Scatter plot of stored 0 day and stored 60 days (e); Score scatter plot of stored 0 day and stored 90 days (f); Scatter plot of stored 0 day and stored 90 days (g); Score scatter plot of stored 0 day and stored 120 days (h); Scatter plot of stored 0 day and stored 120 days (i); Score scatter plot of stored 0 day and stored 150 days (j); Scatter plot of stored 0 day and stored 150 days (k).
Fig. 2  The relative content of high-abundance components in AAEO (a); Score scatter plot of stored 0 day and stored 30 days (b); Scatter plot of stored 0 day and stored 30 days (c); Score scatter plot of stored 0 day and stored 60 days (d); Scatter plot of stored 0 day and stored 60 days (e); Score scatter plot of stored 0 day and stored 90 days (f); Scatter plot of stored 0 day and stored 90 days (g); Score scatter plot of stored 0 day and stored 120 days (h); Scatter plot of stored 0 day and stored 120 days (i); Score scatter plot of stored 0 day and stored 150 days (j); Scatter plot of stored 0 day and stored 150 days (k).

AAEO, Artemisia argyi H. Lév. & Vaniot essential oil.

Using cyclohexanone as the internal standard, the absolute content of each chemical component in AAEO was calculated. The results showed that most of the chemical components in AAEO exhibited a decreasing trend during the storage process. Only four of the 39 identified components had increased levels: alpha-phellandrene increased by 0.07%, 2,3-dehydro-1,8-cineole increased by 0.19%, 3-octanone increased by 0.004%, and trans-(+)-chrysanthemum acid increased by 0.89%.

Differential components of AAEO at each storage time point and storage 0 day

The contents of 57 components were calculated by the internal standard, and the data were imported into SIMCA 14.1 software for OPLS-DA to screen out the differential components at each storage time point and stored 0 day. Using VIP > 1 and p < 0.05 as the standard, a total of 13 differential components were screened out, as shown in Figure 2 and Table 1.

Table 1

The content changes of differential components at different storage time points and within 0 day of storage (unit: µL/mL)

NumRtChemical formulaCASStored 0 dayStored 30 daysStored 60 daysStored 90 daysStored 120 daysStored 150 days
13.80Beta-Phellandrene000555-10-222.9731.5832.5431.5231.9830.53
25.19Eucalyptol000470-82-6264.92244.78256.76242.36245.92247.60
39.94Thujone000546-80-5223.97206.29215.36203.51205.35206.39
410.40(+)-3-Thujone000471-15-849.7645.8947.6144.2945.2544.53
511.962-pinen-7-one000473-06-3118.53106.67108.3598.8395.7695.11
612.12(+)-2-Bornanone000464-49-388.5281.1884.7280.4280.8780.88
713.33trans-4-(Isopropyl)-1-Methylcyclohex-2-En-1-Ol029803-81-437.8834.1634.8932.9233.4533.17
814.09β-Caryophyllene000087-44-580.2070.8973.7169.9370.7171.21
914.26Terpinen-4-ol000562-74-358.9853.6356.7653.4653.9954.80
1015.49Cis-Verbenol001845-30-39.800.004.700.000.000.00
1116.50Endo-Borneol000507-70-0129.78118.91123.41117.33117.36118.24
1216.67Germacrene D023986-74-528.7623.9723.9222.4921.6821.69
1323.04(2E,3E)-2-ethylidene-6-methylhepta-3,5-dienal099172-18-641.0134.8637.7633.9932.2731.56

There were 10 common differential components during storage: β-phellandrene, eucalyptol, thujone, (+)-3-thujone, 2-pinen-7-one, (+)-2-bornanone, trans-4-(isopropyl)-1-methylcyclohex-2-en-1-ol, β-caryophyllene, terpinen-4-ol, cis-verbenol, endo-borneol, germacrene D, and (2E,3E)-2-ethylidene-6-methylhepta-3,5-dienal. In addition, (+)-3-thujone was a differential component in stored 90, 150 days, and stored 0 day. Trans-4-(isopropyl)-1-methylcyclohex-2-en-1-ol was a differential component in stored 60, 90, and 150 days compared to stored 0 day. Terpinen-4-ol was a differential component in stored 30, 90, and 120 days compared to stored 0 day.

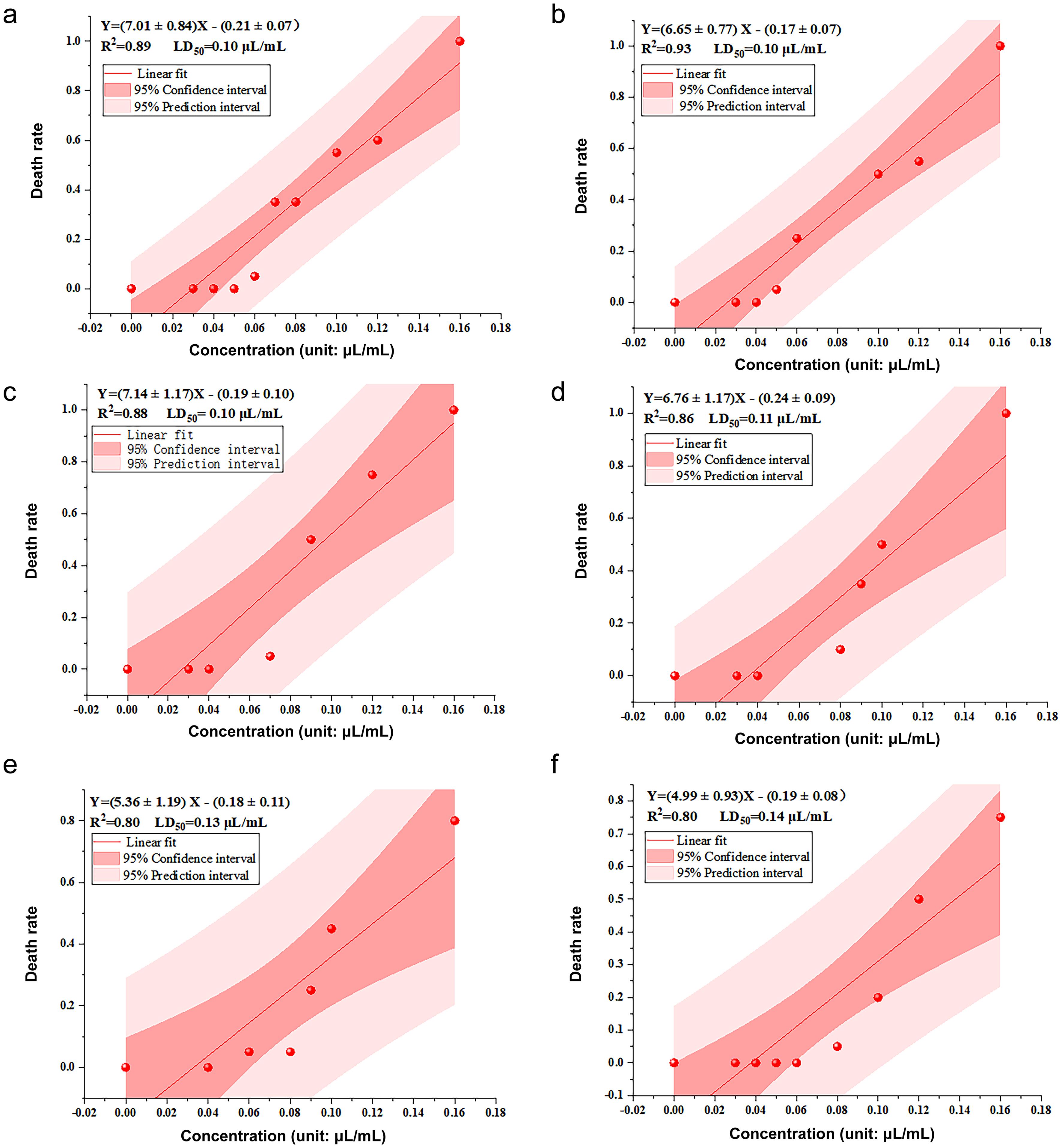
Acute toxicity of AAEO at different storage times

Experimental results showed that the overall toxicity of AAEO decreased after storage, as shown in Figure 3. The LD50 of the stored 0-day group was 0.10 µL·mL−1, the LD50 of the stored 30-day group was 0.10 µL·mL−1, the LD50 of the stored 60-day group was 0.10 µL·mL−1, the LD50 of the stored 90-day group was 0.11 µL·mL−1, the LD50 of the stored 120-day group was 0.13 µL·mL−1, and the LD50 of the stored 150-day group was 0.14 µL·mL−1. This indicates that acute toxicity began to decrease after 60 days of storage and decreased by 40% after 150 days of storage.

Acute toxicity concentration-lethal curves of AAEO at different storage times (n = 20).
Fig. 3  Acute toxicity concentration-lethal curves of AAEO at different storage times (n = 20).

(a) Stored 0 day; (b) Stored 30 days; (c) Stored 60 days; (d) Stored 90 days; (e) Stored 120 days; (f) Stored 150 days. AAEO, Artemisia argyi H. Lév. & Vaniot essential oil.

Hepatotoxicity of AAEO at different storage times

Hepatotoxicity range screening results

As shown in Figure 4, the liver of zebrafish in the blank group, the solvent group (0.05% DMSO), and the 0.05 µL·mL−1 AAEO group exhibited a transparent shape and normal structure, while the liver of zebrafish in the other groups showed atrophy and gray color. The results showed that the fluorescence area and intensity of zebrafish liver decreased with increasing dose concentration. Compared with the blank group, the fluorescence area and intensity of zebrafish liver in the 0.05 µL·mL−1 AAEO group showed no significant differences (p > 0.05), while in the other groups, significant differences were observed (p < 0.05), indicating that AAEO concentrations below 0.05 µL·mL−1 did not cause hepatotoxicity, whereas concentrations above 0.05 µL·mL−1 induced hepatotoxicity.

Toxicity range screening of AAEO (n = 6).
Fig. 4  Toxicity range screening of AAEO (n = 6).

(a) Liver phenotype of zebrafish; (b) Zebrafish liver fluorescence; (c) Fluorescence area of zebrafish liver; (d) Fluorescence intensity of zebrafish liver; Compared with the blank group, *p < 0.05, **p < 0.01. AAEO, Artemisia argyi H. Lév. & Vaniot essential oil; DMSO, dimethyl sulfoxide.

Acridine orange staining experiment of AAEO

Acridine orange is a selective binding dye that can cross the cell membrane and bind to nucleic acids, resulting in uniform green fluorescence in normal cells. In apoptotic cells, the chromatin breaks into fragments of varying sizes, producing brighter green fluorescent fragments. Therefore, acridine orange staining was used to distinguish normal and apoptotic cells in the zebrafish liver region. As shown in Figure 5, both the blank group and the solvent group showed uniform green fluorescence in the liver region, while in the stored 0, 30, 60, and 90-day groups, partial green fluorescence bright spots appeared in the liver region, indicating that AAEO caused partial apoptosis of liver cells within the first 90 days of storage, showing liver toxicity. The fluorescence in the stored 120-day and 150-day groups was similar to that of the blank and solvent groups, indicating that apoptosis of liver cells induced by AAEO disappeared and liver damage was alleviated with the extension of storage time.

Hepatotoxicity of AAEO on zebrafish.
Fig. 5  Hepatotoxicity of AAEO on zebrafish.

(a) Acridine orange staining (n = 6); (b) Lipid deposition results (n = 6); (c) Liver fluorescence changes of zebrafish (n = 6), i: liver fluorescence image, ii: liver fluorescence area, iii: liver fluorescence intensity. AAEO, Artemisia argyi H. Lév. & Vaniot essential oil; DMSO, dimethyl sulfoxide.

Lipid deposition experiment of AAEO

Oil red O is a fat-soluble dye that can specifically bind to neutral fats. Fat droplets typically occur in fat cells, but if fat droplets are found in organs such as the liver, oil red O can be used to determine whether lipid deposition has occurred. The experimental results, shown in Figure 5, indicate that the color of the stored 0-day group was the darkest, suggesting lipid deposition in the liver area. As storage time increased, the color became lighter, indicating that lipid deposition was alleviated. This suggests that the liver toxicity of high-concentration AAEO may be related to the promotion of lipid deposition.

Zebrafish liver fluorescence experiment of AAEO

According to preliminary experiments, a concentration of 0.09 µL·mL−1 AAEO was selected, as liver toxicity could be detected without causing large-scale death in zebrafish at this concentration. The experimental results are shown in Figure 5. Fluorescence microscope observations revealed that the liver area and fluorescence intensity of zebrafish in the treatment groups were significantly reduced but gradually recovered with the extension of storage time. Image J software was used to calculate the fluorescence area and intensity of zebrafish liver, and the experimental results showed that the fluorescence area and intensity of the blank group were 0.16 and 30.21, respectively. Compared with the blank group, the inhibition rates of fluorescence area in the stored 0, 30, 60, 90, 120, and 150-day groups were 37.5%, 25.0%, 25.0%, 31.3%, 25%, and 18.7%, respectively. The inhibition rates of fluorescence intensity were 68.5%, 43.5%, 42.6%, 37.8%, 34.6%, and 31.9%, all of which were negatively correlated with storage time, indicating that liver damage caused by AAEO gradually decreased with longer storage times. Additionally, there was a significant difference between the stored 0-day group and the stored 30-day group (p < 0.05), but no significant differences were observed between the subsequent treatment groups (p > 0.05). This suggests that toxicity was significantly reduced after 30 days of storage, implying that 30 days may be a key time point for reducing liver toxicity in stored AAEO.

Activity change of AAEO at different storage times

Antioxidant activity of AAEO

Zebrafish induced by LPS can release inflammatory factors and activate nitric oxide synthetase, leading to the production of a large number of ROS. DCFH-DA itself has no fluorescence, but after entering cells, it is hydrolyzed into DCFH, which is then oxidized by ROS into compounds with strong fluorescence. This allows for the detection of ROS levels in zebrafish. As shown in Figure 6, the ROS fluorescence area in the zebrafish model group was enhanced, showing a significant difference compared to the blank group (p < 0.01). In the solvent group, where only 0.05% DMSO was added after LPS induction, there was no significant difference between the solvent group and the model group (p > 0.05). However, significant differences were observed between the six medication administration groups and the model group (p < 0.01).

Antioxidant activity, analgesic activity, and antibacterial activity of AAEO at different storage times.
Fig. 6  Antioxidant activity, analgesic activity, and antibacterial activity of AAEO at different storage times.

(a) Antioxidant activity (n = 6), ROS fluorescence in zebrafish (i), ROS fluorescence area (ii), ROS fluorescence intensity (iii); (b) Analgesic activity (n = 6), twisting number (i), incubation period (ii); (c) Antibacterial activity (n = 9). AAEO, Artemisia argyi H. Lév. & Vaniot essential oil; DMSO, dimethyl sulfoxide; ROS, reactive oxygen species.

Compared to the blank group, the fluorescence area of ROS in zebrafish in the model group increased by 130.49%. After treatment with AAEO at different storage times, the fluorescence levels of ROS in zebrafish in the stored 0, 30, 60, 90, 120, and 150-day AAEO groups increased by 71.52%, 63.89%, 38.13%, 60.49%, 33.89%, and 20.56%, respectively, indicating that the antioxidant stress activity of AAEO increased with the extension of storage time.

Analgesic activity of AAEO

AAEO exerts its analgesic effects by reducing PGE2 in the blood. Its analgesic activity was evaluated using the acetic acid writhing test in mice. The experimental results are shown in Figure 6. Compared to the blank group, the positive group showed a significant difference (p < 0.05), while the negative control group showed no significant difference (p > 0.05). The medication administration groups exhibited significant differences compared to the blank group (p < 0.05). The analgesic rate of the positive group was 47.62%, while the analgesic rates of the stored 0, 30, 60, 90, 120, and 150-day AAEO groups were 46.32%, 66.67%, 81.82%, 89.61%, 92.64%, and 100%, respectively. This indicates that the analgesic activity increased with the extension of storage time.

Antibacterial activity of AAEO

The experimental results are shown in Figure 6. AAEO exhibited a strong inhibitory effect on Staphylococcus aureus, Escherichia coli, and Candida albicans, and the antibacterial effect was positively correlated with the concentration. After 150 days of storage, the inhibition zone of 200 µL·mL−1 AAEO against the three bacteria decreased by 27.45%, 10.58%, and 24.74%, respectively. The inhibition zone of 100 µL·mL−1 AAEO decreased by 25.56%, 1.47%, and 13.19%, while the inhibition zone of 50 µL·mL−1 AAEO decreased by 11.76%, 1.63%, and 17.33%.

Compared to the blank group, the antibacterial activity of AAEO against Staphylococcus aureus and Candida albicans showed significant differences after 30 days of storage (p < 0.05), but there was no significant difference in antibacterial activity against Escherichia coli (p > 0.05). These results indicated that the antibacterial activity of AAEO decreased with storage time.

Discussion

In this study, GC-MS combined with OPLS-DA was used to track the composition changes of AAEO during storage. The experimental results showed that while the types of components in AAEO remained unchanged, their content did change. Additionally, the contents of some components in AAEO increased, suggesting that there were mutual transformations between components during the storage process.

Through the analysis of the chemical structure of AAEO, it was speculated that the increase in the content of four components may be caused by the following reactions:

  • It was speculated that there were two pathways for the increase in the content of α-phellandrene. First, it could be produced by the metal ion-catalyzed isomerization of β-phellandrene, which has the same skeleton, under a polar environment. The reaction process is shown in “3. Isomerization Reaction” in Figure 7. The second is the dehydration of trans-4-isopropyl-1-methylcyclohex-2-en-1-ol under polar conditions, as shown in “1. Dehydroxylation Reaction” in Figure 7.

  • The content of 2,3-dehydro-1,8-cineole increased, while eucalyptol, which shares the same skeleton, decreased. This suggests that an oxidation reaction occurred, as shown in “2. Oxidation Reaction” in Figure 7.

  • The content of 3-octanone increased while 1-octen-3-ol decreased. It was speculated that the hydroxyl group on 1-octen-3-ol provided a polar environment, causing the tertiary carbon to lose a hydrogen atom and form a double bond with oxygen. This resulted in an oxidation isomerization reaction, producing 3-octanone, as shown in “4. Oxidation Isomerization Reaction” in Figure 7.

  • The synthesis process of trans-(+)-chrysanthemic acid was relatively complex. By comparing the content changes and skeleton structure, it was speculated that it was produced by the oxidation rearrangement of (2E,3E)-2-ethylidene-6-methylhepta-3,5-dienal. The reaction process is as follows: In a polar environment, two double bonds open to form a ternary ring. In this process, a four-stage carbon forms a positive charge under the polarity of the carbonyl group, but this positive charge is unstable and transfers to the methyl group of the branch chain. Consequently, the methyl group of the branch chain transfers to the ternary ring with the positive charge, making the compound more stable. Finally, the carbonyl group oxidizes to form trans-(+)-chrysanthemic acid, as shown in “5. Oxidation Rearrangement Reaction” in Figure 7.

Interconversion of components during storage of AAEO.
Fig. 7  Interconversion of components during storage of AAEO.

AAEO, Artemisia argyi H. Lév. & Vaniot essential oil.

In addition to the mutual conversion of these four components, other conversion reactions between components may also occur. The possible reactions are listed in Figure 7.

After storage, the chemical compositions of AAEO changed, and its toxicity changed accordingly. The acute toxicity in zebrafish showed that the acute toxicity of AAEO decreased with storage time. Combined with the quantitative results of GC-MS, it was observed that the reported toxic components of AAEO, thujone and (+)-2-bornanone, all showed a downward trend after storage. This suggests that the reduction in toxicity was related to the volatilization of these components. The zebrafish liver fluorescence experiment showed that 30 days of storage was the key time point for reducing liver toxicity of AAEO. Compared to stored 0-day AAEO, the reduction rates of (+)-2-bornanone in stored 30-day AAEO and stored 150-day AAEO were 8.29% and 8.63%, respectively, indicating that (+)-2-bornanone was mainly volatilized within 30 days of storage. Therefore, it was speculated that (+)-2-bornanone was the primary source of liver toxicity in AAEO.

At the same time, the activity of AAEO changed after storage. After storage, the contents of (+)-2-bornanone and endo-borneol, which were identified as the quality markers of antibacterial activity in earlier experiments by our research group, decreased.34 The results of OPLS-DA showed that (+)-2-bornanone and endo-borneol were differential components at different storage time points and at stored 0 day. The GC-MS results showed that the contents of (+)-2-bornanone decreased by 8.63%, and endo-borneol decreased by 8.89%. Modern studies have confirmed that these components have significant antibacterial activity. (+)-2-bornanone can exert antibacterial effects by affecting the protein synthesis of Escherichia coli and regulating its gene expression,35 while endo-borneol acts as a bacteriostatic agent by disrupting bacterial cell membranes, causing leakage or altering the membrane potential, leading to cell death.36,37 Therefore, it is speculated that the decreased antibacterial activity of stored AAEO may be due to the volatilization of (+)-2-bornanone and endo-borneol.

However, the antioxidant and analgesic activity of AAEO increased after storage. After 150 days of storage, AAEO reduced the ROS levels in zebrafish induced by LPS to levels that showed no significant difference from the blank group, and the analgesic rate reached 100%. This indicates that 150 days of storage was the key time point for the antioxidant and analgesic activities of AAEO. Combined with the GC-MS results, it was observed that the smaller molecules of AAEO volatilized more quickly after storage, while β-caryophyllene, which had analgesic and antioxidant stress activity,38–40 was a macromolecular component with relatively less volatilization. At the same time, β-caryophyllene might undergo oxidation, producing its oxide, α-humulene, which also had antioxidant stress activity.41 Therefore, the increased antioxidant and analgesic activity of AAEO after storage may be related to the reduced volatilization of macromolecular components and the biological activities of their oxides.

However, this study only investigated AAEO from a single production area, using steam distillation for extraction, with a storage time of only 150 days. Whether different production areas, extraction methods, and storage times would yield different results remains to be further explored, which also provides a direction for future research.

Conclusions

AAEO reduces its acute toxicity while enhancing its antioxidant and analgesic activities after storage. This demonstrates the feasibility of reducing toxicity while enhancing bioactivity through storage and offers valuable insights for the detoxification of other essential oil products.

Declarations

Acknowledgement

None.

Ethical statement

All animal experiments were conducted in compliance with the “Guidelines for Ethical Review of Laboratory Animal Welfare” (National Standard GB/T 35892-2018). The study was approved by the Animal Ethics Committee of Chengdu University of Traditional Chinese Medicine (ethical number: 2022-73).

Data sharing statement

All data and materials are available.

Funding

This study was supported by grants from the National Natural Science Foundation of China (82074026) and the National Interdisciplinary Innovation Team of Traditional Chinese Medicine (ZYYCXTD-D-202209).

Conflict of interest

The authors declare no competing financial interests.

Authors’ contributions

Concept (MY), providing of the concrete implementation framework (DZ, YH), experiment performance (YL), experiment assistance (QH, XY), table and figure preparation (YuL), and revision of the manuscript (HM, HH). All authors read and approved the final version of the manuscript.

References

  1. Liu Y, He Y, Wang F, Xu R, Yang M, Ci Z, et al. From longevity grass to contemporary soft gold: Explore the chemical constituents, pharmacology, and toxicology of Artemisia argyi H.Lév. & vaniot essential oil. J Ethnopharmacol 2021;279:114404 View Article PubMed/NCBI
  2. Chen P, Bai Q, Wu Y, Zeng Q, Song X, Guo Y, et al. The Essential Oil of Artemisia argyi H.Lév. and Vaniot Attenuates NLRP3 Inflammasome Activation in THP-1 Cells. Front Pharmacol 2021;12:712907 View Article PubMed/NCBI
  3. Ge YB, Wang ZG, Xiong Y, Huang XJ, Mei ZN, Hong ZG. Anti-inflammatory and blood stasis activities of essential oil extracted from Artemisia argyi leaf in animals. J Nat Med 2016;70(3):531-538 View Article PubMed/NCBI
  4. Du K, Zheng C, Kuang Z, Sun Y, Wang Y, Li S, Meng D. Gastroprotective effect of eupatilin, a polymethoxyflavone from Artemisia argyi H.Lév. & Vaniot, in ethanol-induced gastric mucosal injury via NF-κB signaling pathway. J Ethnopharmacol 2024;318(Pt B):116986 View Article PubMed/NCBI
  5. Joshi RK. Volatile composition and antimicrobial activity of the essential oil of Artemisia absinthium growing in Western Ghats region of North West Karnataka, India. Pharm Biol 2013;51(7):888-892 View Article PubMed/NCBI
  6. Obistioiu D, Cristina RT, Schmerold I, Chizzola R, Stolze K, Nichita I, et al. Chemical characterization by GC-MS and in vitro activity against Candida albicans of volatile fractions prepared from Artemisia dracunculus, Artemisia abrotanum, Artemisia absinthium and Artemisia vulgaris. Chem Cent J 2014;8(1):6 View Article PubMed/NCBI
  7. Wang K, Ma J, Li Y, Han Q, Yin Z, Zhou M, et al. Effects of essential oil extracted from Artemisia argyi leaf on lipid metabolism and gut microbiota in high-fat diet-fed mice. Front Nutr 2022;9:1024722 View Article PubMed/NCBI
  8. Lu ST, Tang LL, Zhou LH, Lai YT, Liu LX, Duan Y. Study on the Multitarget Mechanism and Active Compounds of Essential Oil from Artemisia argyi Treating Pressure Injuries Based on Network Pharmacology. Evid Based Complement Alternat Med 2022;2022:1019289 View Article PubMed/NCBI
  9. Li Y, Tian Y, Zhong W, Wang N, Wang Y, Zhang Y, et al. Artemisia argyi Essential Oil Inhibits Hepatocellular Carcinoma Metastasis via Suppression of DEPDC1 Dependent Wnt/β-Catenin Signaling Pathway. Front Cell Dev Biol 2021;9:664791 View Article PubMed/NCBI
  10. Ding YP, Liu JY, Tian Y, Li YL, Wu MZ, Zhao ZH. Inhibitory effects of essential oil from Artemisia argyi Folium on A549 cells (in Chinese). Chin Tradit Pat Med 2019;41(9):2063-2068
  11. Song Y, Wang J, Wang X, Zhang H, Niu X, Yang Y, et al. Analyzing the multi-target pharmacological mechanism of folium Artemisia argyi acting on breast cancer: a network pharmacology approach. Ann Transl Med 2022;10(24):1368 View Article PubMed/NCBI
  12. Zhang N, Zhang J, Cui W, Wu D, Zhang J, Wei B, et al. Artemisia argyi H.Lév. & Vaniot essential oil induces ferroptosis in pancreatic cancer cells via up-regulation of TFR1 and depletion of γ-glutamyl cycle. Fitoterapia 2023;168:105522 View Article PubMed/NCBI
  13. Su SH, Sundhar N, Kuo WW, Lai SC, Kuo CH, Ho TJ, et al. Artemisia argyi extract induces apoptosis in human gemcitabine-resistant lung cancer cells via the PI3K/MAPK signaling pathway. J Ethnopharmacol 2022;299:115658 View Article PubMed/NCBI
  14. Zhang JL, Tao L, Guan YM, Jin C, Zang ZZ, Chen LH. Promoting effect of transdermal absorption of essential oils from Chinese materia medica and problem analysis in study of topical preparations (in Chinese). Chin Tradit Herbal Drugs 2017;48(24):5263-5269 View Article
  15. Feng X. Research progress on the applicability of volatile oils for promoting permeability (in Chinese). Chin Tradit Pat Med 2013;35(1):157-161,164
  16. Du J, Gao R, Zhao J. The Effect of Volatile Oil from Chinese Mugwort Leaf on Human Demodecid Mites In Vitro. Acta Parasitol 2021;66(2):615-622 View Article PubMed/NCBI
  17. Luo DY, Yan ZT, Che LR, Zhu JJ, Chen B. Repellency and insecticidal activity of seven Mugwort (Artemisia argyi) essential oils against the malaria vector Anopheles sinensis. Sci Rep 2022;12(1):5337 View Article PubMed/NCBI
  18. Yang XR, Wang ZN, Jiang HL, Tian YQ, Zhang PW, Zhang ZX. The effect of Artemisia argyi essential oil on the Trichogramma ostriniae and their combined effect on the Corcyra cephalonica (in Chinese). J Environ Entomol 2019;41(3):619-625 View Article
  19. Qiang MJ, Cui YH, Lu XX. Study of different concentration of Argyi leaf essential oil microemulsion on the preservation of cherry (in Chinese). Food Ferment Ind 2020;46(24):132-137 View Article
  20. Ge LY, Li XH, Wang J. Devellopment and application of grain protectant Artemisia Argyi. Grain Storage 2010;39(5):3-6
  21. Wu FF, He YS, Lu JM, Li SS. Research advance of repelling function of Artemisia argyi on mosquitoes and other insects. Journal of Agriculture 2015;5(9):96-99
  22. He ZJ, Huang X, Lei Z. Study on bacteriostatic effect of a new hand sanitizer with Mugwort leaf (in Chinese). J Sci Technol 2016;26(17):264-265
  23. Lu Z. Study on bacteriostatic effect of air freshener of volatile oil from Artemisia Argyi (in Chinese). Lishizhen Medicine and Materia Medica Research 2011;22(9):2179-2180 View Article
  24. Ekiert H, Klimek-Szczykutowicz M, Rzepiela A, Klin P, Szopa A. Artemisia Species with High Biological Values as a Potential Source of Medicinal and Cosmetic Raw Materials. Molecules 2022;27(19):6427 View Article PubMed/NCBI
  25. Huang W, Zhang YR, Wang H, Zhu LL, Sun R. Expermential study on the “dose-time-toxicity” relationship of single dose hepatotoxicity induced by different components from folium Artemisia Argyi in mice (in Chinese). Chin J Pharmacov 2011;8(7):392-396
  26. Cui W, Cao Q, Liu L, Yin X, Wang X, Zhao Y, et al. Artemisia Argyi essential oil ameliorates acetaminophen-induced hepatotoxicity via CYP2E1 and γ-glutamyl cycle reprogramming. Phytomedicine 2024;135:156106 View Article PubMed/NCBI
  27. Wang ZL, Zhang X, Liu SJ, Chen HP, Liu YP. Historical evolution and research status of citri reticulatae pericarpium (in Chinese). Chin Arch Tradit Chin Med 2017;35(10):2580-2584 View Article
  28. Zhou T, Jiang Y, Wen L, Yang B. Characterization of polysaccharide structure in Citrus reticulate ‘Chachi’ peel during storage and their bioactivity. Carbohydr Res 2021;508:108398 View Article PubMed/NCBI
  29. Fu M, Xu Y, Chen Y, Wu J, Yu Y, Zou B, et al. Evaluation of bioactive flavonoids and antioxidant activity in Pericarpium Citri Reticulatae (Citrus reticulata ‘Chachi’) during storage. Food Chem 2017;230:649-656 View Article PubMed/NCBI
  30. Zheng G, Chao Y, Liu M, Yang Y, Zhang D, Wang K, et al. Evaluation of dynamic changes in the bioactive components in Citri Reticulatae Pericarpium (Citrus reticulata ‘Chachi’) under different harvesting and drying conditions. J Sci Food Agric 2021;101(8):3280-3289 View Article PubMed/NCBI
  31. Tian C, Xu H, Li J, Han Z. Characteristics and intestinal immunomodulating activities of water-soluble pectic polysaccharides from Chenpi with different storage periods. J Sci Food Agric 2018;98(10):3752-3757 View Article PubMed/NCBI
  32. Dong JH. Study on the Scientific Connotation of Euodia rutaecarpa “the older, the better” (in Chinese) [Dissertation]. Nanchang: Jiangxi University of Traditional Chinese Medicine; 2019 View Article
  33. Yin JL, Yin CJ. Comparison of clinical efficacy of Chen Ai and Xin Ai in the treatment of lumbar disc herniation (in Chinese). Asia-Pacific Tradit Med 2014;10(10):121-122
  34. Liu Y, Hu Q, He YN, Jiang Y, Wu JY, Yang X, et al. Screening of Quality Markers of Antibacterial Activity of Artemisia Argyi Leaves Essential Oil Based on Spectrum-Effect Relationships (in Chinese). Nat Prod Res Dev 2023;35:1017-1026,996 View Article
  35. Dong J. Antibacterial mechanism of camphor essential oil on Escherichia coli (in Chinese) [Dissertation]. Nanchang: Nanchang University; 2020 View Article
  36. Xiao SS. The prediction and verification of anti-inflammation, analgesic, anti-blood stasis and anti-acne functions of borneol essential oil (in Chinese) [Dissertation]. Wuxi: Jiangnan University; 2021 View Article
  37. Wang YH. Studies of preparation of L-borneol and essential oil from the leaves of Blumea balsamifera and their antioxidant and antimicrobial activities (in Chinese) [Dissertation]. Wuxi: Jiangnan University; 2013
  38. Fidyt K, Fiedorowicz A, Strządała L, Szumny A. β-caryophyllene and β-caryophyllene oxide-natural compounds of anticancer and analgesic properties. Cancer Med 2016;5(10):3007-3017 View Article PubMed/NCBI
  39. Segat GC, Manjavachi MN, Matias DO, Passos GF, Freitas CS, Costa R, et al. Antiallodynic effect of β-caryophyllene on paclitaxel-induced peripheral neuropathy in mice. Neuropharmacology 2017;125:207-219 View Article PubMed/NCBI
  40. Ojha S, Javed H, Azimullah S, Haque ME. β-Caryophyllene, a phytocannabinoid attenuates oxidative stress, neuroinflammation, glial activation, and salvages dopaminergic neurons in a rat model of Parkinson disease. Mol Cell Biochem 2016;418(1-2):59-70 View Article PubMed/NCBI
  41. Yeo D, Hwang SJ, Song YS, Lee HJ. Humulene Inhibits Acute Gastric Mucosal Injury by Enhancing Mucosal Integrity. Antioxidants (Basel) 2021;10(5):761 View Article PubMed/NCBI

About this Article

Cite this article
Liu Y, He Y, Hu Q, Yang X, Ma H, Huang H, et al. Storage Process: A New Method Reduces the Acute Toxicity of the Essential Oil of Artemisia argyi H. Lév. & Vaniot by 40%. Future Integr Med. 2025;4(2):63-76. doi: 10.14218/FIM.2025.00018.
Copy        Export to RIS        Export to EndNote
Article History
Received Revised Accepted Published
March 10, 2025 June 8, 2025 June 9, 2025 June 30, 2025
DOI http://dx.doi.org/10.14218/FIM.2025.00018
  • Future Integrative Medicine
  • pISSN 2993-5253
  • eISSN 2835-6357
Back to Top

Storage Process: A New Method Reduces the Acute Toxicity of the Essential Oil of Artemisia argyi H. Lév. & Vaniot by 40%

Yu Liu, Yanan He, Qi Hu, Xin Yang, Hongyan Ma, Haozhou Huang, Ming Yang, Dingkun Zhang
  • Reset Zoom
  • Download TIFF