v
Search
Advanced

Publications > Journals > Future Integrative Medicine> Article Full Text

  • OPEN ACCESS

Identification of Chemical Constituents and Blood-absorbed Components of Shenqi Fuzheng Extract Based on UPLC-Triple-TOF/MS Technology

  • Menglei Wang1,2,#,
  • Bingjie Zhu1,2,#,
  • Meng Gao1,2,
  • Yining Hu1,2,
  • Xiang Li1,3,
  • Liangfeng Liu4,
  • Zhiwei Ge5,
  • Wenhua Huang4,
  • Jie Liao1,2,*  and
  • Xiaohui Fan1,2,6,* 
 Author information 

Abstract

Background and objectives

Shenqi Fuzheng (SQ) is a widely used Chinese medicine formula known for its immune-enhancing and Qi-supplementing properties. However, the blood-absorbed components of SQ and their pharmacokinetics remain underexplored. This study aimed to comprehensively analyze the chemical constituents of SQ and investigate their absorption and pharmacokinetic behavior in rat plasma.

Methods

Ultra-performance liquid chromatography-triple quadrupole time-of-flight mass spectrometry (hereinafter referred to as UPLC-Triple-TOF/MS) is employed to identify the chemical components in SQ extract and quantify the components absorbed into the blood after oral administration in rats. This method provides fragmentation patterns of compounds and key pharmacokinetic profiles of blood-absorbed compounds.

Results

A total of 105 compounds are identified from the SQ extract, and 40 are detected in the blood following oral administration. Organic acids and amino acids are found at higher concentrations in the bloodstream. Compounds such as Astragalosides promptly enter the bloodstream within 5 m after administration, with levels declining after 15 m. Flavonoids are absorbed within 15–30 m, and the peak of alkaloids occurs approximately 1 h after administration.

Conclusions

This study provides new insights into the chemical composition and pharmacokinetics of SQ, highlighting the dynamic changes in the content of absorbed compounds in the blood. It further promotes the comprehensive characterization of traditional Chinese medicine formulations through UPLC-Triple-TOF/MS. Future research should focus on elucidating the pharmacological activities of the identified compounds and investigating their potential synergistic effects within the formulation.

Keywords

Traditional Chinese medicine, Ultra-performance liquid chromatography-triple quadrupole time-of-flight mass spectrometry, UPLC-Triple-TOF/MS, Chemical composition, Blood-absorbed components, Chinese medicine compound, Shenqi Fuzheng

Introduction

Traditional Chinese medicine (TCM), particularly Chinese medicine compounds, plays a central role in treating various diseases.1–3 Shenqi Fuzheng (SQ) formula and its derived preparations are prominent examples that have been extensively utilized in modern medical practices.4–6 SQ is composed of two traditional Chinese medicinal herbs: Radix Codonopsis pilosula (known as Dangshen in Chinese, from Codonopsis pilosula (Franch.) Nannf.) and Radix Astragali (known as Huangqi in Chinese, from Astragalus membranaceus (Fisch.) Bunge).7 Both herbs are traditionally used to supplement Qi (according to TCM theory).8,9 Clinically, SQ has been applied for purposes ranging from enhancing immune function to cancer treatment.10–12

As a TCM prescription, the SQ formula contains complex components and a variety of bioactive compounds that exert therapeutic effects.8,13 This complexity presents significant challenges in identifying and characterizing individual components. Mass spectrometry (MS), combined with advanced separation techniques, has become a key tool for revealing the complex chemical components of TCM formulations.14 Techniques such as ultra-performance liquid chromatography-triple quadrupole time-of-flight MS (UPLC-Triple-TOF/MS) provide high sensitivity and accuracy, allowing for the structural resolution and detection of a wide range of metabolites, proteins, and other bioactive molecules in complex herbal mixtures.15–18

In recent years, significant progress has been made in identifying the chemical constituents of Radix Astragali and Radix Codonopsis. Jia et al.19 employed UPLC-Triple-TOF/MS to identify 29 compounds in Radix Codonopsis, including three alkaloids, 13 phenolic acids, eight alcohol glycosides, and five alkynosides. Liang et al.20 used UPLC-Q-TOF-MS to identify a total of 45 chemical constituents in Radix Astragali, including 22 flavonoids, 13 saponins, and 10 amino acids. Furthermore, mass spectrometric analysis has provided insights into the major fragmentation patterns of compounds in the SQ formula. For flavonoids, one of the key groups of bioactive components, major mass spectrometric fragmentation patterns include cleavage of glycosidic bonds, retro-Diels–Alder cleavage, and the loss of neutral fragments such as CO, H2O, and C2H2O.20 For saponins, most of the MS2 fragmentation patterns involve the cleavage of glycosidic bonds, with one or more H2O molecules potentially lost during the fragmentation process. Understanding these major mass spectrometric fragmentation patterns will facilitate compound identification in subsequent studies.

Despite extensive studies on individual components of Radix Astragali and Radix Codonopsis, studies specifically targeting the chemical components of SQ formula are still limited. Additionally, most bioactive constituents in TCM exhibit pharmacological effects only after being absorbed into the bloodstream,21 and the specific components of SQ that can enter the blood, along with their pharmacokinetic properties, remain poorly understood. Therefore, further studies on the bioactive components of the formulation and their pharmacokinetics are needed.

In this article, UPLC-Triple-TOF/MS is used to analyze the chemical constituents of the SQ extract and the plasma components of rats post-oral administration. Furthermore, the fragmentation patterns of chemical components and the pharmacokinetic characteristics of the blood compounds are investigated. This will facilitate pharmacological studies of these TCM compounds.

Materials and methods

Drug sample preparation

SQ is prepared by extracting Radix Codonopsis pilosula and Radix Astragali at a ratio of 1:1. The extraction process involves separately processing Radix Codonopsis pilosula and Radix Astragali. These extracts are distilled into concentrates and then treated with ethanol. The resulting concentrates are mixed to produce the SQ extract.8 SQ extract (2.28 g/mL crude drug, lot number: 231201) is provided by Limin Pharmaceutical Factory, Livzon Pharmaceutical Group. The extract is centrifuged at 10,000 rpm for 10 m, and the resulting supernatant is used as the standard solution.

The reference standards are purchased from Shanghai Winherb Medical Technology Co., Ltd. These standards include Caffeic acid (lot number: 240324), Astragaloside I (lot number: 240410), Isoastraloside I (lot number: 240330), Astragaloside II (lot number: 240415), Isoastraloside II (lot number: 240328), Astragaloside III (lot number: 231207), Calycosin (lot number: 240322), Astragaloside IV (lot number: 240120), Calycosin-7-O-β-D-glucoside (lot number: 231218), and Lobetyolin (lot number: 231206). These standards are dissolved in methanol to prepare 1 mg/mL stock solutions, which are then combined to create a mixed standard solution for analysis. This mixed standard solution is also centrifuged at 10,000 rpm for 10 m, and the supernatant is used for subsequent analyses.

Animal plasma sample preparation

Male Sprague Dawley rats (220 g) are purchased from Shanghai SLAC Laboratory Animal Co., Ltd. (Shanghai, China). The rats are housed under a 12-h light/dark cycle in a controlled environment with food and water provided ad libitum.

The rats are divided into two groups: the control group receives a gavage of 1.6 mL of 0.9% NaCl solution, while the drug group is gavaged with 1.6 mL of SQ extract. Blood samples are collected from the inferior vena cava at 5, 15, 30 m, and 1 h post-gavage into ethylene diamine tetraacetic acid (EDTA)-coated anticoagulant tubes. After allowing the blood to stand for 30 m, the samples are centrifuged at 3,000 rpm to separate the plasma. For plasma preparation, 100 µL of plasma is transferred into a centrifuge tube, mixed with 300 µL of methanol, and thoroughly vortexed for 2 m. The mixture is left in an ice bath for 10 m, followed by centrifugation at 10,000 rpm for 10 m. The resulting supernatant is used as the plasma test solution.

Chromatographic experiments and mass spectrometry

Chromatographic separation is achieved using a Waters ACQUITY UPLC HSS T3 column (1.8 µm particle size, 150 × 2.1 mm). Data acquisition is performed on an Acquity™ UPLC system (Waters Technologies, U.S.A.) coupled to a UPLC-Triple-TOF/MS system (6600+ QTof, SCIEX, Waters Technologies, U.S.A.). The mobile phase A is water with 0.1% formic acid, and the mobile phase B is acetonitrile with 0.1% formic acid. The gradient elution conditions are as follows: 0.00–6.00 m, 2% B; 6.00–20.00 m, 15% B; 20.00–30.00 m, 50% B; 30.00–32.00 m, 95% B. The flow rate is 0.300 mL/m, the column temperature is 50°C, and the injection volume is 3 µL.

Accurate mass measurement is conducted in both negative ion mode and positive ion mode under the following conditions: scan range: mass-to-charge ratio (m/z) 100–2,000 Da and 50–1,500 Da; gas 1 pressure: 55 psi; gas 2 pressure: 55 psi; curtain gas: 35 psi; ion source temperature: 550°C (positive) and 550°C (negative); ion source voltage: 5,500 V (positive) and −4,500 V (negative); first scan: declustering potential: 80 V; collision energy: 10 V; second scan: TOF MS-Product Ion-information-dependent acquisition mode for mass spectrometry data acquisition, with Collision-induced dissociation energy of 40 ± 20 eV. Before injection, a calibrant delivery system pump is used for mass axis calibration to ensure a mass axis error of less than 2 ppm.

Analysis of chemical constituents of SQ extract

For pre-processing, raw mass data of the SQ extract and plasma samples are imported into MS-DIAL software (version 4.9). Peak detection parameters are set with a minimum peak height of 10,000, while all other settings remain at default. Peak alignment is performed based on SQ extract data. The resulting peak list from the SQ extract is exported for component identification.

Identification of blood-absorbed components of SQ extract

The aligned feature table is exported for the analysis of blood components. The features of plasma samples from the control and drug groups are aligned with those of the SQ extract. Peaks are considered blood components if the peak area in the drug group is more than three times that in the control group and exceeds 1,000 in area. Peaks with retention times (RTs) between 2 m and 23 m are selected for further analysis. The blood components are identified based on an m/z error of less than 0.01 and an RT error of less than 0.01.

Results

One hundred and five chemical constituents of SQ extract are identified

The SQ extract is analyzed using the UPLC-Triple-TOF/MS method, resulting in positive and negative total ion chromatograms (Fig. 1a, b). Based on the precursor m/z and mass spectral fragmentation patterns, a total of 105 compounds are identified (Table 1), including 25 terpenoids, 29 flavonoids, eight alkyl polyglucosides, nine alkaloids, nine organic acids, and other compounds (Fig. 1c). Most prominent components of SQ are identified, with 10 compounds confirmed using reference standards. The origin of the compounds is also determined, with 73 isolated from Radix Astragali and 32 from Radix Codonopsis pilosula (Fig. 1d).

Overall results of component identification of Shenqi Fuzheng (SQ) extract.
Fig. 1  Overall results of component identification of Shenqi Fuzheng (SQ) extract.

(a) Total ion current chromatograms (TIC) of SQ extract by ultra-performance liquid chromatography-triple quadrupole time-of-flight mass spectrometry (UPLC-Triple-TOF/MS), negative ion mode; (b) TIC of SQ extract by UPLC-Triple-TOF/MS, positive ion mode; (c) Pie chart of the number of different types of compounds in SQ extract; (d) Pie chart of the number of compounds from different herbs in SQ extract. AM, Radix Astragali; CP, Radix Codonopsis pilosula.

Table 1

Characterization of constituents in Shenqi Fuzheng (SQ) extract by ultra-performance liquid chromatography-triple quadrupole time-of-flight mass spectrometry (UPLC-Triple-TOF/MS)

NoRtMzAdductppmFormulaNameMS/MSSource
11.157131.0468[M-H]−8.64C4H8N2O3L-isoasparagine72.00975, 58.03087, 70.02944, 114.01923AM
21.215179.0559[M-H]−1.87C6H12O6α-D-glucopyranose59.01412, 71.01325, 85.03016, 56.99766, 55.01833AM
3b1.344341.1073[M-H]3.20C12H22O11Sucrose59.01402, 71.01314, 89.02369, 101.02446, 113.02393AM
41.441116.0706[M+H]+−4.77C5H9NO2D-prolin70.06343, 68.04769, 53.03716, 69.85431AM
51.475115.0038[M-H]−5.78C4H4O4Maleic acid71.01428AM
6b1.577118.086[M+H]+−6.81C5H11NO2L-valine55.05266, 72.07752, 57.05698, 56.04929AM
7b1.651607.1702[M-H]−6.42C28H32O15Tanoside I103.00355, 59.0140, 503.15948, 341.10361AM
81.835256.1189[M+H]+1.57C12H17NO5Radicamine A60.04468, 137.05962, 90.05214, 177.05446, 122.03488CP
9b2.092240.1237[M+H]+0.48C12H17NO4Codonopsinol C74.05977, 56.04929, 107.0492, 147.0439CP
102.213400.1703[M+NH4]+−4.23C17H22N2O8Tryptophan-N-glucoside256.12851, 164.08186, 70.06462, 178.09523, 400.16238CP
11b2.425165.0533[M+H]+−11.33C9H8O3P-coumaric acid77.03858, 95.04868, 123.04395, 119.04932, 91.05324CP
12b2.628323.0987[M-H]−2.71C12H20O10Astrabhotin A59.01402, 57.03468, 161.04385, 89.02369, 101.02305AM
13b2.714270.1324[M+H]+−6.47C13H19NO5(2R,3R,4R,5R)-2-(3-hydroxy-4-methoxyphenyl)-5-(hydroxymethyl)-1-methylpyrrolidine-3,4-Diol74.06091, 56.04924, 137.0594, 104.07057CP
14b2.759268.1048[M+H]+0.82C10H13N5O4Adenosine136.06146, 119.03542, 94.03931, 57.03361, 268.10248CP
15b2.793323.0986[M-H]−2.40C12H20O10Astrabhotin D99.04639, 59.01508, 143.03584, 89.02498, 71.01429AM
16b2.94430.1562[M+H]+0.30C15H27NO133-nitropropyl β-D-gentiobioside136.06142, 298.11609, 178.07237, 430.15854, 280.10345AM
173.122430.1565[M+H]+1.00C15H27NO133-nitropropyl β-D-cellobioside136.06149, 298.11386, 178.07062, 280.10361AM
183.427382.1576[M+H]+5.36C24H19N3O2(−)-benzomalVIn A238.11772, 382.15045, 164.0798, 346.14282CP
19b3.518145.0491[M+H]+−6.79C6H8O45-methoxy-5-hydroxymethyl-2-furanone99.04464, 53.03816, 71.04856, 55.01726, 57.03367CP
203.886166.0853[M+NH4]+−9.06C9H8O2P-hydroxy-cinnamaldehyde103.05436, 120.08138, 77.04225, 91.05454, 51.02303CP
213.930164.0718[M-H]−3.94C9H11NO2L-phenylalanine103.05617, 72.00844, 147.04482, 77.03866CP
22b3.978416.1895[M+H]+−6.15C19H29NO9Codonopsinol C-1-O-β-D-glucopyranosyl74.05985, 254.13847, 85.02854, 236.11742CP
23b4.16254.1379[M+H]+−5.25C13H19NO4(2R,3R,4R,5R)-2-(hydroxymethyl)-5-(4-methoxyphenyl)-1-methylpyrrolidine-3,4-diol74.06337, 121.06381, 161.05861, 56.04927, 254.13811CP
24b4.34268.1536[M+H]+−4.79C14H21NO4Codonopsine88.08239, 58.06517, 121.06402CP
25b4.425433.1358[M-H]−2.76C18H26O122-methoxyphenol-4-O-β-apiofuranosyl-(1->2)- β-glucopyranoside124.01704, 139.04063, 123.00861, 433.13721, 161.04716AM
265.181288.1209[M+H]+−9.32C16H17NO4Lycorine244.09819, 245.10431, 200.10519, 270.112AM
27b5.206359.0983[M-H]−1.32C15H20O10Glucosyringic acid123.00882, 138.03238, 197.04686, 182.02252, 153.05643AM
285.342353.0867[M-H]1.59C16H18O94-caffeoylquinic acid191.05753, 179.0349, 173.04358,AM
296.063625.1753[M+H]+−2.50C28H32O16Narcissin301.07047, 463.12155, 269.04428, 241.04871, 213.05444AM
30a6.698353.0895[M-H]−6.34C16H18O93-caffeoylquinic acid191.05763, 85.03001, 127.04032, 93.03312, 173.04358AM
316.818417.1375[M-H]5.25C18H26O11Benzyl-α-L-arabinopyranosyl (1→6)-β-D-glucopyranoside152.01183, 109.02929, 153.01967, 108.0211CP
326.84217.0964[M+H]+−6.00C12H12N2O2(R)-2,3,4,9-tetrahydro-1H-pyrido[3,4-β] indole-3-carboxylic acid144.08022, 143.07207, 127.05397, 115.05291, 77.03866CP
336.909353.0888[M-H]−4.36C16H18O9Scopolin135.04498, 173.04694, 191.05725, 179.03651, 93.03429AM
34b7.467239.0567[M+FA-H]−4.75C10H10O4Ferulic acid91.05617, 149.06158, 72.99396, 117.03547, 163.04095AM
35b7.496447.1495[M+FA-H]1.69C18H26O10(2R,3R,4S,5S,6R)-2-phenyl methoxy-6-[[(2S,3R,4S,5S)-3,4,5-trihydroxyoxan-2-Yl] oxymethyl] oxane-3,4,5-triol401.14713, 269.10394, 59.0139, 161.0453, 101.02425AM
36b8.009449.1097[M-H]−2.92C21H22O11(±)-4-O-β-D-glucopyranosylmaesopsine259.06137, 269.04675, 125.02501, 287.05817, 449.11191AM
378.085525.1984[M-H]−2.28C25H34O127R,8R-threo-4,7,9,9′-tetrahydroxy-3-methoxy-8-O-4′-neolignan-3′-O-β-D-glucopyranoside167.07224, 149.06152, 179.07239, 315.12314, 165.05583CP
388.556463.123[M+H]+−2.25C22H22O11Kaempferol 7-methyl ether 3-O-β-D-glucopyranoside301.07022, 269.04407, 241.04851, 213.05222, 253.08461AM
398.569219.0677[M-H]−8.97C12H12O4Lanceolune B129.09377, 143.07257, 72.99265, 157.08601, 113.09688CP
408.571301.0689[M+H]+−7.69C16H12O6Rhamnocitrin301.07022, 213.05428, 283.1066, 167.0602, 269.04407AM
418.599461.1077[M-H]1.50C22H22O113′,5-dihydroxy-4′-methoxyisoflavone-7-O-β-D-glucopyranoside299.05893, 284.03448, 461.1131, 255.03055, 283.02457AM
429.084325.0931[M-H]−2.32C15H18O8[(Z)-2-(β-glucopyranosyloxy)]-3-phenylpropenoic acid119.05143, 117.03549, 101.03994, 91.05484, 163.04099CP
439.526609.179[M+H]+−4.84C28H32O15Chrysoeriol-7-O-β-D-glucopyranosyl-4-O-α-L-rhamnopyranoside285.07657, 270.04977, 253.04907, 609.18884, 225.05264AM
44b9.651444.2426[M+NH4]+−4.25C18H34O11Hexyl-β-getiobioside85.02848, 145.04947, 163.05962, 127.03801, 97.02808CP
44b9.673471.2087[M+FA-H]−1.97C18H34O11Hexyl-β-getiobioside425.20444, 263.15073, 101.02417, 161.04697, 71.01411CP
459.688469.1335[M-H]2.36C21H26O123-{{6-O-[(2E)-3-(4-hydroxyphenyl)-1-oxoprop-2-En-1-Yl]-β-D-glucopyranosyl} oxy}-3-methyl glutaric acid99.04629, 265.07318, 163.04085, 143.03571, 205.05055CP
46a, b9.93447.1276[M+H]+−3.41C22H22O10Calycosin-7-O-β-D-glucopyranoside285.0766, 270.05212, 253.0491, 225.05479, 137.02184AM
46a, b9.944491.1194[M+FA-H]−0.91C22H22O10Calycosin-7-O-β-D-glucopyranoside283.06393, 268.03796, 211.04095, 239.03506AM
47b9.973425.2028[M-H]−1.20C18H34O11Hexyl β-sophoroside263.15097, 59.01391, 101.02285, 71.01418, 113.02371CP
48b10.258223.0625[M-H]−8.29C11H12O52-oxopropyl 3-hydroxy-4-methoxybenzoate91.05593, 161.06116, 163.04233, 133.06561, 87.00856CP
4910.754479.1565[M-H]−2.42C23H28O11(3R,4R)-4,7-hydroxy-2′,3′-dimethoxyisoflavane-4′-O-β-D-glucoside317.10544, 121.0302, 299.09201, 180.04138, 137.02386AM
5010.833576.2635[M+NH4]+−3.68C26H38O13Lobetyolinin199.11131, 155.08499, 129.06955, 128.06142, 153.0695CP
5010.860603.2292[M+FA-H]−0.50C26H38O13Lobetyolinin179.05701, 89.02474, 323.099, 119.0358, 221.06808CP
5111.131671.2161[M+FA-H]3.92C29H38O15Isomucronulatol 7,2′-Di-O-glucoside301.10974, 463.16278, 286.08548, 135.0451, 121.02888AM
5211.161261.1354[M-H]−6.07C12H22O6(2R,3R,4S,5S,6R)-2-[((Z)-hex-3-enyl) oxy]-6-hydroxymethyl-tetrahydro-pyran-3,4,5-triol125.09717, 187.09991, 97.06568, 123.08187, 169.08807CP
5311.329598.2453[M+NH4]+−7.80C28H36O13(+)-Syringaresinol O-β-D-glucopyranoside205.08554, 265.10785, 173.05911, 217.08583, 167.06958AM
5411.528533.1263[M+H]+−6.04C25H24O136″-O-malonate-calycosin-7-O-β-D-glucoside285.07458, 270.05243, 533.12842, 253.04942, 225.05505AM
55b11.544463.1213[M+H]+−5.92C22H22O11Pratensein 7-O-glucopyranoside301.07086, 286.0477, 269.04462, 241.049, 153.01735AM
56b11.634287.0892[M+H]+−9.58C16H14O5Homobutein153.05527, 138.02975, 110.03438, 147.04218, 125.05885AM
57b11.840137.024[M-H]−0.95C7H6O34-Hydroxy-benzoic acid93.03554, 65.03995, 75.0238, 137.02219, 67.01903CP
5812.006441.1765[M+FA-H]−0.96C20H28O82-[(4E,12E)-1,7-dihydroxytetradeca-4,12-dien-8,10-diyn-6-Yl] oxy-6-(hydroxymethyl) oxane-3,4,5-triol143.07272, 185.0995, 159.08182, 59.01288, 89.02492CP
59a, b12.196414.2119[M+NH4]+−2.16C20H28O8Lobetyolin128.06136, 155.08492, 129.06949, 199.11124, 153.06944CP
59a, b12.216441.1758[M+FA-H]0.62C20H28O8Lobetyolin143.07217, 159.08121, 185.0988, 59.01373, 89.0259CP
6012.216443.1902[M+FA-H]3.44C20H30O8Cordifolioidyne B59.01373, 89.02458, 71.01397, 119.03405, 217.12573CP
6112.216179.0569[M-H]−7.46C6H12O6β-D-glucose59.01481, 71.01279AM
6212.305391.1891[M-H]4.69C25H28O4Glabrol79.95785, 391.18256, 263.09576, 59.01379, 71.01403AM
6312.727489.1368[M+H]+−5.91C24H24O116″-O-acetylcalycosin-7-O-β-D-glucopyranoside285.07687, 270.05234, 253.04935, 225.05499, 137.02361AM
6412.804431.1338[M+H]+−0.95C22H22O9Ononin269.08118, 213.08931, 237.05499, 253.04909AM
6412.818475.1247[M+FA-H]−1.39C22H22O9Ononin267.06595, 251.03471, 135.00726AM
6512.804269.0791[M+H]+−8.49C16H12O47-hydroxy-3-(4-methoxy-phenyl)-chromen-4-on269.08142, 197.05923, 253.04932, 237.05521, 226.0591AM
6512.818267.0674[M-H]−6.23C16H12O47-hydroxy-3-(4-methoxy-phenyl)-chromen-4-on252.04385, 223.04179, 195.04605, 251.03471, 132.02257AM
6613.098301.1057[M+H]+−6.31C17H16O5(−)-6Ar,11Ar-dihydro-3-hydroxy-9,10-dimethoxy-6H-benzofuro<3,2-C><1>-benzopyran167.06935, 152.04739, 134.03592, 105.03297, 106.0416AM
6713.676301.106[M+H]+−5.31C17H16O52,4-dihydroxy-3,4-dimethoxychalcone167.07112, 134.03589, 152.04735, 105.03294, 106.04013AM
68b13.676463.1571[M+H]+−7.18C23H26O10Methylnissolin-3-O-glucoside167.07117, 301.10693, 152.04565, 134.03593, 191.06966AM
6913.676167.07[M+H]+−4.91C9H10O3α-acetylorcinol78.04539, 77.03735, 105.02865, 106.03582, 134.0343AM
7013.686507.1522[M+FA-H]−3.84C23H26O10(6Αr,11Αr)-9,10-dimethoxypterocarpan-3-β-D-glucoside299.09467, 269.04861, 284.06934, 241.05037, 507.15808AM
71b13.819509.1649[M+FA-H]1.97C23H28O10Isomucronulatol 7-O-glucoside301.1088, 286.08459, 135.04466, 271.06082, 109.03046AM
7214.058463.1595[M-H]2.00C23H28O10(3R)-7,2′-dihydroxy-3′,4′-dimethoxyisoflavan-7-O-β-D-glucoside301.10919, 121.03019, 286.08496, 135.04646, 271.06348AM
7214.063482.2001[M+NH4]+−5.23C23H28O10(3R)-7,2′-dihydroxy-3′,4′-dimethoxyisoflavan-7-O-β-D-glucoside167.06961, 123.04414, 303.12402, 133.06383, 161.05898AM
73a14.266285.0746[M+H]+−5.96C16H12O5Calycosin285.07648, 270.052, 213.0544, 253.04901, 225.0547AM
73a14.266283.0603[M-H]1.24C16H12O5Calycosin268.03766, 211.04071, 239.03696, 195.04593, 240.04349AM
7415.72473.1434[M+H]+−2.91C24H24O106″-O-acetyl-7-(β-D-glucopyranosyloxy)-3-(4-methoxyphenyl) chromen-4-one269.08118, 254.05779, 213.08931, 237.05283, 253.04684AM
7515.790991.5134[M+FA-H]−2.03C47H78O19(3β,6α,16Β,20R,24S)-20,24-epoxy-16-hydroxy-3-(β-D-xylopyranosyloxy)-9,19-cyclolanostane-6,25-diyl bis[β-D-glucopyranoside]945.51074, 991.52429, 946.5174, 783.45966, 89.02455AM
7515.797947.5188[M+H]+−2.91C47H78O19(3β,6α,16β,20R,24S)-20,24-epoxy-16-hydroxy-3-(β-D-xylopyranosyloxy)-9,19-cyclolanostane-6,25-diyl bis[β-D-glucopyranoside]143.10579, 437.34149, 455.35037, 947.5177, 419.3306AM
7616.309301.1058[M+H]+−5.98C17H16O5(−)-Naringenin 4′,7-dimethyl ether167.06947, 134.03439, 152.04576, 106.04023, 105.0316AM
7716.559829.4584[M+FA-H]0.20C41H68O14Isoastragaloside IV783.46082, 829.46387, 161.04681, 101.02409AM
7816.806457.3654[M+H]+−6.06C30H48O3Ursolic acid421.34647, 439.35599, 457.36679, 109.09957, 127.1095CP
79b16.961831.4748[M+FA-H]−0.70C41H70O14Cyclocanthoside E785.47174, 831.4762, 491.37457, 623.41815AM
8017.020859.4708[M+FA-H]−1.94C42H70O15Cycloaraloside E813.474, 859.47656, 651.41406, 161.04691AM
8017.022815.4767[M+H]+−3.19C42H70O15Cycloaraloside E143.10596, 437.34198, 455.35086, 815.47998, 419.32819, 473.35938AM
8117.315329.2343[M-H]−4.56C18H34O55,6,9-trihydroxy-octadec-7-enoic acid211.1349, 329.23553, 229.14568, 171.10298, 183.13995CP
82b17.401991.5098[M+FA-H]1.60C47H78O19Astragaloside V945.50763, 991.51666, 783.45673, 946.51855, 161.04498AM
83b18.010871.4667[M+FA-H]2.79C43H70O15Astragaloside II825.47247, 765.45331, 783.46143, 871.47253AM
84a, b18.318829.4597[M+FA-H]−1.37C41H68O14Astragaloside IV829.46796, 783.46088, 179.05688, 89.02336, 119.03419AM
8518.325473.3584[M+H]+−9.90C30H48O4Choushenpilosulyne C123.11601, 437.34207, 143.10597, 455.35095, 473.36249CP
8618.43301.1064[M+H]+−3.99C17H16O57-hydroxy-2′-methoxy-4′,5-methylenedioxyisoflavan167.06973, 152.04601, 134.03461, 105.03321AM
8718.507473.361[M+H]+−4.40C30H48O4Dihydrocycloorbigenin A143.1041, 437.3385, 123.11428, 125.09369, 455.34729AM
88a18.507829.4607[M+FA-H]−2.57C41H68O14Astragaloside III783.45923, 829.47021, 161.04649, 101.02529, 489.35767AM
8919.577911.504[M-H]−3.92C47H76O17Astragaloside VIII911.51025, 893.49237, 205.07166, 615.39325, 163.06155AM
9019.621941.5126[M-H]−1.70C48H78O18Soyasaponin I941.51917, 923.50861, 205.06972, 163.06161, 615.39349AM
9019.672943.5236[M+H]+−3.23C48H78O18Soyasaponin I441.37225, 423.36148, 943.52722, 599.39429, 797.46985AM
9119.736873.4797[M+FA-H]5.82C43H72O15Agroastragaloside II873.48694, 59.01371, 767.45422AM
9220.04473.3611[M+H]+−4.19C30H48O43β,21α-dihydroxyolean-12-ene-28-oic acid143.10579, 437.34149, 123.11586, 455.35037, 125.09371AM
93b20.591915.4984[M-H]−3.34C46H76O183-O-β [α-L-arabinopyranosyl (1->2) β-D-xylopyranosyl]-6-O-β-D-glucopyranosyl-20(R),24(S)-epoxy-3β,6α,16β,25-tetrahydroxycycloartane915.50037, 869.49237, 59.01362, 827.48022, 809.47772AM
94a, b20.736871.4714[M+FA-H]−2.60C43H70O15Isoastragalosides II871.47644, 825.46429, 59.01355, 765.44946, 179.05612AM
95b20.752473.361[M+H]+−4.40C30H48O4Astragalene123.11444, 437.34201, 143.10596, 125.09385, 141.12675AM
9621.073939.4927[M-H]2.82C48H76O18Dehydrosoyasaponin I939.49957, 921.49567, 163.06174, 205.07591, 613.37463AM
9721.384915.497[M-H]−1.81C46H76O183-O-[α-L-arabinopyranosyl-(1->2)- β-D-xylanopyranosyl]-6-O-β-D-glucopyranosyl-3β,6α,16β,24α-tetrahydroxy-20(R),25-epoxycycloartane915.50958, 869.49304, 59.01366, 809.48236, 827.48895AM
98b21.456871.4705[M+FA-H]−1.57C43H70O1516-O-acetyl-20R,24S-epoxycycloartan-3Gammab,6α,16β,25-tetraol 3-O-β-D-xylopyranoside 6-O-β-D-glucopyranoside871.47742, 825.47327, 59.01361, 765.45032, 179.0563AM
98b21.477827.4728[M+H]+−7.86C43H70O1516-O-acetyl-20R,24S-epoxycycloartan-3Gammab,6α,16β,25-tetraol 3-O-β-D-xylopyranoside 6-O-β-D-glucopyranoside143.10574, 437.34137, 175.05865, 125.09525, 455.35025AM
99b21.507231.138[M+H]+−2.18C15H18O2Epi-curzerenone77.03749, 105.06916, 91.05341, 128.06143, 163.07605CP
100a, b22.342913.4767[M+FA-H]3.28C45H72O16Astragaloside I913.49219, 867.48151, 59.01476, 825.46606, 807.46564AM
10122.342915.4899[M+FA-H]5.95C45H74O16Agroastragaloside I915.49707, 869.49329, 59.01368, 827.47699, 914.49438AM
10222.359689.4241[M+H]+−3.44C39H60O106α-acetoxy-23α-ethoxy-16β,23(R)-epoxy-24,25,26,27-tetranor-9,19-cyclolanosta-3-O-[β-D-(4′-trans-2-butenoyl) xylopyranoside]157.0484, 143.10567, 217.06918, 437.33817, 689.42773AM
103a, b23.032913.4801[M+FA-H]−0.44C45H72O16Isoastragaloside I913.49487, 867.47998, 59.01466, 825.46869, 807.46027AM
103a, b23.037869.4901[M+H]+0.27C45H72O16Isoastragaloside I143.1059, 217.06953, 139.03867, 157.04866, 199.05997AM
10423.942915.4902[M-H]5.62C46H76O183-O-β-D-xylopyranosyl-6-O-β-D-xylopyranosyl-25-O-β-D-glucopyranosyl-(20R,24S)-epoxy-3β,6α,25-tetrahydroxycycloartane915.49835, 869.49048, 59.01457, 914.49988, 809.46393AM
10525.280955.4918[M-H]−1.61C48H76O193-O-α-L-rhamnopyranosyl(1<*>2)- β-D-galactopyranosyl(1<*>2)- β-D-glucuronopyranosyl complogenin955.49377, 909.48663, 59.01353, 867.4917, 161.04428AM

Terpenoids and their fragmentation patterns

Terpenoids primarily originate from Radix Astragali, including compounds such as Astragaloside IV, Astragaloside III, Astragaloside II, Isoastragaloside II, Astragaloside I, Isoastragaloside I, and Cycloaraloside E. For example, the fragmentation pattern of compound 80 is analyzed. The RT for compound 80 is 17.022 m. A [M+H]+ peak with m/z of 815.4767 is observed in positive ion mode, suggesting a molecular formula of C42H70O15. The secondary fragment ions detected are 143.10596, 437.34198, 455.35086, 815.47998, 419.32819, and 473.35938. Based on these data, compound 80 is assumed to be Cycloaraloside E, and its possible fragmentation pattern is illustrated in Figure 2.

Fragmentation pattern of Cycloaraloside E (Compound 80).
Fig. 2  Fragmentation pattern of Cycloaraloside E (Compound 80).

m/z, mass-to-charge ratio.

Alkaloids and their fragmentation patterns

Alkaloids primarily originate from Radix Codonopsis pilosula and are detected in positive ion mode, including compounds such as Codonopsine, (2R,3R,4R,5R)-2-(hydroxymethyl)-5-(4-methoxyphenyl)-1-methylpyrrolidine-3,4-diol, Radicamine A, and Codonopsinol C. For example, the fragmentation pattern of compound 24 is analyzed. The RT for compound 24 is 4.34 m. A [M+H]+ peak with m/z of 268.1536 is observed in positive ion mode, suggesting a molecular formula of C14H21NO4. The secondary fragment ions detected are 88.08239, 58.06517, and 121.06402. Based on these data, compound 24 is assumed to be Codonopsine, and its possible fragmentation pattern is shown in Figure 3.

Fragmentation pattern of Codonopsine (Compound 24).
Fig. 3  Fragmentation pattern of Codonopsine (Compound 24).

m/z, mass-to-charge ratio.

Flavonoids and their fragmentation patterns

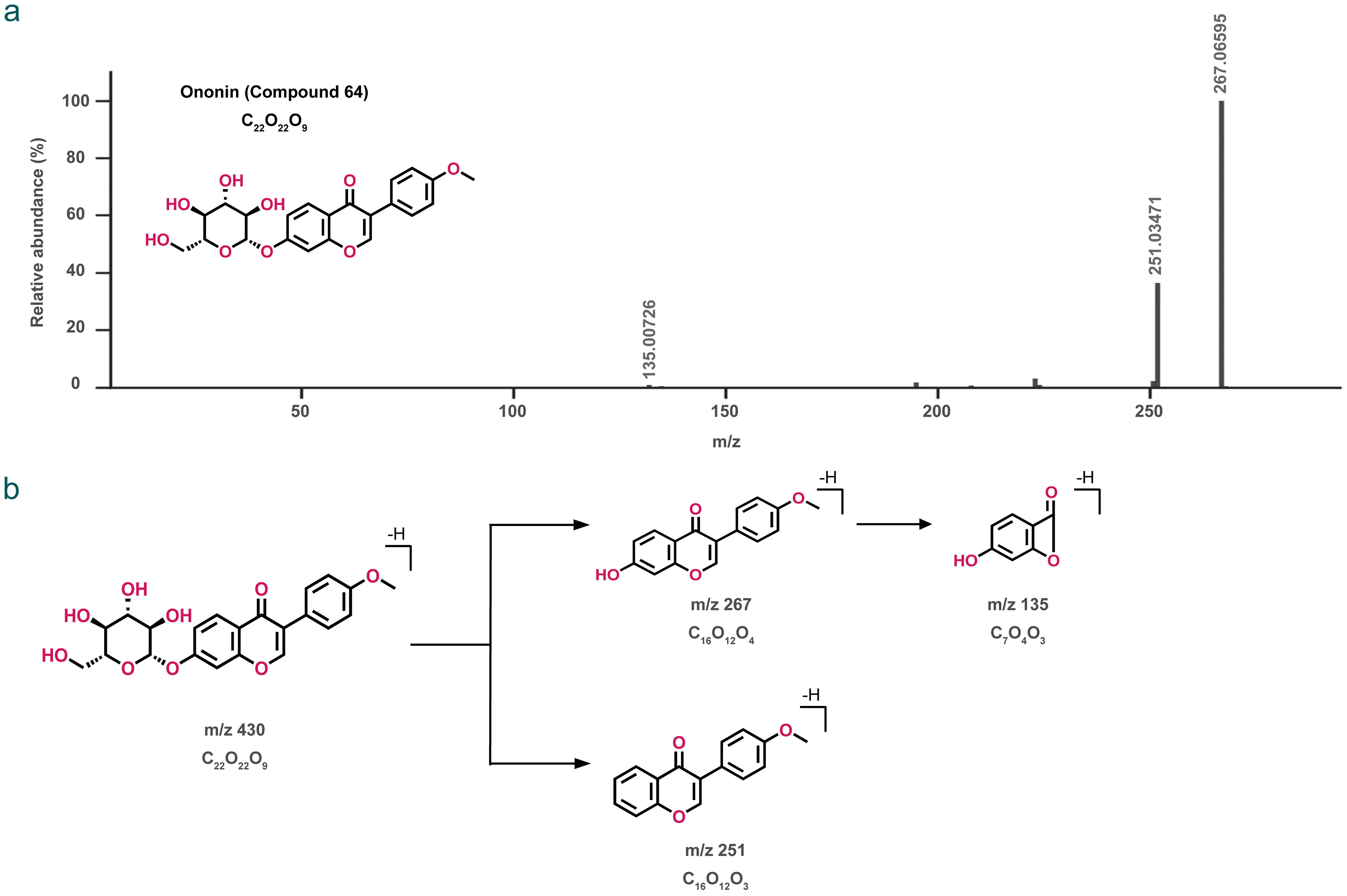
Flavonoids primarily originate from Radix Astragali, including compounds such as Narcissin, Rhamnocitrin, Calycosin-7-O-β-D-glucopyranoside, Calycosin, and Ononin. For example, the fragmentation pattern of compound 64 is analyzed. The RT for compound 64 is 12.818 m. A [M+FA-H] peak with m/z of 475.1247 is observed in negative ion mode, suggesting a molecular formula of C22H22O9. The secondary fragment ions detected are 267.06595, 251.03471, and 135.00726. Based on these data, compound 64 is assumed to be Ononin, and its possible fragmentation pattern is shown in Figure 4.

Fragmentation pattern of Ononin (Compound 64).
Fig. 4  Fragmentation pattern of Ononin (Compound 64).

m/z, mass-to-charge ratio.

Alkyl polyglucosides and their fragmentation patterns

Alkyl polyglycosides primarily originate from Radix Codonopsis pilosula, including compounds such as Hexyl-β-getiobioside, Lobetyolinin, Lobetyolin, and Cordifolioidyne B. For example, the fragmentation pattern of compound 44 is analyzed. The RT for compound 44 is 9.673 m. A [M+H]+ peak with m/z of 471.2087 is observed in positive ion mode, suggesting a molecular formula of C18H34O11. The secondary fragment ions detected are 425.20444, 263.15073, 101.02417, 161.04697, and 71.01411. Based on these data, compound 44 is assumed to be Hexyl-β-getiobioside, and its possible fragmentation pattern is shown in Figure 5.

Fragmentation pattern of Hexyl-β-getiobioside (Compound 44).
Fig. 5  Fragmentation pattern of Hexyl-β-getiobioside (Compound 44).

m/z, mass-to-charge ratio.

Organic acids and their fragmentation patterns

Organic acids primarily originate from both Radix Codonopsis pilosula and Radix Astragali, including compounds such as Maleic acid, P-coumaric acid, Glucosyringic acid, and 4-caffeoylquinic acid. For example, the fragmentation pattern of compound 28 is analyzed. The RT for compound 28 is 5.342 m. A [M-H] peak with m/z of 353.0867 is observed in the positive ion mode, suggesting a molecular formula of C16H18O9. The secondary fragment ions detected are 191.05753, 179.0349, and 173.04358. Based on these data, compound 28 is assumed to be 4-caffeoylquinic acid, and its possible fragmentation pattern is shown in Figure 6.

Fragmentation pattern of 4-caffeoylquinic acid (Compound 28).
Fig. 6  Fragmentation pattern of 4-caffeoylquinic acid (Compound 28).

m/z, mass-to-charge ratio.

Others

Other constituents include carbohydrates (e.g., Sucrose, β-D-glucose) and amino acids (e.g., L-isoasparagine, D-proline, and L-valine). These do not belong to secondary metabolites, so their fragmentation patterns are not detailed.

Forty blood-absorbed components of SQ extract are identified

The UPLC-Triple-TOF/MS method is used to analyze the plasma of rats in control and drug groups. Positive and negative total ion chromatograms are obtained (Fig. 7a, b). A total of 40 prototype compounds are identified (Table 1), including 10 terpenoids, six flavonoids, two alkyl polyglucosides, five alkaloids, four organic acids, and other compounds (Fig. 7c). Of these, 26 compounds are isolated from Radix Astragali and 14 from Radix Codonopsis pilosula (Fig. 7d).

Overall results of blood-absorbed component identification.
Fig. 7  Overall results of blood-absorbed component identification.

(a) Total ion current chromatograms (TIC) of Shenqi Fuzheng (SQ) extract by ultra-performance liquid chromatography-triple quadrupole time-of-flight mass spectrometry (UPLC-Triple-TOF/MS), negative ion mode; (b) TIC of SQ extract by UPLC-Triple-TOF/MS, positive ion mode; (c) Pie chart of the number of different types of compounds in blood; (d) Pie chart of the number of compounds from different herbs in blood; (e) The average value of the content of the compounds, negative ion mode (left) and positive ion mode (right); (f) Heatmap of the relative content of blood compounds at different time points, negative ion mode (left) and positive ion mode (right). AM, Radix Astragali; CON, control; CP, Radix Codonopsis pilosula.

The average amount of compounds in the blood at different time points is shown (Fig. 7e). The contents of L-valine (Compound 6), P-coumaric acid (Compound 11), and Ferulic acid (Compound 34) are the highest, indicating that organic and amino acids are important components of SQ extract. The relative contents of blood compounds are calculated at different time points (Fig. 7f). Astragalosides, such as Astragaloside V (Compound 82), Astragaloside II (Compound 83), Astragaloside IV (Compound 84), Isoastragalosides II (Compound 94), and Isoastragaloside I (Compound 103), are found to be more abundant in the blood within 5 m of administration and less abundant after 15 m, with Astragaloside IV being the most prevalent (Fig. 7e). Flavonoids (e.g., Compounds 36, 55, 56) enter the bloodstream in large quantities between 15 m and 30 m, while alkaloids (e.g., compounds 9, 13, 24) increase significantly about 1 h after administration.

Discussion

UPLC-Triple-TOF/MS analysis reveals that the SQ extract contains a variety of chemical components, including flavonoids, terpenoids, alkaloids, alkyl polyglucosides, and organic acids. Several of these compounds are consistent with previous studies on the SQ injection.12,13,22 Notably, classic constituents from the SQ formula, such as Ononin, Adenosine, Codonopsine, Lobetyolin, Pratensein 7-O-glucopyranoside, Calycosin, Calycosin-7-O-β-D-glucopyranoside, 9,10-dimethoxypterocarpane-3-O-β-D-glucopyranoside, Isomucronulatol 7-O-glucoside, and multiple Astragalosides, were detected. These compounds are mainly flavonoids and terpenoids, among which Calycosin-7-O-β-D-glucopyranoside, Lobetyolin, and several Astragalosides can be absorbed into the blood of rats. We also identified several new components in the SQ formula, such as Lobetyolinin, Cyclocanthoside E, and hexyl β-sophoroside, along with some alkaloids and organic acids. Alkaloids like Codonopsinol B and Codonopsinol C, as well as organic acids such as Ferulic acid and p-Coumaric acid, were detected in rat blood. Moreover, the sources of these compounds were determined using existing databases.

A notable strength of this study is the analysis of compounds absorbed in rat blood at different time points following oral administration of the SQ extract, highlighting the drug’s pharmacokinetic characteristics. Terpenoids, which are readily absorbed, accounted for 10 of the 40 components detected in the blood, with detection occurring within 5 m post-administration. These include compounds such as Astragaloside IV, Astragaloside V, and Astragaloside II, which are also rapidly metabolized. Additionally, alkaloids, organic acids, flavonoids, and alkyl polyglucosides were also detected in the blood, including Codonopsinol C, Calycosin-7-O-β-D-glucopyranoside, and Lobetyolin. These compounds typically appeared in the blood at 15 m post-administration, with some detectable even 1 h after ingestion. Understanding the pharmacokinetic properties is crucial for identifying the effective components of the SQ extract and optimizing their clinical efficacy.

The compounds that enter the blood are closely related to the efficacy of the SQ formula in TCM and modern medicine (Supplementary Table 1). As a traditional Qi-supplementing formula, SQ’s blood-absorbed components enhance energy metabolism, regulate immune responses, resist inflammatory damage and oxidative stress, and promote cell regeneration or wound healing. For example, Calycosin-7-O-β-D-glucoside attenuates palmitate-induced lipid accumulation in hepatocytes through activation of the energy metabolism pathway,23 Astragaloside II ameliorates mitochondrial dysfunction in diabetic rats,24 Lobetyolin demonstrates protective effects against LPS-induced sepsis,25 and Cyclocanthoside E stimulates growth in vitro and promotes wound healing in vivo.26 In addition, the SQ formula helps enhance immune function and promote tumor treatment. Specifically, Astragaloside IV has been widely studied for its antitumor effects against colorectal,27 lung cancer,28 breast cancer,29 and other cancers by promoting tumor cell apoptosis, inhibiting cell proliferation, improving the tumor immune microenvironment, and reducing chemotherapy resistance.30,31 Additionally, several other compounds absorbed into the blood also contribute to cancer treatment. Astragaloside II inhibits autophagic flux and enhances the chemosensitivity of cisplatin in human cancer cells,32 while Lobetyolin induces apoptosis in colon cancer cells by inhibiting glutamine metabolism.33

Despite the comprehensive analysis of the chemical composition and blood-absorbed constituents of the SQ extract, several limitations exist. First, the potential synergies among these components remain to be elucidated. Second, the therapeutic effects of the bioactive components in humans need validation through clinical trials. It is crucial to conduct in-depth studies on the interactions between these compounds and their impact on human health. Third, our utilization of UPLC-Triple-TOF/MS may not be sufficient. Significant progress has been made in the research of plant/herbal-derived exosomes.34–38 Plant exosomes are complex biological samples containing proteins, lipids, nucleic acids, and other components.35,37 Some existing studies have used UPLC-MS/MS to detect lipids, proteins, and metabolites in exosomes.39,40 Compared to UPLC-MS/MS, UPLC-Triple-TOF/MS offers superior capabilities for qualitative and quantitative measurements, enabling the identification of complex mixtures and providing a more comprehensive analysis.41 In the future, UPLC-Triple-TOF/MS may contribute to the multiple characterizations of the chemical and biological compositions of herbal medicine. Therefore, future studies should incorporate advanced techniques, such as transcriptomics, metabolomics, and proteomics,42–45 to gain a deeper understanding of the mechanisms of action of these bioactive compounds. This knowledge could facilitate the development of more effective and targeted therapies based on the SQ formula.

Conclusions

This study successfully elucidates the chemical constituents of the SQ extract and identifies the compounds that can be absorbed into the bloodstream, offering new insights into their pharmacokinetics. These absorption components are closely related to the therapeutic effects of the SQ formula, especially in the fields of Qi supplementation and tumor treatment, which are key to both traditional and modern applications of the SQ formula.

Importantly, this work also promotes the application of UPLC-Triple-TOF/MS in the analysis of TCM compounds, showcasing the advantages of mass spectrometry in unraveling complex herbal formulations. We hope that our work encourages further exploration of this technique and helps to expand its application in herbal research.

In conclusion, this study enhances our understanding of the chemical and biologically active ingredients of SQ, providing a foundation for its continued use in TCM. Future research should focus on elucidating the pharmacological activities of the identified compounds and investigating their potential synergistic effects within the formulation.

Supporting information

Supplementary material for this article is available at https://doi.org/10.14218/FIM.2024.00037 .

Supplementary Table 1

Therapeutic efficacy of the compounds absorbed in rat blood in the SQ formula.

(DOCX)

Declarations

Acknowledgement

The authors thank the High-Performance Computing Cluster of the Zhejiang University Innovation Center of the Yangtze River Delta for their technical support.

Ethical statement

This study was carried out in accordance with the recommendations in the Regulations for the Administration of Affairs Concerning Experimental Animals and Guidelines for the Ethical Review of Laboratory Animal Welfare. The Animal Care and Use Committee of the Zhejiang University School of Medicine approved the animal experiments (Protocol Number: 22768). All surgery was performed under tribromoethanol, and all efforts were made to minimize suffering.

Data sharing statement

The data used to support the findings of this study are available from the corresponding author upon request.

Funding

This work is supported by the National Natural Science Foundation of China (No. 82204772).

Conflict of interest

XHF and JL have been editorial board members of Future Integrative Medicine since March 2024. LFL and WHH are employees of Livzon Pharmaceutical Group Inc. This company has no conflicts of interest regarding the publication of this paper. The other authors report no conflict of interest in this work.

Authors’ contributions

Research design, material preparation, writing and revision of the manuscript (MLW, MG, YNH, LFL, WHH), data collection (XL, ZWG, BJZ), conceptualization and supervision of the project (JL, XHF). All authors approve the final version of the manuscript.

References

  1. Huang K, Zhang P, Zhang Z, Youn JY, Wang C, Zhang H, et al. Traditional Chinese Medicine (TCM) in the treatment of COVID-19 and other viral infections: Efficacies and mechanisms. Pharmacol Ther 2021;225:107843 View Article PubMed/NCBI
  2. Li S, Wu Z, Le W. Traditional Chinese medicine for dementia. Alzheimers Dement 2021;17(6):1066-1071 View Article PubMed/NCBI
  3. Efferth T, Li PC, Konkimalla VS, Kaina B. From traditional Chinese medicine to rational cancer therapy. Trends Mol Med 2007;13(8):353-361 View Article PubMed/NCBI
  4. Dong J, Su SY, Wang MY, Zhan Z. Shenqi fuzheng, an injection concocted from Chinese medicinal herbs, combined with platinum-based chemotherapy for advanced non-small cell lung cancer: a systematic review. J Exp Clin Cancer Res 2010;29(1):137 View Article PubMed/NCBI
  5. Li W, Zhang Z, Berik E, Liu Y, Pei W, Chen S, et al. Energy preservation for skeletal muscles: Shenqi Fuzheng injection prevents tissue wasting and restores bioenergetic profiles in a mouse model of chemotherapy-induced cachexia. Phytomedicine 2024;125:155269 View Article PubMed/NCBI
  6. Yang J, Li Y, Chau CI, Shi J, Chen X, Hu H, et al. Efficacy and safety of traditional Chinese medicine for cancer-related fatigue: a systematic literature review of randomized controlled trials. Chin Med 2023;18(1):142 View Article PubMed/NCBI
  7. Wang J, Tong X, Li P, Cao H, Su W. Immuno-enhancement effects of Shenqi Fuzheng Injection on cyclophosphamide-induced immunosuppression in Balb/c mice. J Ethnopharmacol 2012;139(3):788-795 View Article PubMed/NCBI
  8. Liao J, Hao C, Huang W, Shao X, Song Y, Liu L, et al. Network pharmacology study reveals energy metabolism and apoptosis pathways-mediated cardioprotective effects of Shenqi Fuzheng. J Ethnopharmacol 2018;227:155-165 View Article PubMed/NCBI
  9. Ma Y, Qi Y, Zhou Z, Yan Y, Chang J, Zhu X, et al. Shenqi Fuzheng injection modulates tumor fatty acid metabolism to downregulate MDSCs infiltration, enhancing PD-L1 antibody inhibition of intracranial growth in Melanoma. Phytomedicine 2024;122:155171 View Article PubMed/NCBI
  10. Cai YM, Zhang Y, Zhang PB, Zhen LM, Sun XJ, Wang ZL, et al. Neuroprotective effect of Shenqi Fuzheng injection pretreatment in aged rats with cerebral ischemia/reperfusion injury. Neural Regen Res 2016;11(1):94-100 View Article PubMed/NCBI
  11. Du J, Cheng BC, Fu XQ, Su T, Li T, Guo H, et al. In vitro assays suggest Shenqi Fuzheng Injection has the potential to alter melanoma immune microenvironment. J Ethnopharmacol 2016;194:15-19 View Article PubMed/NCBI
  12. Li S, Zhu Z, Chen Z, Guo Z, Wang Y, Li X, et al. Network pharmacology-based investigation of the effects of Shenqi Fuzheng injection on glioma proliferation and migration via the SRC/PI3K/AKT signaling pathway. J Ethnopharmacol 2024;328:118128 View Article PubMed/NCBI
  13. Wang J, Tong X, Li P, Liu M, Peng W, Cao H, et al. Bioactive components on immuno-enhancement effects in the traditional Chinese medicine Shenqi Fuzheng Injection based on relevance analysis between chemical HPLC fingerprints and in vivo biological effects. J Ethnopharmacol 2014;155(1):405-415 View Article PubMed/NCBI
  14. Zhu B, Li Z, Jin Z, Zhong Y, Lv T, Ge Z, et al. Knowledge-based in silico fragmentation and annotation of mass spectra for natural products with MassKG. Comput Struct Biotechnol J 2024;23:3327-3341 View Article PubMed/NCBI
  15. Sui M, Feng S, Liu G, Chen B, Li Z, Shao P. Deep eutectic solvent on extraction of flavonoid glycosides from Dendrobium officinale and rapid identification with UPLC-triple-TOF/MS. Food Chem 2023;401:134054 View Article PubMed/NCBI
  16. Zhao TT, Zhang Y, Zhang CQ, Chang YF, Cui MR, Sun Y, et al. Combined with UPLC-Triple-TOF/MS-based plasma lipidomics and molecular pharmacology reveals the mechanisms of schisandrin against Alzheimer’s disease. Chin Med 2023;18(1):11 View Article PubMed/NCBI
  17. Chen LH, Zhang YB, Yang XW, Xu W, Wang YP. Characterization and quantification of ginsenosides from the root of Panax quinquefolius L. by integrating untargeted metabolites and targeted analysis using UPLC-Triple TOF-MS coupled with UFLC-ESI-MS/MS. Food Chem 2022;384:132466 View Article PubMed/NCBI
  18. Li H, Song Y, Zhang H, Wang X, Cong P, Xu J, et al. Comparative lipid profile of four edible shellfishes by UPLC-Triple TOF-MS/MS. Food Chem 2020;310:125947 View Article PubMed/NCBI
  19. Jia W, Bi Q, Jiang S, Tao J, Liu L, Yue H, et al. Hypoglycemic activity of Codonopsis pilosula (Franch.) Nannf. in vitro and in vivo and its chemical composition identification by UPLC-Triple-TOF-MS/MS. Food Funct 2022;13(5):2456-2464 View Article PubMed/NCBI
  20. Liang C, Yao Y, Ding H, Li X, Li Y, Cai T. Rapid classification and identification of chemical components of Astragali radix by UPLC-Q-TOF-MS. Phytochem Anal 2022;33(6):943-960 View Article PubMed/NCBI
  21. Liu X, Liu J, Fu B, Chen R, Jiang J, Chen H, et al. DCABM-TCM: A Database of Constituents Absorbed into the Blood and Metabolites of Traditional Chinese Medicine. J Chem Inf Model 2023;63(15):4948-4959 View Article PubMed/NCBI
  22. Chau SL, Huang ZB, Song YG, Yue RQ, Ho A, Lin CZ, et al. Comprehensive Quantitative Analysis of SQ Injection Using Multiple Chromatographic Technologies. Molecules 2016;21(8):1092 View Article PubMed/NCBI
  23. Xu W, Zhou F, Zhu Q, Bai M, Luo T, Zhou L, et al. Calycosin-7-O-β-D-glucoside attenuates palmitate-induced lipid accumulation in hepatocytes through AMPK activation. Eur J Pharmacol 2022;925:174988 View Article PubMed/NCBI
  24. Su J, Gao C, Xie L, Fan Y, Shen Y, Huang Q, et al. Astragaloside II Ameliorated Podocyte Injury and Mitochondrial Dysfunction in Streptozotocin-Induced Diabetic Rats. Front Pharmacol 2021;12:638422 View Article PubMed/NCBI
  25. Chen Z, Su Y, Ding J, He J, Lai L, Song Y. Lobetyolin protects mice against LPS-induced sepsis by downregulating the production of inflammatory cytokines in macrophage. Front Pharmacol 2024;15:1405163 View Article PubMed/NCBI
  26. Sevimli-Gür C, Onbaşılar I, Atilla P, Genç R, Cakar N, Deliloğlu-Gürhan I, et al. In vitro growth stimulatory and in vivo wound healing studies on cycloartane-type saponins of Astragalus genus. J Ethnopharmacol 2011;134(3):844-850 View Article PubMed/NCBI
  27. Ziyang T, Xirong H, Chongming A, Tingxin L. The potential molecular pathways of Astragaloside-IV in colorectal cancer: A systematic review. Biomed Pharmacother 2023;167:115625 View Article PubMed/NCBI
  28. Xu F, Cui WQ, Wei Y, Cui J, Qiu J, Hu LL, et al. Astragaloside IV inhibits lung cancer progression and metastasis by modulating macrophage polarization through AMPK signaling. J Exp Clin Cancer Res 2018;37(1):207 View Article PubMed/NCBI
  29. Jiang K, Lu Q, Li Q, Ji Y, Chen W, Xue X. Astragaloside IV inhibits breast cancer cell invasion by suppressing Vav3 mediated Rac1/MAPK signaling. Int Immunopharmacol 2017;42:195-202 View Article PubMed/NCBI
  30. Fang Gong Y, Hou S, Xu JC, Chen Y, Zhu LL, Xu YY, et al. Amelioratory effects of astragaloside IV on hepatocarcinogenesis via Nrf2-mediated pSmad3C/3L transformation. Phytomedicine 2023;117:154903 View Article PubMed/NCBI
  31. Wang Y, Zhang Z, Cheng Z, Xie W, Qin H, Sheng J. Astragaloside in cancer chemoprevention and therapy. Chin Med J (Engl) 2023;136(10):1144-1154 View Article PubMed/NCBI
  32. Yang C, Wu C, Xu D, Wang M, Xia Q. AstragalosideII inhibits autophagic flux and enhance chemosensitivity of cisplatin in human cancer cells. Biomed Pharmacother 2016;81:166-175 View Article PubMed/NCBI
  33. He W, Tao W, Zhang F, Jie Q, He Y, Zhu W, et al. Lobetyolin induces apoptosis of colon cancer cells by inhibiting glutamine metabolism. J Cell Mol Med 2020;24(6):3359-3369 View Article PubMed/NCBI
  34. Rutter BD, Innes RW. Extracellular Vesicles in Phytopathogenic Fungi. Extracell Vesicles Circ Nucleic Acids 2023;4(1):90-106 View Article
  35. Mu N, Li J, Zeng L, You J, Li R, Qin A, et al. Plant-Derived Exosome-Like Nanovesicles: Current Progress and Prospects. Int J Nanomedicine 2023;18:4987-5009 View Article PubMed/NCBI
  36. Liu H, Geng Z, Su J. Engineered mammalian and bacterial extracellular vesicles as promising nanocarriers for targeted therapy. Extracell Vesicles Circ Nucleic Acids 2022;3(1):63-86 View Article
  37. Zhao B, Lin H, Jiang X, Li W, Gao Y, Li M, et al. Exosome-like nanoparticles derived from fruits, vegetables, and herbs: innovative strategies of therapeutic and drug delivery. Theranostics 2024;14(12):4598-4621 View Article PubMed/NCBI
  38. Cai Q, Halilovic L, Shi T, Chen A, He B, Wu H, et al. Extracellular vesicles: cross-organismal RNA trafficking in plants, microbes, and mammalian cells. Extracell Vesicles Circ Nucl Acids 2023;4(2):262-282 View Article PubMed/NCBI
  39. Simbari F, McCaskill J, Coakley G, Millar M, Maizels RM, Fabriás G, et al. Plasmalogen enrichment in exosomes secreted by a nematode parasite versus those derived from its mouse host: implications for exosome stability and biology. J Extracell Vesicles 2016;5:30741 View Article PubMed/NCBI
  40. Rigalli JP, Gagliardi A, Diester K, Bajraktari-Sylejmani G, Blank A, Burhenne J, et al. Extracellular Vesicles as Surrogates for the Regulation of the Drug Transporters ABCC2 (MRP2) and ABCG2 (BCRP). Int J Mol Sci 2024;25(7):4118 View Article PubMed/NCBI
  41. Chen LH, Zhang YB, Yang XW, Xu J, Wang ZJ, Sun YZ, et al. Application of UPLC-Triple TOF-MS/MS metabolomics strategy to reveal the dynamic changes of triterpenoid saponins during the decocting process of Asian ginseng and American ginseng. Food Chem 2023;424:136425 View Article PubMed/NCBI
  42. Guo W, Xu X, Xiao Y, Zhang J, Shen P, Lu X, et al. Salvianolic acid C attenuates cerebral ischemic injury through inhibiting neuroinflammation via the TLR4-TREM1-NF-κB pathway. Chin Med 2024;19(1):46 View Article PubMed/NCBI
  43. Shi L, Deng J, He J, Zhu F, Jin Y, Zhang X, et al. Integrative transcriptomics and proteomics analysis reveal the protection of Astragaloside IV against myocardial fibrosis by regulating senescence. Eur J Pharmacol 2024;975:176632 View Article PubMed/NCBI
  44. Li X, Mu Y, Hua M, Wang J, Zhang X. Integrated phenotypic, transcriptomics and metabolomics: growth status and metabolite accumulation pattern of medicinal materials at different harvest periods of Astragalus Membranaceus Mongholicus. BMC Plant Biol 2024;24(1):358 View Article PubMed/NCBI
  45. Zhang J, Zhong D, Hou F, Xie X, Gao J, Peng C. Transcriptomics-based Study on the Mechanism of Heart Failure Amelioration by Water Decoction and Water-soluble Alkaloids of Fuzi. Future Integr Med 2024;3(2):75-86 View Article

About this Article

Cite this article
Wang M, Zhu B, Gao M, Hu Y, Li X, Liu L, et al. Identification of Chemical Constituents and Blood-absorbed Components of Shenqi Fuzheng Extract Based on UPLC-Triple-TOF/MS Technology. Future Integr Med. 2024;3(4):222-238. doi: 10.14218/FIM.2024.00037.
Copy        Export to RIS        Export to EndNote
Article History
Received Revised Accepted Published
August 4, 2024 October 26, 2024 October 29, 2024 December 4, 2024
DOI http://dx.doi.org/10.14218/FIM.2024.00037
  • Future Integrative Medicine
  • pISSN 2993-5253
  • eISSN 2835-6357
Back to Top

Identification of Chemical Constituents and Blood-absorbed Components of Shenqi Fuzheng Extract Based on UPLC-Triple-TOF/MS Technology

Menglei Wang, Bingjie Zhu, Meng Gao, Yining Hu, Xiang Li, Liangfeng Liu, Zhiwei Ge, Wenhua Huang, Jie Liao, Xiaohui Fan
  • Reset Zoom
  • Download TIFF